Treść zadania
Autor: giewont1234gg Dodano: 4.3.2017 (18:00)
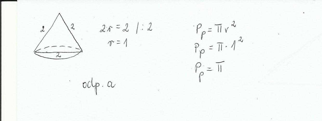
przekrojem osiowym stożka jest trójkat równoboczny którego ok ma długość 2 . Pole podstawy tego stożka jest równe:
a. pi
b. 2pi
c. 4 pi
d. 8 pi
Zadanie jest zamknięte. Autor zadania wybrał już najlepsze rozwiązanie lub straciło ono ważność.
Najlepsze rozwiązanie
Rozwiązania
Podobne zadania
|
|
1 rozwiązanie | autor: pawel 24.3.2010 (16:28) |
|
|
2 rozwiązania | autor: MartaGrzeszczak1 29.3.2010 (17:43) |
|
|
1 rozwiązanie | autor: lusi1069 30.3.2010 (16:42) |
|
|
1 rozwiązanie | autor: gosiaczek90 7.4.2010 (19:15) |
|
|
1 rozwiązanie | autor: aluszacedro 12.4.2010 (15:17) |
0 odpowiada - 0 ogląda - 1 rozwiązań
3 0
ewka13 4.3.2017 (19:13)
Rozwiązanie w załączniku...
Załączniki
Dodawanie komentarzy zablokowane - Zgłoś nadużycie