Treść zadania

bialy19

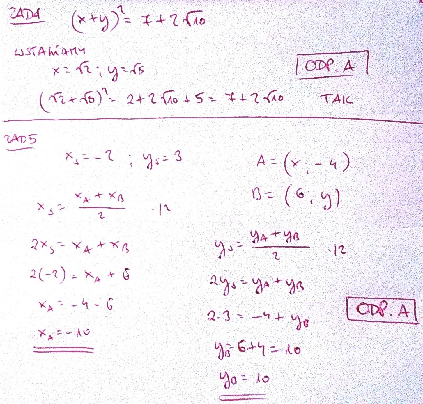
Praca Semestralna Zad.1-8

Załączniki do zadania

Zadanie jest zamknięte. Autor zadania wybrał już najlepsze rozwiązanie lub straciło ono ważność.

Najlepsze rozwiązanie

Rozwiązania

Podobne zadania

sloneczko10 praca domowa z okręgu wpisanego w trójkąt prostokątny Przedmiot: Matematyka / Liceum 2 rozwiązania autor: sloneczko10 12.4.2010 (19:28)
Piechota94 Praca semestralna Przedmiot: Matematyka / Liceum 1 rozwiązanie autor: Piechota94 5.5.2010 (18:20)
PlantatorTytoniu Praca Semestralna Przedmiot: Matematyka / Liceum 1 rozwiązanie autor: PlantatorTytoniu 14.6.2010 (18:46)
joanna2090 zadania praca Przedmiot: Matematyka / Liceum 1 rozwiązanie autor: joanna2090 2.10.2010 (11:15)
malina1 prosze pomozcie jak najszybciej:) Praca kontrolna z matematyki. Przedmiot: Matematyka / Liceum 1 rozwiązanie autor: malina1 19.11.2010 (12:52)

Podobne materiały

Przydatność 75% Antropologia praca semestralna

Przedstawiam prace z Antropologi.... w pracy znajdziecie przykładowe obliczenia (w tym wypadku dotyczace własnie mnie:-) wymiarów, proporcji i skałdu masy ciała, i nie tylko:-) Polecam studentom martyrologicznego kierunku "Wychowanie Fizyczne" uczelni AWF, IKF, IWF i im podobnych..:-)

Przydatność 60% Drzwi skene - moja praca semestralna

Teatr grecki w początkowej fazie swego istnienia nie dysponował mnogością środków scenicznych. Gdy Ajschylos wystawiał Błagalnice, nikt nawet nie myślał o budynku teatralnym. Widzowie zasiadali na naturalnym wzniesieniu, dysponowali siedziskami, które sami przynieśli, bądź po prostu stali wokół umownego miejsca akcji a orchestrę stanowił zatoczony na ziemi okrąg. Już za...

Przydatność 60% Praca semestralna z ewangelii według świętego mateusza

Mateusz pochodził z Galilei, był apostołem oraz autorem jednej z Ewangelii. Przed poznaniem Jezusa Mateusz piastował stanowisko urzędnika państwowego, przez, co współpracował z rzymskim okupantem. Również i wtedy poborców, którzy ściągali podatki nie lubiano. System podatkowy, który obowiązywał za czasów Jezusa Chrystusa dawał celnikom możliwości do nadużyć. Tym...

Przydatność 65% Praca semestralna z przedmiotu Socjologia Wychowania temat: Społeczeństwo konsumpcji

PRACA SEMESTRALNA Z SOCJOLOGII WYCHOWANIA Temat: Społeczeństwo konsumpcji i jego egzemplifikacje. Problem społeczeństwa konsumpcyjnego, chociaż niewątpliwie ważny, jest ze stanowiska ogólnej teorii socjologicznej tylko zagadnieniem pochodnym. W starożytności nie znano takiego typu społeczeństwa, w każdym razie nie stosowano żadnego takiego określenia. Jednakże...

Przydatność 55% Praca semestralna z Prawa pracy i ubezpieczeń społecznych.

POLICEALNE STUDIUM ZAWODOWE ZAOCZNE ZAWÓD: TECHNIK ADMINISTRACJI Z OBSŁUGĄ CELNĄ Małgorzata Kownacka Semestr III 2004/2005 Praca semestralna z Prawa pracy i ubezpieczeń społecznych. 1. Rodzaje umów o pracę 2. Umowa o pracę, umowa zlecenie 3. Sposoby rozwiązywania umowy o pracę 4. Tryb i forma i przyczyny rozwiązywania umowy o pracę za wypowiedzeniem 5....

0 odpowiada - 0 ogląda - 1 rozwiązań

Dodaj zadanie

Zobacz więcej opcji