Treść zadania

martkey

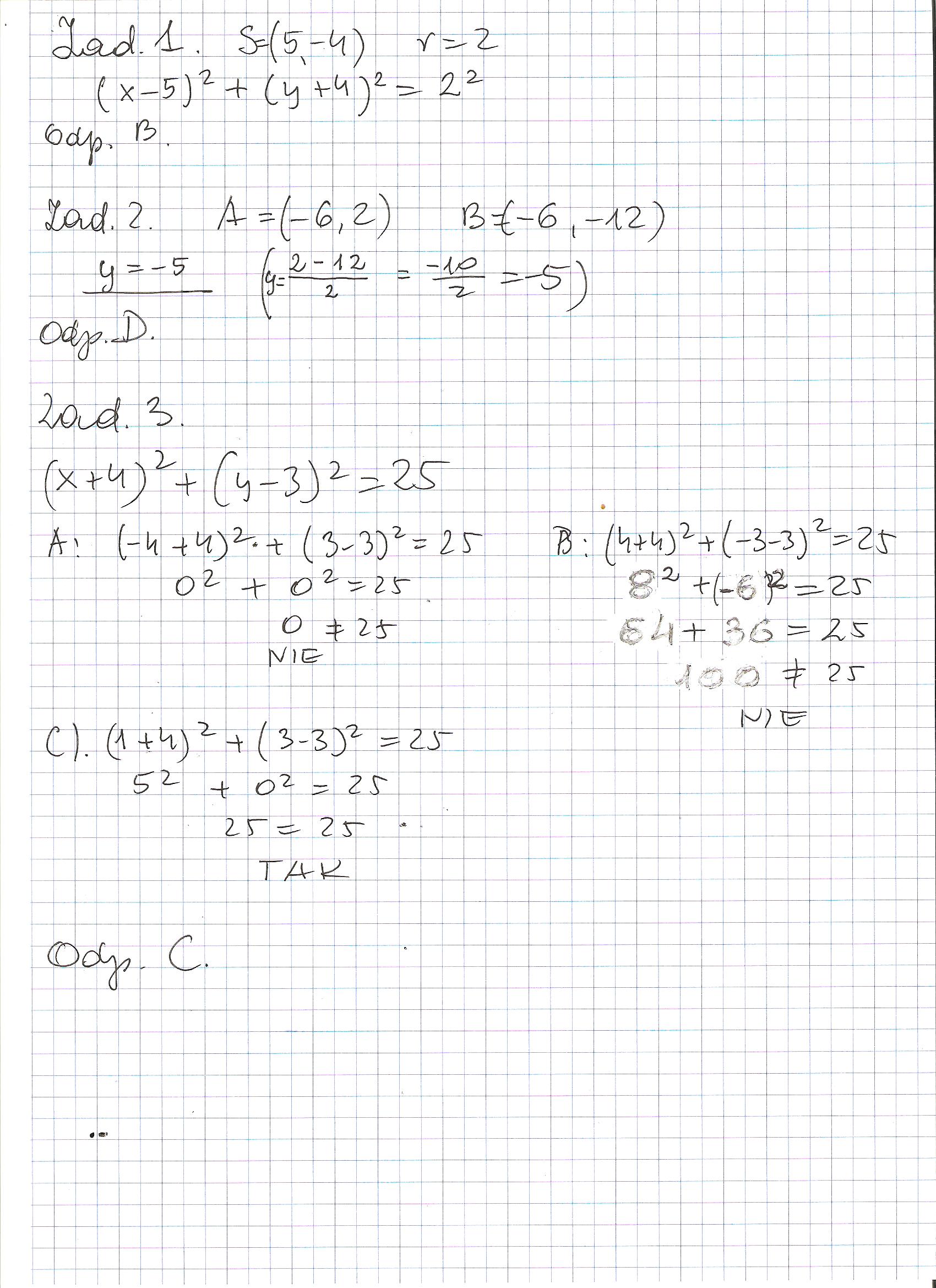
GEOMETRIA. odwdziecze się , kilka zadanek ;)

Załączniki do zadania

Zadanie jest zamknięte. Autor zadania wybrał już najlepsze rozwiązanie lub straciło ono ważność.

Najlepsze rozwiązanie

Rozwiązania

Podobne zadania

sylwia14254 Geometria. Czworokąty Przedmiot: Matematyka / Liceum 2 rozwiązania autor: sylwia14254 6.4.2010 (11:06)
rudapatrycja poziom rozszerzony-maturalne, kilka zadń z funkji Przedmiot: Matematyka / Liceum 1 rozwiązanie autor: rudapatrycja 18.4.2010 (11:31)
mania1992 proszę o pomoc!! (geometria płaska) zadania na wtorek. Przedmiot: Matematyka / Liceum 1 rozwiązanie autor: mania1992 24.4.2010 (13:10)
mania1992 proszę o pomoc!! (geometria płaska) zadania na wtorek. Przedmiot: Matematyka / Liceum 1 rozwiązanie autor: mania1992 24.4.2010 (13:02)
mania1992 proszę o pomoc!! (geometria płaska) zadania na wtorek. Przedmiot: Matematyka / Liceum 1 rozwiązanie autor: mania1992 24.4.2010 (13:12)

Podobne materiały

Przydatność 55% Geometria- definicje

Kąt –jest to obszar płaszczyzny ograniczony dwoma półprostymi o wspólnym początku wraz z tymi półprostymi. Kąty ostre, proste, rozwarte, półpromienne, pełne. Dwusieczna kąta to półprosta o początku w wierzchołku kąta, która dzieli ten kąt na dwa kąty o jednakowych miarach. Dwusieczne przecinają się w jednym punkcie- środek okręgu wpisanego w trójkąt. Prosta...

Przydatność 50% Geometria - matematyka

Praca znajduje się w załączniku.

Przydatność 50% Historia architektury, pismo techniczne, geometria wykreślna

CAŁOŚĆ PRACY W ZAŁĄCZNIKACH :)

0 odpowiada - 0 ogląda - 1 rozwiązań

Dodaj zadanie

Zobacz więcej opcji