Treść zadania
Autor: kasia00012 Dodano: 23.2.2017 (12:37)
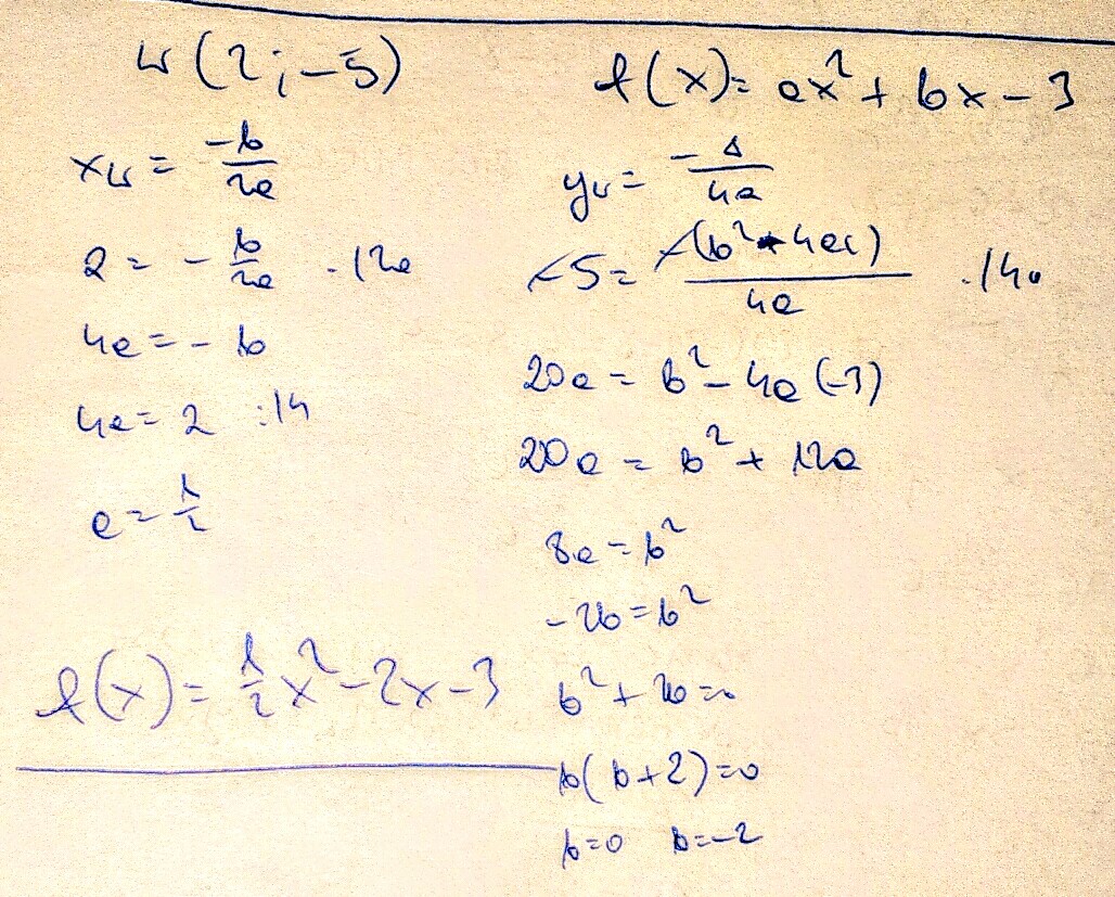
TyDAM NAJ!!! Punkt W(2,-5) jest wierzchołkiem paraboli będącej wykresem funkcji f. Wyznacz brakujące współczynniki i podaj wzór tej funkcji
a) f(x)=3x^2+bx+c
b) f(x)=ax^2+bx-3
Zadanie jest zamknięte. Autor zadania wybrał już najlepsze rozwiązanie lub straciło ono ważność.
Najlepsze rozwiązanie
Rozwiązania
Podobne zadania
|
|
1 rozwiązanie | autor: pawel 24.3.2010 (16:28) |
|
|
2 rozwiązania | autor: MartaGrzeszczak1 29.3.2010 (17:43) |
|
|
1 rozwiązanie | autor: lusi1069 30.3.2010 (16:42) |
|
|
1 rozwiązanie | autor: gosiaczek90 7.4.2010 (19:15) |
|
|
1 rozwiązanie | autor: aluszacedro 12.4.2010 (15:17) |
Podobne materiały
Przydatność 75% Alzheimer - genetyczny punkt widzenia.
Skrycie atakująca choroba Alzheimera powoduje nieustanne pogarszanie się pamięci i utratę kontroli nad podstawowymi funkcjami organizmu. W większości cierpią na nią osoby po siedemdziesiątce, ci zaś, którzy dożywają jej końcowych stadiów, w miarę powolnego zaniku czynności mózgu tracą zdolność mówienia, chodzenia, a nawet unoszenia głowy. Choroba daje o sobie znać...
Przydatność 85% „Ciemności kryją ziemię” funkcja przyjętej przez autora konwencja paraboli.
Odwołując się do przytoczonych fragmentów powieści J. Andrzejewskiego „Ciemności kryją ziemię” rozważ, jaką funkcję pełni przyjęta przez autora konwencja paraboli. Święta Inkwizycja – średniowieczne czasy terroru religijnego, ciemna karta w historii Kościoła. Narzucanie wiary siłą i przemocą. Tysiące ofiar w imię mylnie zinterpretowanej woli Bożej. Kościół...
Przydatność 60% "Punkt widzenia zależy od punktu siedzenia".
W pełni zgadzam się z założonym twierdzeniem, iż „punkt widzenia zależy od punktu siedzenia”. Uważam, że stanowisko, czy pozycja w jakiej się znajdujemy nie jest bez znaczenia dla naszych poglądów, lub decyzji. Ludzie zachowujący się dwulicowo uznawani są przez większość społeczeństwa za istny margines społeczny, który potocznie trzeba „tępić”. Z pewnością nie...
Przydatność 50% Punkt widzenia Józefa, jak go potraktowali bracia.
Mam na imię Józef i jestem siedemnastolatkiem. Całą rodziną mieszkaliśmy w Kanaanie. Ja i moi bracia pasaliśmy trzodę. Jako najmłodszy syn byłem ulubieńcem ojca i bracia zazdrościli mi, że ojciec kocha mnie bardziej niż ich. Pewnego razu ojciec podarował mi szatę z rękawami, a wtedy bracia znienawidzili mnie. Którejś nocy przyśniło mi się, że...
Przydatność 50% Ważniejsze są urządzenia, maszyny czy pracownicy. Uzasadnij swój punkt widzenia.
Nie zależnie od tego czy mamy do czynienia z jednostką budżetową zatrudniającą kilku pracowników czy z dużą firmą, w każdej spotykamy współpracujące ze sobą trzy elementy: maszyny, urządzenia i pracowników. W zależności od rodzaju wykonywanej pracy, jeden z elementów jest ważniejszy, lecz zawsze współpracują one ze sobą. Urządzenia i maszyny są dobrymi elementami...
0 odpowiada - 0 ogląda - 1 rozwiązań
4 0
werner2010 23.2.2017 (22:43)
Rozwiązania na zdjęciach
Załączniki
Dodawanie komentarzy zablokowane - Zgłoś nadużycie