Treść zadania

Misiax0

Prosze o rozwiazania nierownosci:
1) 2x+3 < x-1/2
2. (x-1)²>x²+5
3. 2(x-1)+6>_2x
4.x-2/2 – x+1/3 _
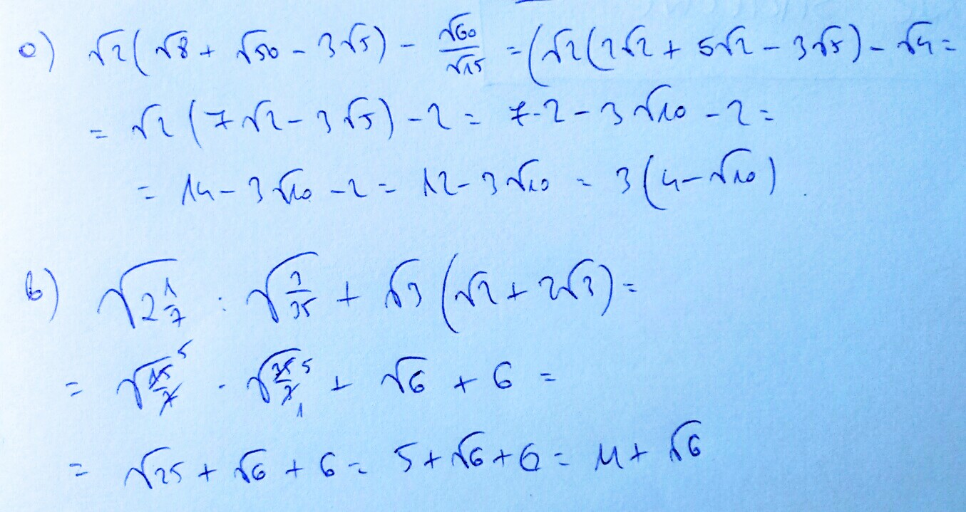
oblicz : a) √2*(√8+√50-3√5)-√60/√15
b) √2 1/7 : √3/35 + √3* (√2+2√3)

rozwiaz rowniania:
3x-6=x-4/2 +5
x(x+6)=(x+3)^2-9
2(x-1)(x+5)=x(2x+7)+x

Zadanie jest zamknięte. Autor zadania wybrał już najlepsze rozwiązanie lub straciło ono ważność.

Rozwiązania

Podobne zadania

CyborgR Prosze o pomoc, krotkie zadanie. Przedmiot: Matematyka / Liceum 2 rozwiązania autor: CyborgR 17.4.2010 (18:13)
basia0985 pomóżcie prosze:( Przedmiot: Matematyka / Liceum 1 rozwiązanie autor: basia0985 20.4.2010 (16:11)
basia0985 pomóżcie prosze:( Przedmiot: Matematyka / Liceum 1 rozwiązanie autor: basia0985 20.4.2010 (16:15)
basia0985 pomóżcie prosze:( Przedmiot: Matematyka / Liceum 1 rozwiązanie autor: basia0985 20.4.2010 (16:41)
malutkaaaa90 bardzo prosze o pomoc Przedmiot: Matematyka / Liceum 2 rozwiązania autor: malutkaaaa90 26.4.2010 (17:52)

Podobne materiały

Przydatność 90% Gotowe rozwiazania do egzaminu prof. dr hab. Zbigniew Dresler

Sama Je robilam dlatego jesli cos jest zle prosze poprawic sobie samemu

0 odpowiada - 0 ogląda - 1 rozwiązań

Dodaj zadanie

Zobacz więcej opcji