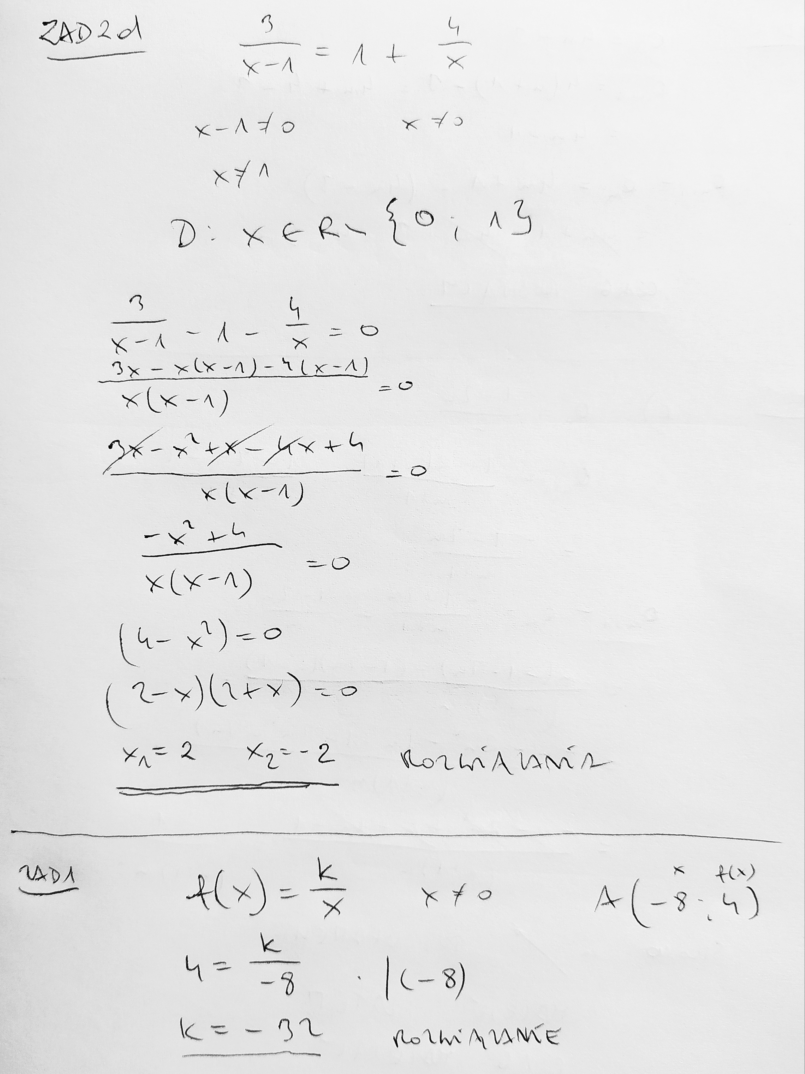
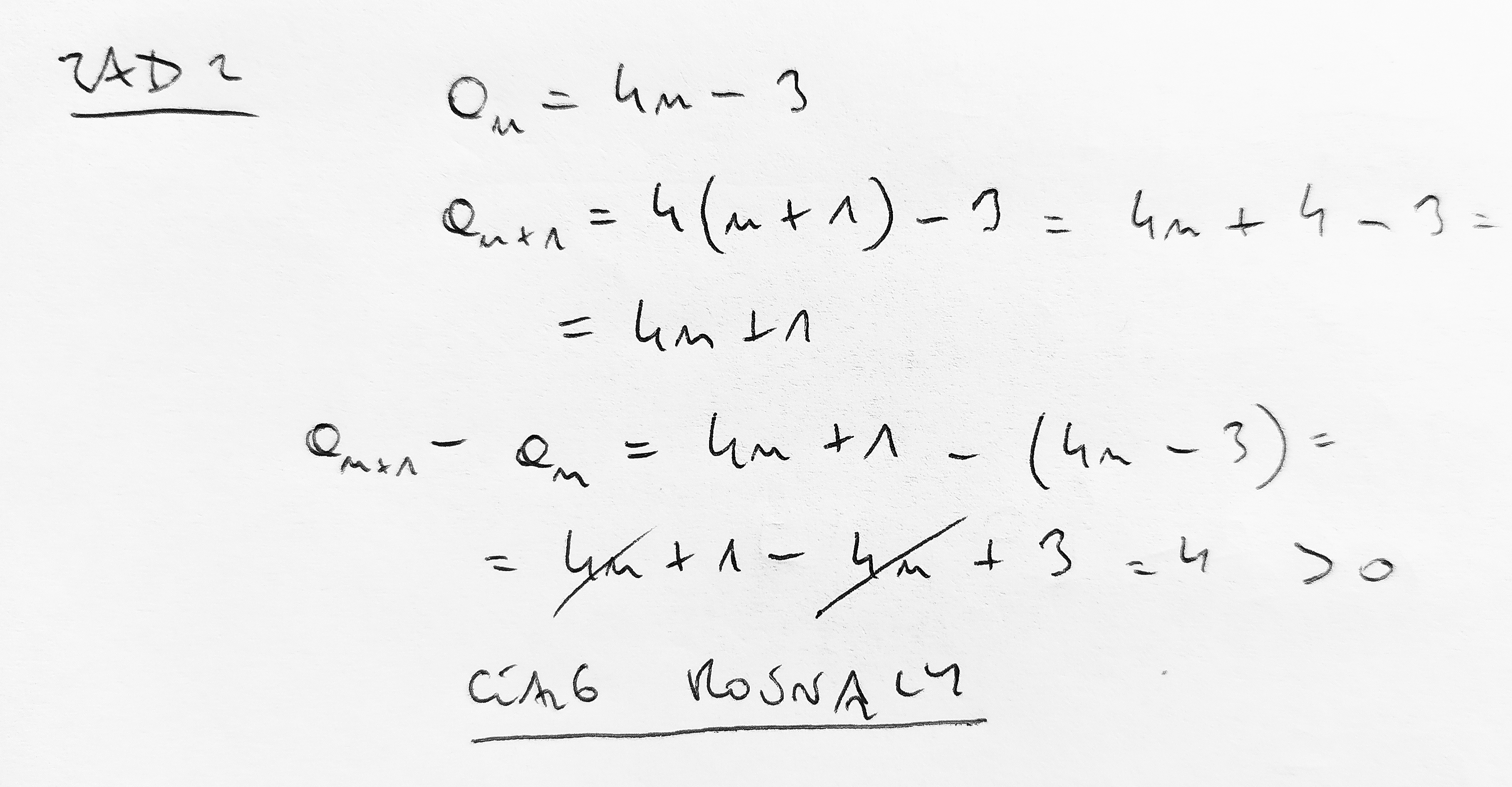
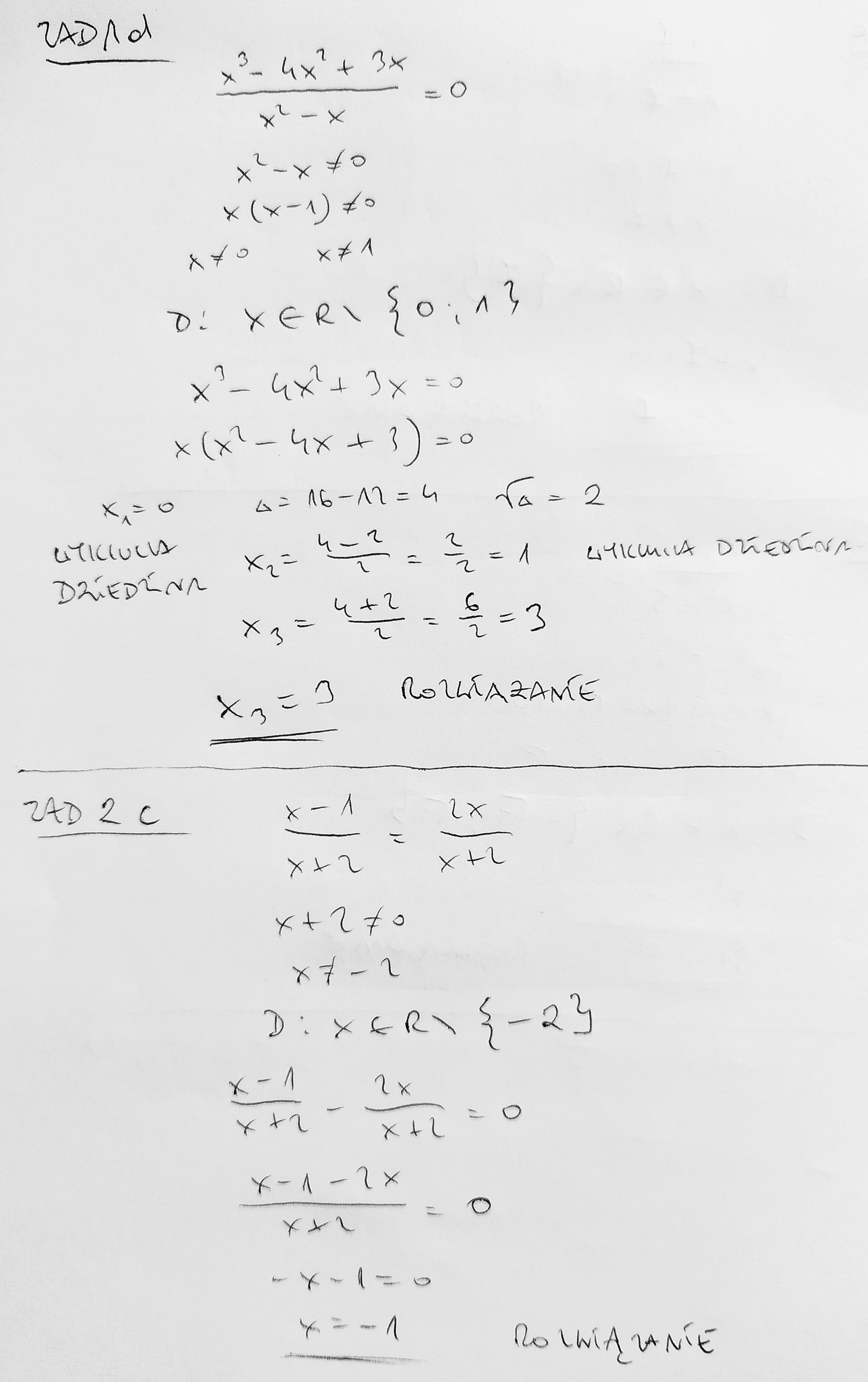
Treść zadania

Moobikonik

Błagam o pomoc! Potrzebuje pomocy w rozwiązaniu zadań w kółeczku

Załączniki do zadania

Zgłoś nadużycie

Komentarze do zadania

Zaloguj się lub załóź konto aby dodać komentarz.

Rozwiąż to zadanie i zarób nawet 14 punktów. 2 za rozwiązanie zadania, 10 gdy Twoja odpowiedź zostanie uznana jako najlepsza.

Rozwiązania

Podobne zadania

mania1408-k1 proszę o pomoc zadania na jutro. Przedmiot: Matematyka / Liceum 2 rozwiązania autor: mania1408-k1 13.4.2010 (16:43)
mania1408-k1 proszę o pomoc zadania na jutro. Przedmiot: Matematyka / Liceum 1 rozwiązanie autor: mania1408-k1 13.4.2010 (16:49)
bombecka88 Zadanie matematyka pomocy Przedmiot: Matematyka / Liceum 1 rozwiązanie autor: bombecka88 14.4.2010 (11:45)
mania1408-k1 Zadanie matematyka pomocy-pola trójkątów podobnych. Przedmiot: Matematyka / Liceum 1 rozwiązanie autor: mania1408-k1 14.4.2010 (12:58)
mania1408-k1 Zadanie matematyka pomocy-pola trójkątów podobnych. Przedmiot: Matematyka / Liceum 1 rozwiązanie autor: mania1408-k1 14.4.2010 (13:00)

Podobne materiały

Przydatność 75% Charakterystyka pomocy społecznej po 1989r. Pomoc społeczna w świetle obowiązującego prawa.

SPIS TREŚCI Wstęp?????????????????????????3 I. Przemiany w strukturze i świadomości społecznej po 1989r. ???????????????????....4 II. Pomoc społeczna po 1989r?????????????.6 III. Pomoc społeczna w świetle obowiązującego prawa???.8 IV. Kadry pomocy społecznej?????????????..13 V. Bieda jako problem społeczny???????????...15 Bibliografia??????????????????????17 WSTĘP Pomoc...

Przydatność 65% Człowiek potrzebuje wiary – człowiek potrzebuje Boga

Motto: „Człowiek potrzebuje wiary – człowiek potrzebuje Boga.” Szanowni zebrani, koleżanki i koledzy chciałbym dzisiaj wypowiedzieć się na temat potrzeby wiary a w szczególności wiary w Boga. Trudno nawet dokładnie zdefiniować kim jest Bóg? Wiemy, że podobno jest dobry, sprawiedliwy, miłosierny, ale czy On naprawdę jest? Żeby żyć musimy oddychać, jeść, pić,...

Przydatność 75% Czy człowiek potrzebuje zmian?

Czy człowiek potrzebuje zmian? Otóż uważam, że owszem. Ludzie, gdy nie zmieniają się, swojego stylu ubierania się, pracy, otoczenia, czy miejsca zamieszkania, mają wrażenie, iż nie rozwijają się. Często boimy się zmian, tego, że gdy już się na nie zdecydujemy, to okaże się ona zmianą na gorsze. Fakt, że ktoś staje się inny lub coś staje inne niż dotychczas przeraża...

Przydatność 60% Każdy potrzebuje przyjaciela - rozprawka

W mojej pracy rozważę tezę dotyczącą tematu : Każdy potrzebuje przyjaciela. Jest to zagadnienie, które jest problemem mojej dzisiejszej rozprawki. Według mnie twierdzenie, że każdy potrzebuje przyjaciela jest prawdą. Wszystko co człowiek robi z przyjacielem jest przyjemnością. Przytoczę kilka argumentów aby potwierdzić swoją tezę: Rozpocznę od najważniejszego dla mnie...

Przydatność 75% Łańcuch pomocy

1. Ocena, zabezpieczenie miejsca wypadku • Rozpoznanie (co się wydarzyło i co może się jeszcze wydarzyć) • Jakie są zagrożenia ( dla ratującego, poszkodowanych i świadków zdarzenia) • Zabezpieczenie m-ca wypadku aby zapobiec kolejnym nieszczęśliwym zdarzeniom • Zebrać informacje od świadków 2. Ocena ilości i stanu poszkodowanych • Ilu jest poszkodowanych...

0 odpowiada - 0 ogląda - 1 rozwiązań

Dodaj zadanie

Zobacz więcej opcji