Treść zadania

dunajt

4. Oblicz:w tym zadaniu możesz podać od razu wynik końcowy
a)5.3 b)5-.3 c)(-5).3 d)(-5).0


5. Zapisz wyrażenia w postaci jednej potęgi:
a)6-5:6-2 b)3.15 x 3.3x3.-2 c)(8.-3).-2 d)5-.4 x 5.3___ 5.-2


6. Oblicz:
a) v3xv27
b)6v320:6v5
c))5v2)2

7. Zaokrąglij liczbę 173,39208
a) do trzech miejsc po przecinku
b) do jednego miejsca po przecinku
c) do rzędu jedności
d) do rzędu setek

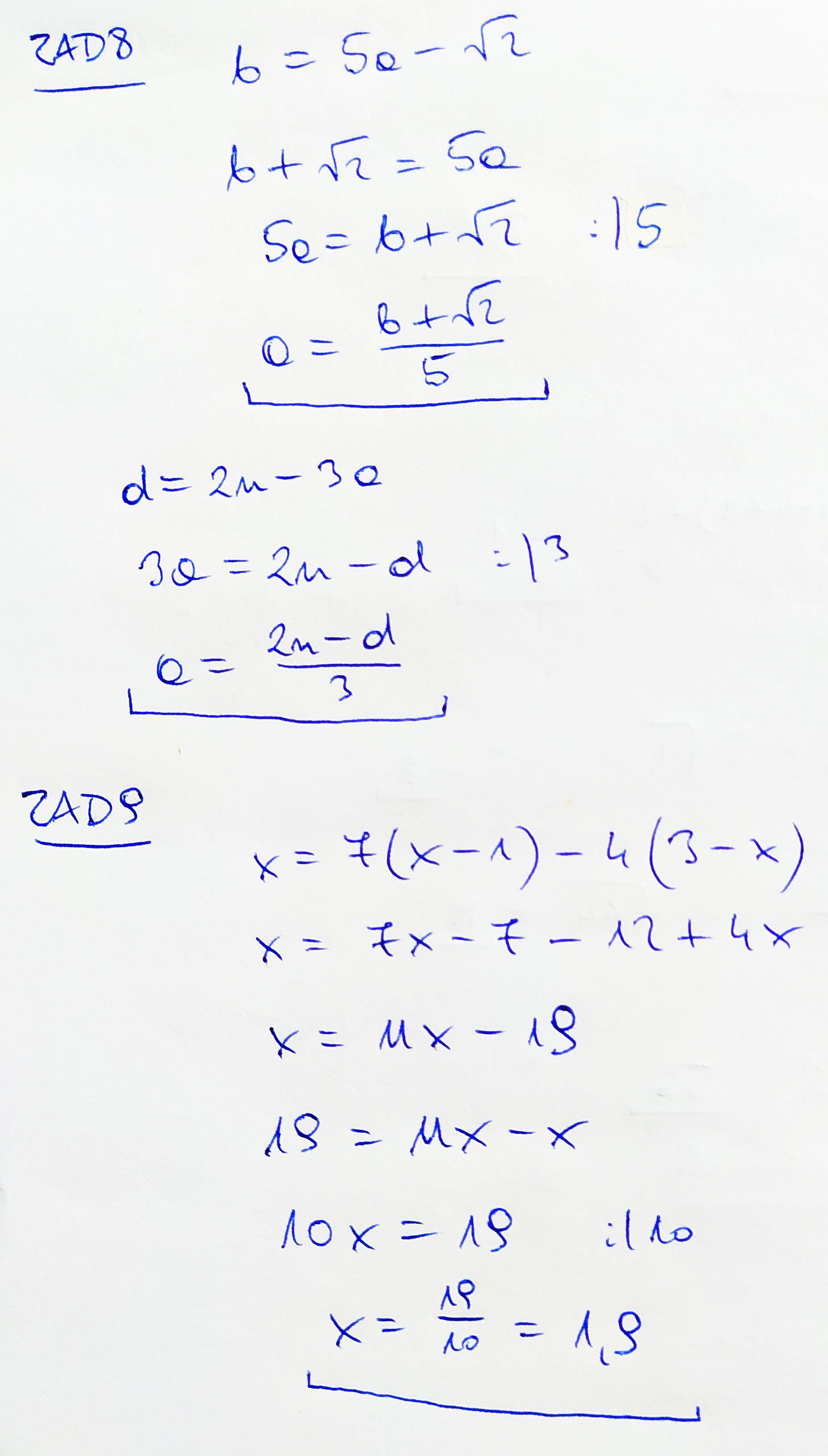
8. Z podanych wzorów wyznacz „a”:
a) b= 5a-v2
b)d=2n-3a
9. Rozwiąż równanie:

x = 7(x - 1) -4(3-x)

Zgłoś nadużycie

Komentarze do zadania

Zaloguj się lub załóź konto aby dodać komentarz.

Rozwiąż to zadanie i zarób nawet 14 punktów. 2 za rozwiązanie zadania, 10 gdy Twoja odpowiedź zostanie uznana jako najlepsza.

Rozwiązania

Podobne zadania

mania1992 pomocy w zadaniu na jutro! Przedmiot: Matematyka / Liceum 1 rozwiązanie autor: mania1992 20.4.2010 (15:15)
misia11 PILNE!!! przedsiebiorstwo w danym roku uzyskało wynik britto w wysokosći 920 Przedmiot: Matematyka / Liceum 1 rozwiązanie autor: misia11 4.6.2010 (18:11)
andzia114 Przekształć wyrażenia i zapisz ich wynik w postaci Przedmiot: Matematyka / Liceum 2 rozwiązania autor: andzia114 9.10.2010 (16:09)
misia_myszka_kmn Zadanie w stylu wykonaj dzialania, okresl dziedzine wyrazenia przedstaw wynik w Przedmiot: Matematyka / Liceum 1 rozwiązanie autor: misia_myszka_kmn 11.10.2010 (16:06)
misia_myszka_kmn wykonaj dzialania, okresl dziedzine wyrazenia przedstaw wynik w jak Przedmiot: Matematyka / Liceum 2 rozwiązania autor: misia_myszka_kmn 11.10.2010 (18:43)

Podobne materiały

Przydatność 50% Wynik Rutherforda

Wynik Rutherforda Celem eksperymentu Rutherforda bylo potwierdzenie teorii, ze atomy sa latwo przenikalnymi, neutralnymi kulkami. Oczekiwano, ze naladowane czastki alfa, niosace duza energie bez problemu przebija sie przez kilka atomow. Czastki alfa mialy zatem przebijac sie na wprost przez cienka warstwe zlota i pozostawic slady na niewielkim wycinku ekranu z tylu, za folia....

Przydatność 55% Wynik finansowy

1.Opisz i scharakteryzuj wynik finansowy netto i jego rozliczenie. Prowadząc działalność gospodarczą, przedsiębiorstwo może osiągnąć dodatni (pozytywny) wynik finansowy, kiedy przychody będą wyższe od kosztów lub też może osiągać wartość ujemną (negatywną), wówczas, kiedy to koszty osiągną wyższą wartość. Tylko dodatni wynik finansowy jest zyskiem, natomiast...

Przydatność 60% Wynik finansowy

WYNIK FINANSOWY jest podstawowym miernikiem oceny działalności podmiotu gospodarczego gdyż odzwierciedla w sposób całościowy osiągnięte efekty i poniesione nakłady. Dodatni wynik finansowy jest zyskiem a ujemny stratą. WYNIK NA SPRZEDAŻY stanowi różnicę między sumą należnych przychodów ze sprzedaży produktów, towarów towarów innych skł. Majątku obrotowego bez podatku...

Przydatność 60% Wynik finansowy,koszty,przychody

Wynik finansowy Prowadząc działalność gospodarczą, przedsiębiorstwo może osiągnąć dodatni (pozytywny) wynik finansowy, kiedy przychody będą wyższe od kosztów lub też może osiągać wartość ujemną (negatywną), wówczas, kiedy to koszty osiągną wyższą wartość. Tylko dodatni wynik finansowy jest zyskiem, natomiast wynik ujemny jest stratą...

Przydatność 55% Cena, wskażni rentowności i wynik finansowy

Przez cenę rozumie się wartość towaru lub usługi wyrażoną w pieniądzu, którą kupujący płaci sprzedawcy za określony towar lub usługę. Kryteria podziału cen -ze względu na sposób i tryb ustalania (urzędowe i umowne) -z uwagi na szczebel obrotu towarowego (zbytu, hurtowa, detaliczna). Rodzaje cen urzędowych: -ceny minimalne np. przy skupie płodów rolnych. -ceny...

0 odpowiada - 0 ogląda - 1 rozwiązań

Dodaj zadanie

Zobacz więcej opcji