Treść zadania
Autor: Sailor_Moon Dodano: 18.5.2012 (10:15)
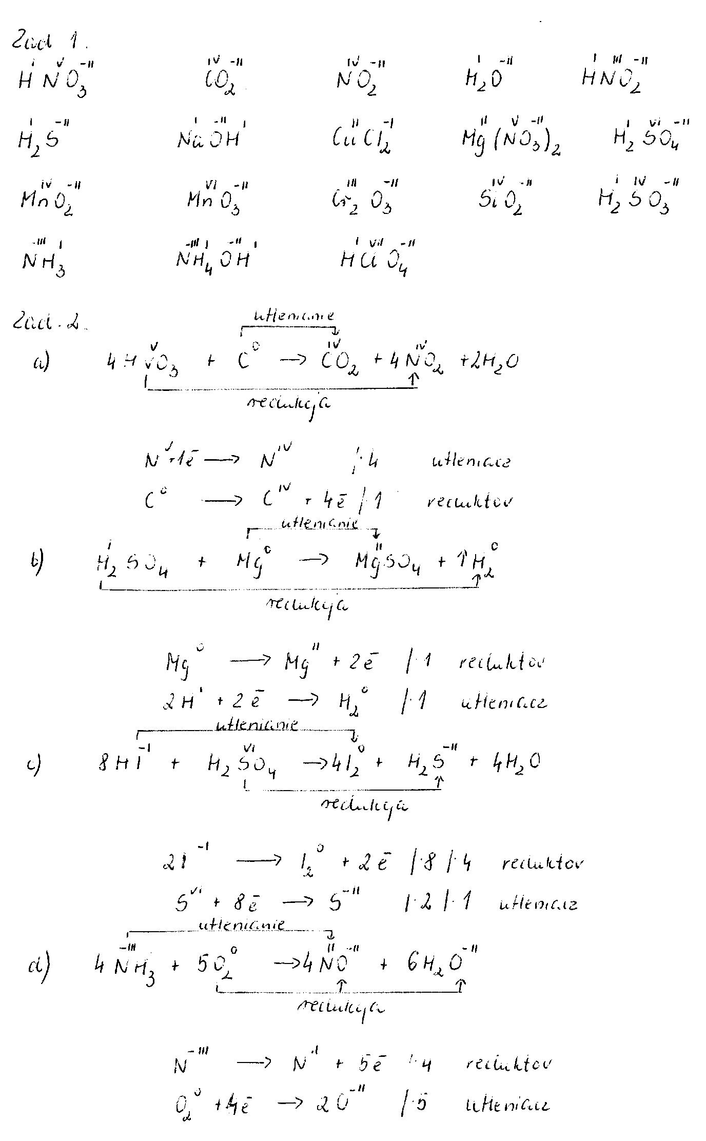
1. Określ stopnie utlenienia w następujących cząsteczkach: HNO3, CO2, NO2 ,H2O, HNO2 , H2S, NaOH, CuCl2 , Mg(NO3)2 , H2 SO4, MnO2, MnO3, Cr2O3, SiO2, H2 SO3 , NH3 , NH4OH , HClO4
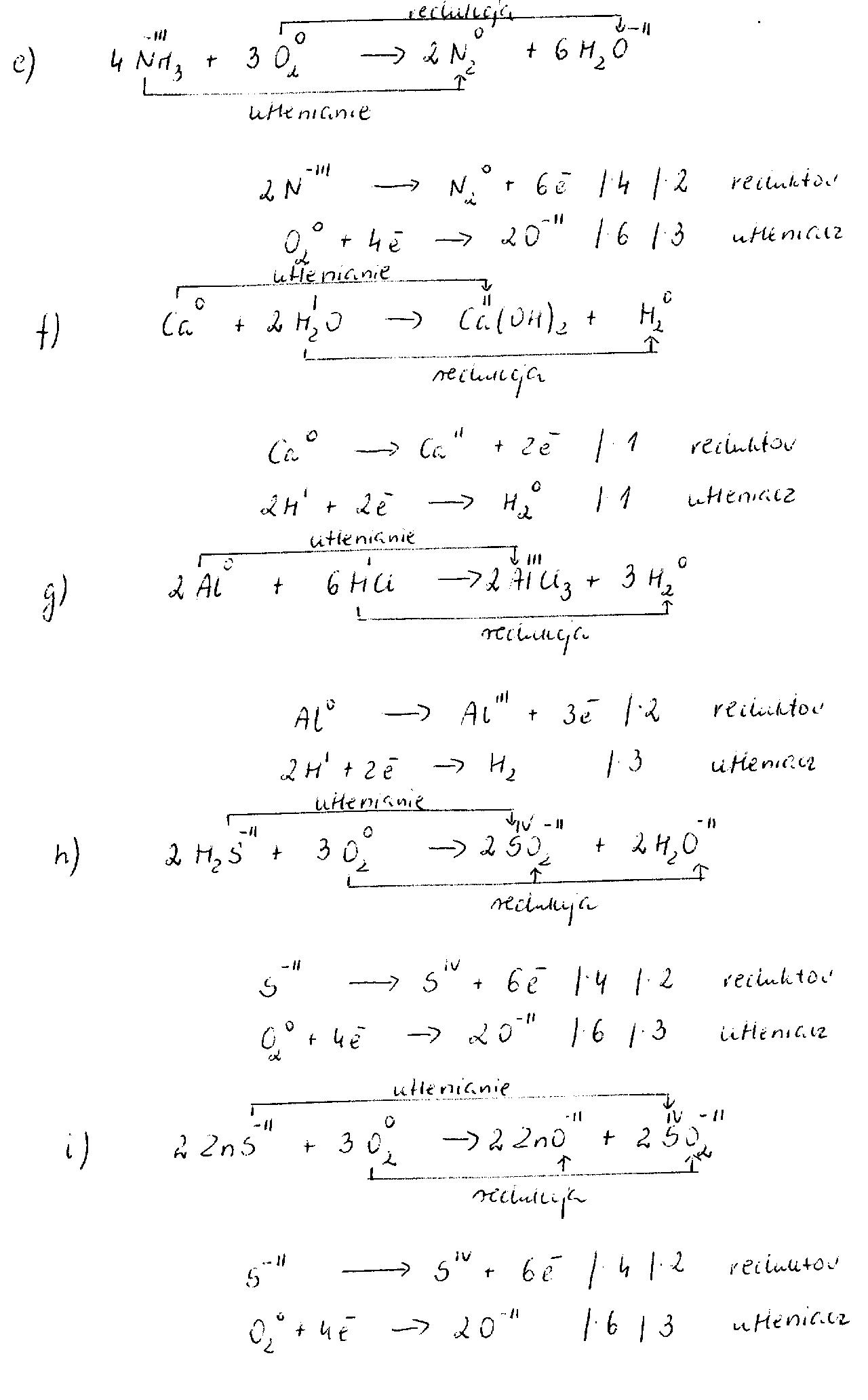
2. Zbilansuj następujące reakcje redoks, wskaż utleniacz, reduktor, proces utleniania i redukcji: HNO3 + C → CO2 + NO2 + H2 O
H2 SO4 + Mg → MgSO4 + H2
HI + H2 SO4 → I2 + H2S + H2O
NH3 + O2 → NO + H2O
NH3 + O2 → N2 + H2O
Ca + H2O → Ca(OH)2 + H2
Al. + HCl → AlCl3 + H2
H2S + O2 → SO2 + H2 O
ZnS + O2 → ZnO + SO2
HClO4 + H2 SO3 → HCl + H2 SO4
S + HNO3 → H2 SO4 + NO
H2S + HNO3 → H2 SO4 + NO + H2O
Zadanie jest zamknięte. Autor zadania wybrał już najlepsze rozwiązanie lub straciło ono ważność.
Najlepsze rozwiązanie
Rozwiązania
Podobne zadania
|
|
2 rozwiązania | autor: alutka2109 19.1.2011 (21:47) |
|
|
2 rozwiązania | autor: alutka2109 20.1.2011 (07:41) |
|
|
1 rozwiązanie | autor: Artemis7 23.11.2011 (21:08) |
|
|
1 rozwiązanie | autor: klaudzia2504 7.12.2011 (23:27) |
|
|
1 rozwiązanie | autor: Sailor_Moon 8.2.2012 (14:54) |
Podobne materiały
Przydatność 70% Reguły ustalania stopni utlenienia
1. Pierwiastki w stanie wolnym występują na zerowym stopniu utlenienia. (0) 2. Metale w związkach chemicznym występują zawsze na dodatnim stopniu utlenienia, zgodnym z wartościowością. 3. Fluor w związkach chemicznych występuje zawsze na -I stopniu utlenienia. 4. Wodór najczęściej występuje na +I stopniu utlenienia. Wyjątek stanowią wodorki metali, gdzie występuje na...
Przydatność 55% Stopnie Wojskowe
Przełożonym w wojsku,jest osoba zajmująca wyższe stanowisko bez względu na stopień wojskowy. Starszym jest który ma wyższy stopień wojskowy. Korpus szeregowy -szeregowy -starszy szeregowy Korpus Podoficerski -kapral } -starszy kapral }podoficerowie mlodsi -plutonowy } -sierżant ] -starszy sierżant ] podoficerowie starsi...
Przydatność 80% Stopnie wojskowe
Stopnie wojskowe w załączniku!
Przydatność 60% Procesy utlenienia i redukcji
„Zastosowanie procesów utleniania i redukcji.” 1. Utlenienie i redukcja. Reakcją utlenienia-redukcji nazywamy proces, w którym następuje wymiana elektronów między substancją utleniającą a substancją redukującą, na skutek czego atomy pierwiastków biorących udział w reakcji zmieniają swój stopień utlenienia. Utlenienie polega na oddawaniu elektronów przez atomy lub...
0 odpowiada - 0 ogląda - 1 rozwiązań
2 0
ewka13 18.5.2012 (12:37)
Rozwiązanie w załącznikach :
Załączniki
Dodawanie komentarzy zablokowane - Zgłoś nadużycie