Treść zadania
Autor: ~Miksu Dodano: 18.3.2021 (16:04)
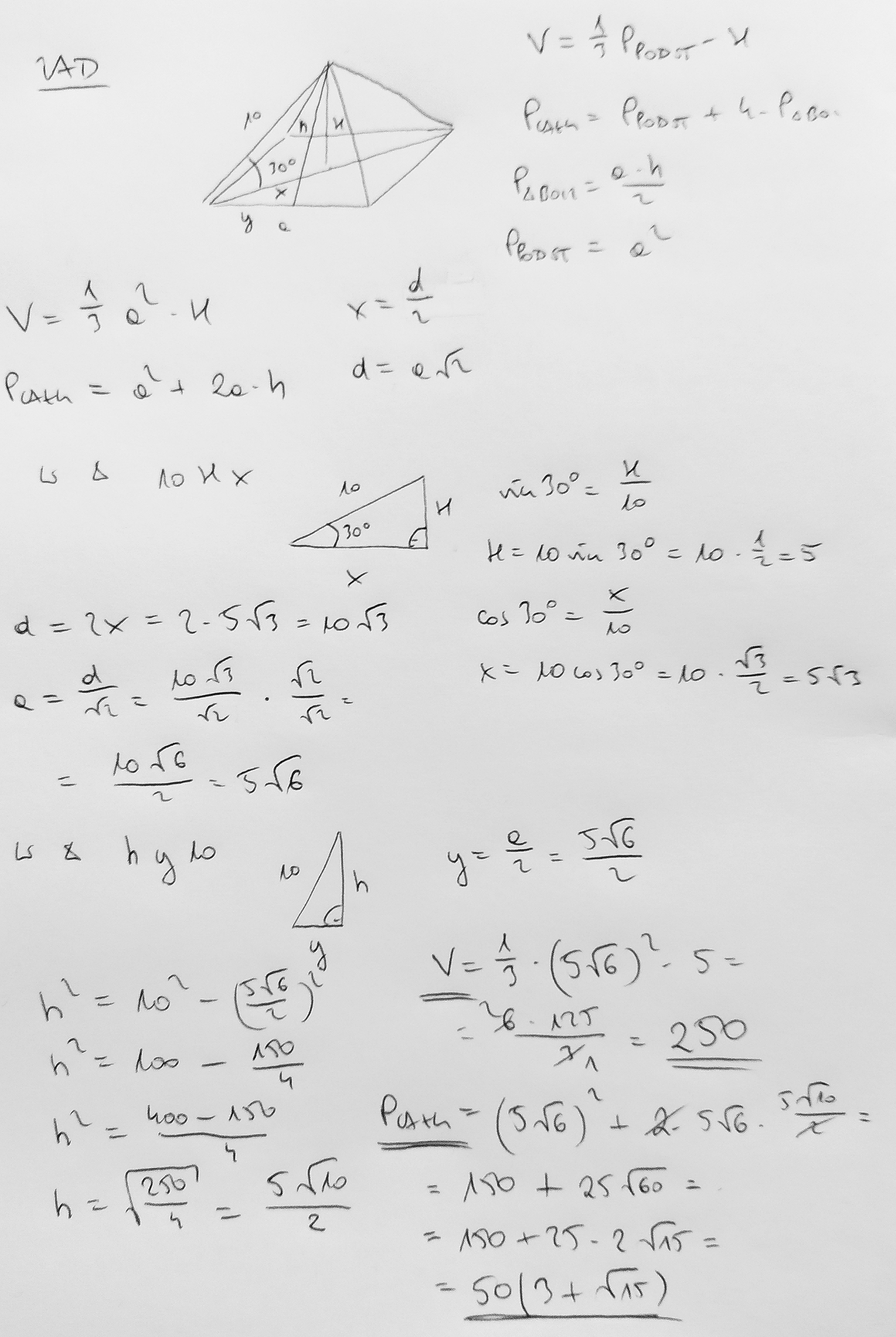
Krawędź boczna ostrosłupa prawidłowego czworokątnego ma długość 10 i jest nachylona do podstawy pod kątem 30 stopni. Oblicz objętość i pole całkowite tego ostrosłupa.
Rozwiąż to zadanie i zarób nawet 14 punktów. 2 za rozwiązanie zadania, 10 gdy Twoja odpowiedź zostanie uznana jako najlepsza.
Rozwiązania
Podobne zadania
|
|
1 rozwiązanie | autor: koksik06021990 27.9.2010 (13:48) |
|
|
1 rozwiązanie | autor: okarolajnao 2.10.2010 (16:02) |
|
|
1 rozwiązanie | autor: 19744 9.10.2010 (21:28) |
|
|
1 rozwiązanie | autor: ciiiri 11.10.2010 (08:51) |
|
|
1 rozwiązanie | autor: asiulka225 29.10.2010 (15:39) |
0 odpowiada - 0 ogląda - 1 rozwiązań
13 4
werner2010 18.3.2021 (17:03)
Rozwiązanie na zdjęciu
Załączniki
Dodaj komentarz - Zgłoś nadużycie