Treść zadania

Chemia_

Rozwiąż zadania - 6 -

Załączniki do zadania

Zadanie jest zamknięte. Autor zadania wybrał już najlepsze rozwiązanie lub straciło ono ważność.

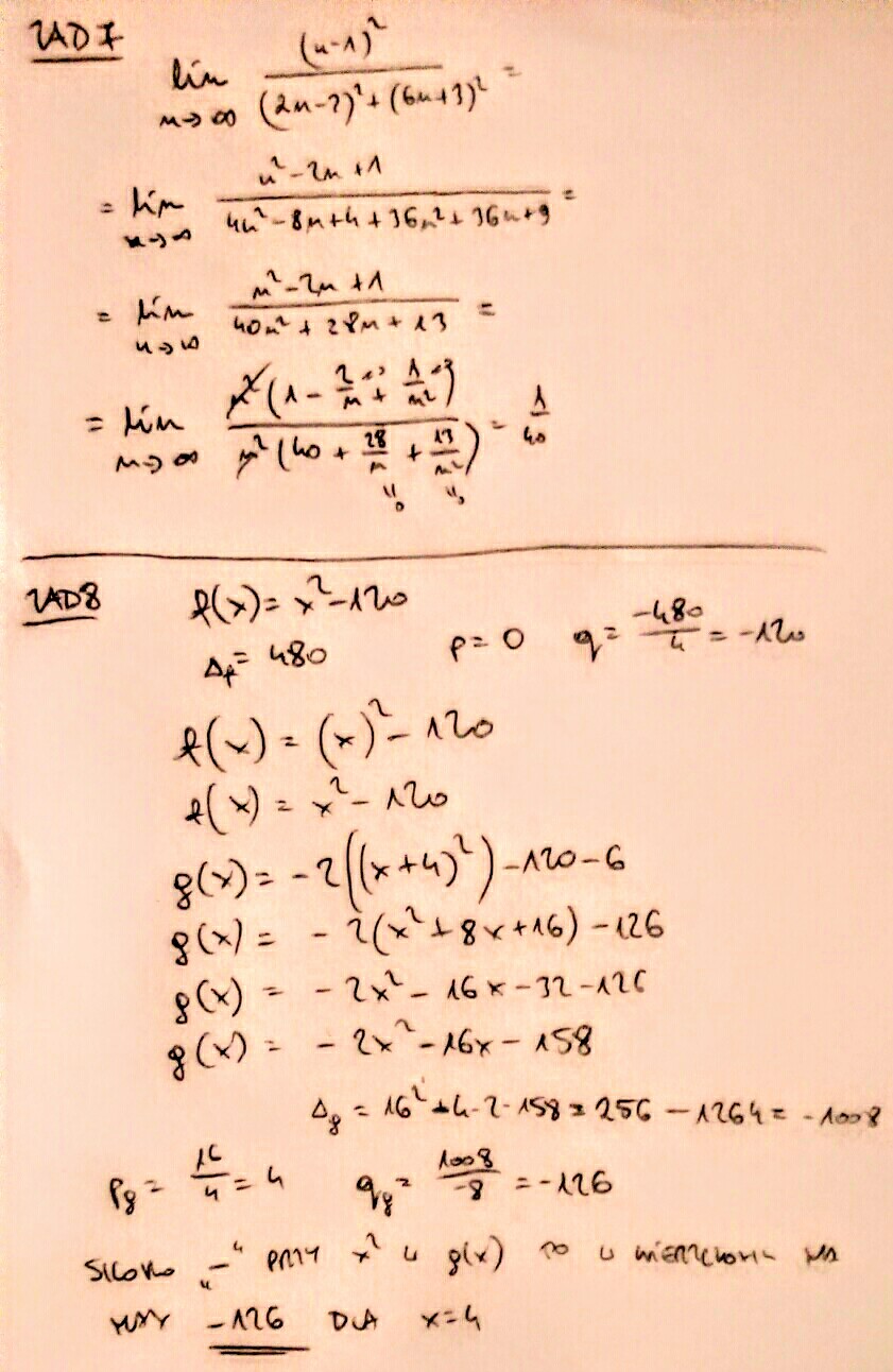
Najlepsze rozwiązanie

Rozwiązania

Podobne zadania

yenn_1987 Zadania ze statystyki Przedmiot: Matematyka / Studia 1 rozwiązanie autor: yenn_1987 22.6.2010 (14:09)
asiasia2010 zadania z logiki pomocy...!! Przedmiot: Matematyka / Studia 2 rozwiązania autor: asiasia2010 27.6.2010 (00:45)
iza001 Jak zrobić przykład 5 i 7 i 8 z zadania 3.2.1 Przedmiot: Matematyka / Studia 1 rozwiązanie autor: iza001 9.11.2010 (16:46)
zuzka5 Błagam o pomoc ,mam do zrobienia zadania ze ststystyki ,musze oddac to dopusci Przedmiot: Matematyka / Studia 1 rozwiązanie autor: zuzka5 6.1.2011 (18:28)
sandrulla09 Zadania w załącznikach. Prosiłabym o dokładne rozwiązanie i sposób Przedmiot: Matematyka / Studia 1 rozwiązanie autor: sandrulla09 16.2.2011 (17:26)

Podobne materiały

Przydatność 55% Bankowośc zadania

POSIADAM JESZCZE INNE MATERIAŁY Z BANKOWOŚCI I NIE TYLKO

Przydatność 70% Zadania wahadłowców

Promy kosmiczne, zwane też wahadłowcami lub samolotami kosmicznymi, są pierwszymi pojazdami wielokrotnego użytku przeznaczonymi do podróży poza naszą planetę. Startują z powierzchni Ziemi na podobieństwo rakiety kosmicznej, po wejściu na orbitę stają się sztucznymi satelitami, a gdy kończą zadanie, lądują z powrotem na ziemskim globie niczym gigantyczny szybowiec. Już sama...

Przydatność 80% Zadania sekretariatu

Zadania sekretariatu Głównym zadaniem sekretariatu jest odciążenie kierownika z uciążliwych administracyjno - biurowych i techniczno ? usługowych spraw które są bardzo drobne. W strukturze firmy sekretariat nie ma charakteru merytorycznego lecz usługowy. W sekretariacie może być zatrudnionych kilka osób ale najczęściej jest to komórka jednoosobowa (zatrudniony to sekretarka lub...

Przydatność 50% Zadania spedytora

Zadania spedytora: - Spedytor zobowiązany jest wykonywać swoje czynności zgodnie z przyjętym zleceniem. - Spedytor jest zobowiązany do odbioru przesyłki w przypadku gdy brakuje właściwych dokumentów. - Spedytor odbierając przesyłkę jest zobowiązany sprawdzić czy przesyłka dostarczona została w stanie nienaruszonym. - Spedytor nie ma obowiązku sprawdzać zgodność...

Przydatność 50% Zadania i cele mediów

Istnieje wiele teorii, dotyczących zadań, jakie spełniają środki masowego przekazu. Wynika to ze zróżnicowanego definiowania tego pojęcia. W ujęciu funkcjonalistycznym, które uznaje media za autonomiczne instytucje, mają one następujące funkcje: 1. Informacja: - informowanie o wydarzeniach i sytuacji w społeczeństwie, kraju i na świecie, - powiadamianie o rozkładzie sił we...

0 odpowiada - 0 ogląda - 1 rozwiązań

Dodaj zadanie

Zobacz więcej opcji