Treść zadania
Autor: skatoula Dodano: 17.6.2021 (17:14)
Matematyka ,prosze o pomoc!
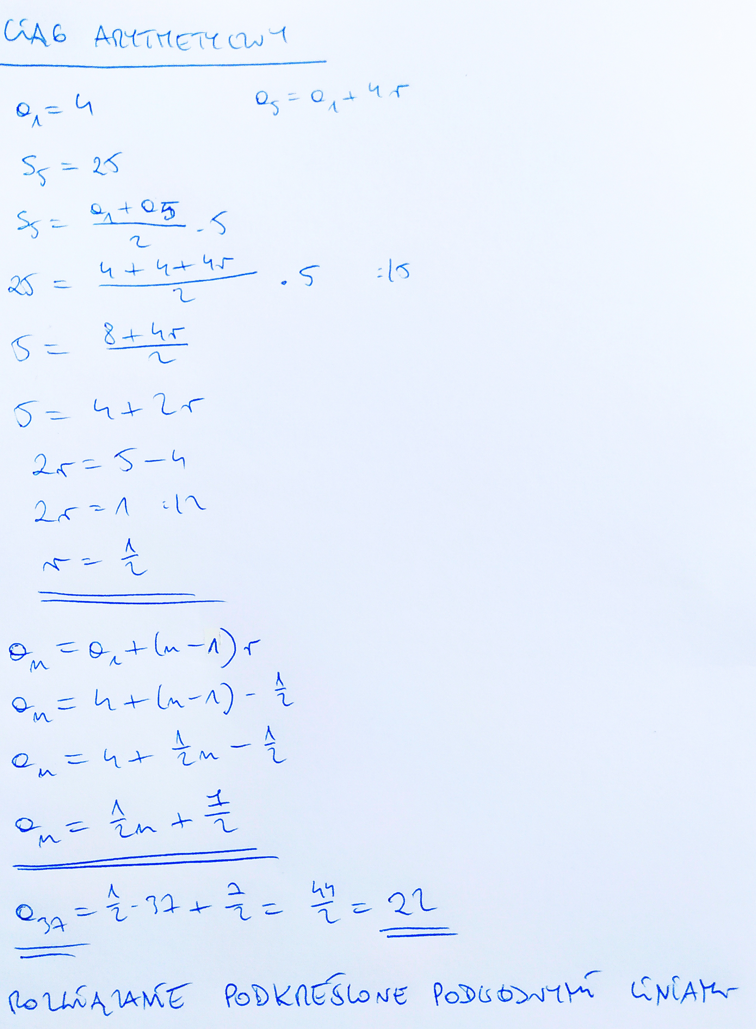
Pierwszy wyraz ciągu arytmetycznego jest równy 4, a suma pięciu początkowych wyrazów
tego ciągu jest równa 25. Oblicz różnicę tego ciągu, zapisz wzór ogólny ciągu oraz oblicz wyraz 37-y
tego ciągu.
Rozwiąż to zadanie i zarób nawet 14 punktów. 2 za rozwiązanie zadania, 10 gdy Twoja odpowiedź zostanie uznana jako najlepsza.
Rozwiązania
Podobne zadania
|
|
1 rozwiązanie | autor: pawel 24.3.2010 (16:28) |
|
|
2 rozwiązania | autor: MartaGrzeszczak1 29.3.2010 (17:43) |
|
|
1 rozwiązanie | autor: moniaa91 29.3.2010 (21:21) |
|
|
1 rozwiązanie | autor: lusi1069 30.3.2010 (16:42) |
|
|
1 rozwiązanie | autor: gosiaczek90 7.4.2010 (19:15) |
Podobne materiały
Przydatność 80% Matematyka - wykłady
Wykłady w załącznikach
Przydatność 70% Matematyka finansowa
Matematyka finansowa wzory
Przydatność 50% Geometria - matematyka
Praca znajduje się w załączniku.
Przydatność 90% Słówka - Matematyka (Maths vocabulary)
MATHEMATICS BASIC WORDS algebra - algebra arytmetyka - arithmetic geometria - geometry trygonometria - trygonometry linia - line linia prosta - straight line linia prostopadła - perpendicular line linie równoległe - parallel lines odcinek - sector, segment punkt - point czworokąt - quadrangle elipsa - ellipse kwadrat - square okrąg - circle ośmiokąt -...
Przydatność 65% Matematyka Finansowa z Figurskim
W załacznku daje wykłady zadania ktore sie przydadza do egaaminu u figurskiego
0 odpowiada - 0 ogląda - 1 rozwiązań
9 1
werner2010 18.6.2021 (19:56)
Rozwiązanie na zdjęciu
Załączniki
Dodaj komentarz - Zgłoś nadużycie