Treść zadania

~Sandra

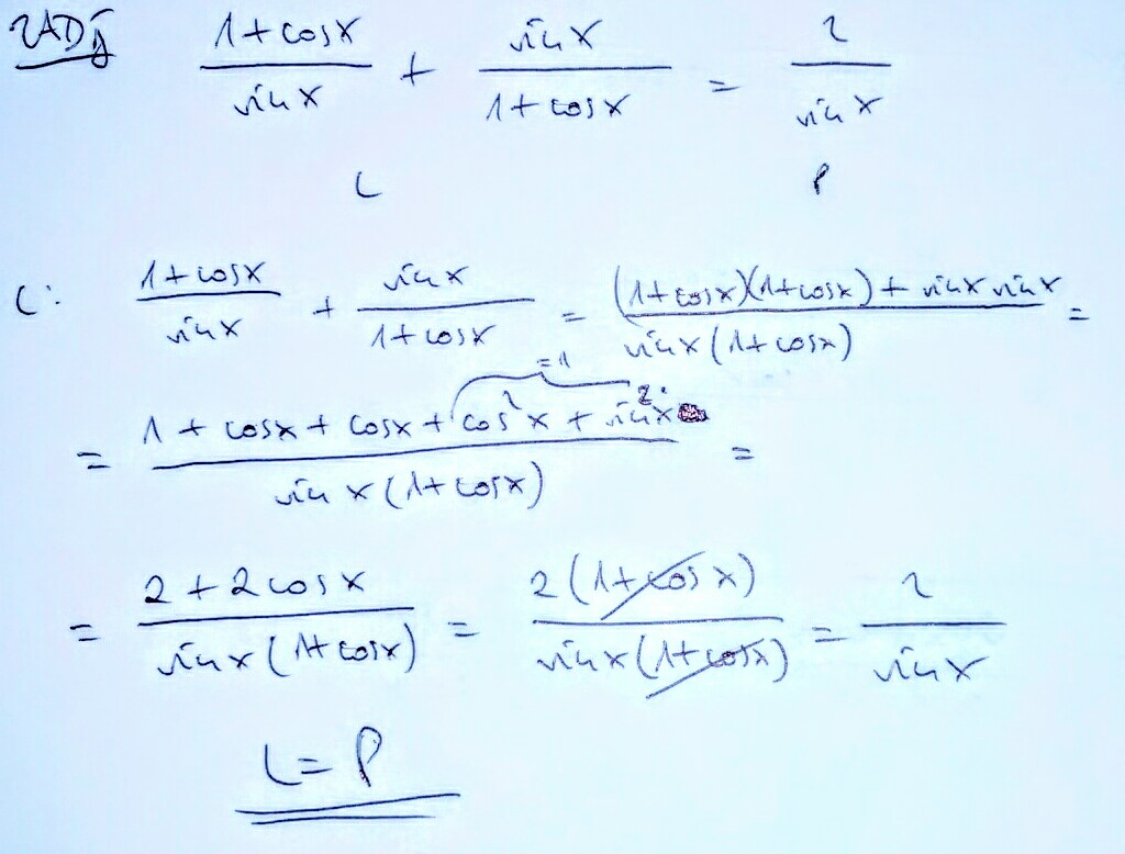
Udowodnij tożsamość trygonometryczną zad1/162
i) tgx + cosx / cosxsinx = 1 / sinx + 1 / cos ^x

j) 1 + cosx / sinx + sinx / 1 + cosx = 2 / sinx



^ = pierwiastek 2

Zgłoś nadużycie

Komentarze do zadania

Zaloguj się lub załóź konto aby dodać komentarz.

Rozwiąż to zadanie i zarób nawet 14 punktów. 2 za rozwiązanie zadania, 10 gdy Twoja odpowiedź zostanie uznana jako najlepsza.

Rozwiązania

Podobne zadania

ewkaa644 udowodnij, że ... Przedmiot: Matematyka / Liceum 1 rozwiązanie autor: ewkaa644 12.8.2010 (09:00)
Efe Udowodnij prawa logiczne.! Pilne! Przedmiot: Matematyka / Liceum 1 rozwiązanie autor: Efe 12.9.2010 (18:41)
dagmara1007 wykaż, że:cosx + cosx * ctg2x = ctgx / sinx* - razyctg2x- ctgx do Przedmiot: Matematyka / Liceum 1 rozwiązanie autor: dagmara1007 23.9.2010 (18:39)
paulinaskurzynska udowodnij bez kalkulatora , że pierwiastek z 15 +pierwiastek z 14 - Przedmiot: Matematyka / Liceum 2 rozwiązania autor: paulinaskurzynska 14.10.2010 (14:36)
Zdzichuxd Udowodnij że 3 do 18 minus 2 do 18 (18 to jest potęga) jest podzielne przez Przedmiot: Matematyka / Liceum 1 rozwiązanie autor: Zdzichuxd 7.11.2010 (10:55)

Podobne materiały

Przydatność 65% Funkcje trygonometryczne

FUNKCJE TRYGONOMETRYCZNE Sinusem kąta ostrego w trójkącie prostokątnym nazywamy stosunek długości przyprostokątnej (a) leżącej na przeciw tego kąta do długości przeciwprostokątnej (c). sina=a/c Cosinusem kąta ostrego w trójkącie prostokątnym nazywamy stosunek długości przyprostokątnej (b) leżącej przy tym kącie do długości przeciwprostokątnej (c). cosa=b/c...

Przydatność 60% Funkcje trygonometryczne

Sinusem kąta ostrego w trójkącie prostokątnym nazywamy stosunek długości przyprostokątnej (a) leżącej na przeciw tego kąta do długości przeciwprostokątnej (c). sina=a/c Cosinusem kąta ostrego w trójkącie prostokątnym nazywamy stosunek długości przyprostokątnej (b) leżącej przy tym kącie do długości przeciwprostokątnej (c). cosa=b/c Tangensem kąta ostrego w...

Przydatność 60% Funkcje trygonometryczne - zaawansowane wzory

Funkcje trygonometryczne - wzory sin2x=2sinxcosx cos2x=cosxcox-sinxsinx sin(x+y)=sinxcosy+cosxsiny sin(x-y)=sinxcosy-cosxsiny cos(x+y)=cosxcosy-sinxsiny cos(x-y)=cosxcosy+sinxsiny sinx+siny=2sin((x+y)/2)cos((x-y)/2) sinx-siny=2sin((x-y)/2)cos((x+y)/2) cosx+cosy=2cos((x+y)/2)cos((x-y)/2) cosx-cosy=-2sin((x+y)/2)sin((x-y)/2) sin(-x)=-sinx cos(-x)=cosx tg(-x)=-tgx ctg(-x)=-ctgx

Przydatność 60% Udowodnij, że bakteria to organizm żywy.

Organizm jest to istota żywa zbudowana z komórek, przeprowadzająca wszystkie czynności życiowe, czyli:wykonywanie ruchów,odżywianie sie, oddychanie,rozmnażanie,wzros i rozwój,wydalanie,reakcja na bodźce. Przyglądnijmy sie funkcją zyciowym bakterii. Pierwsza funkja życiową jest wykonywanie ruchów.Bakterie są bardzo lekkie, więc swobodnie przemieszczaja się dzieki...

Przydatność 80% Udowodnij, że Kreon to postać tragiczna.

Kreon jest bohaterem dramatu Sofoklesa "Antygona". Jest jednocześnie ojcem Hjajmona, mężęm Euredyki, ale przede wszystkim władcą Teb. Według mnie Kreon jest postacią tragiczną, a swoją tezę postaram się uargumentować w dalszej części swojej pracy. Postać tragiczna to taka postać, którą los stawia przed trudnym dylematem. Niezależnie co wybierze i tak...

0 odpowiada - 0 ogląda - 1 rozwiązań

Dodaj zadanie

Zobacz więcej opcji