Treść zadania

agafa

Hej:)
Proszę o pomoc ( chociaż kilka przykładów )
Z góry bardzo dziękuję

Załączniki do zadania

Zadanie jest zamknięte. Autor zadania wybrał już najlepsze rozwiązanie lub straciło ono ważność.

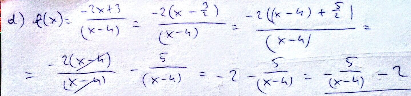
Najlepsze rozwiązanie

Rozwiązania

Podobne zadania

mania1408-k1 proszę o pomoc zadania na jutro. Przedmiot: Matematyka / Liceum 2 rozwiązania autor: mania1408-k1 13.4.2010 (16:43)
mania1408-k1 proszę o pomoc zadania na jutro. Przedmiot: Matematyka / Liceum 1 rozwiązanie autor: mania1408-k1 13.4.2010 (16:49)
CyborgR Prosze o pomoc, krotkie zadanie. Przedmiot: Matematyka / Liceum 2 rozwiązania autor: CyborgR 17.4.2010 (18:13)
rudapatrycja poziom rozszerzony-maturalne, kilka zadń z funkji Przedmiot: Matematyka / Liceum 1 rozwiązanie autor: rudapatrycja 18.4.2010 (11:31)
mala53 Bardzo proszę o pomoc! Przedmiot: Matematyka / Liceum 1 rozwiązanie autor: mala53 19.4.2010 (11:00)

Podobne materiały

Przydatność 80% Pierwsza pomoc - pomoc przedmedyczna

Pierwsza Pomoc Przedmedyczna Pierwsza pomoc przedmedyczna to czynności ratownika (osoby udzielającej pierwszą pomoc) prowadzące do zabezpieczenia i utrzymania przy życiu osoby poszkodowanej, do czasu przyjazdu wykwalifikowanych służb. Etapy pierwszej pomocy 1. ocena sytuacji 2. zabezpieczenie miejsca zdarzenia 3. ocena stanu poszkodowanego 4. wezwanie pomocy - 999 ? Pogotowie...

Przydatność 50% Pierwsza pomoc

UDZIEANIE PIERWSZEJ POMOCY POSZKODOWANYM RANY Rany należą do najczęszczych uszkodzeń urazowych i w większości powstają w następstwie nieszczęśliwych wypadków. Niektóre zranienia wymagają natychmiastowego opatrzenia z uwagi na stan zagrożenia życia. Inne natomiast nie zagrażają życiu, wymagają jedynie doraźnej pomocy, co wcale nie znaczy, że można je lekceważyć....

Przydatność 55% Pierwsza pomoc

PIERWSZA POMOC TELEFONY ALARMOWE numer pogotowia ratunkowego: 999numer telefonu alarmowego telefonii komórkowej: 112 Wzywając pogotowie ratunkowe należy podać krótkie i konkretne informacje o stanie chorego. Powinny zawierać informacje takie jak:- krótki opis zdarzenia,- jaki czas minął od zdarzenia,- aktualny stan chorego: a) czy oddycha, b) czy ma tętno na tętnicy szyjnej,...

Przydatność 55% Pierwsza pomoc

„Pierwsza pomoc w stanach zagrożenia życia” Zespół czynności podejmowanych dla zapewnienia w pierwszej kolejności podstawowych funkcji życiowych ustroju przed natychmiastową , bezprzyrządową diagnostykę stanu ogólnego wg prostego schematu : 1. przytomny - nieprzytomny 2. oddycha – nie oddycha 3. krążenie obecne –...

Przydatność 50% Pierwsza pomoc

Zanim zaczniesz ratować Dobrze byłoby, gdyby każdy z nas znał podstawy udzielania pierwszej pomocy, aby umieć zachować się w różnych przypadkach, które spotykamy w swoim życiu. Oto garść porad, które nam w tym pomogą. Jeśli masz do czynienia z ofiarą tragicznego wypadku, zawsze stosuj się do poniższych zasad. Najpierw ostrożnie zbadaj ofiarę. Podchodząc do...

0 odpowiada - 0 ogląda - 1 rozwiązań

Dodaj zadanie

Zobacz więcej opcji