Treść zadania

~paulcio

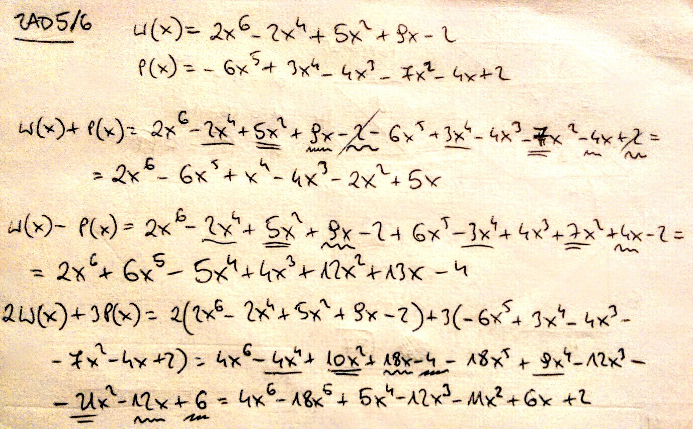
Zad. 5 Dane są wielomiany W(x) = 2x6 – 2x4 + 5x2 + 9x - 2, P(x) = - 6x5 + 3x4 – 4x3 - 7 x2 - 4x + 2.
Zad. 6 Oblicz wyrażenie:
W(x) + P(x) =
W(x) – P(x) =
2W(x) + 3P(x) =
Zad. 7 Rozwiąż równanie:
b) 2x3 + 250 = 0 c) (x2 – x)(x+2) = 0
Zad. 8 Rozwiąż nierówność
a) 2x2 – 5x + 3 < 0 b) –x2 – x – 6> 0

Zadanie jest zamknięte. Autor zadania wybrał już najlepsze rozwiązanie lub straciło ono ważność.

Rozwiązania

Podobne zadania

angelika1990 1)Dane są wielomiany Oblicz W(x)=x³-2x+1 W(x)+Q(x) Q(x)=-x³+3x Przedmiot: Matematyka / Liceum 1 rozwiązanie autor: angelika1990 8.4.2010 (18:05)
lestat919 wielomiany Przedmiot: Matematyka / Liceum 1 rozwiązanie autor: lestat919 8.4.2010 (19:10)
aluszacedro dane są wierzchołki trójkąta A=(6,-1), B=(10,1), C=(2,7) wykaż że Przedmiot: Matematyka / Liceum 2 rozwiązania autor: aluszacedro 12.4.2010 (15:22)
lukaszunkile Dane są punkty: A(2, -5), B(-2, 1) i C(3, -1). Znajdź współrzędne punktu D Przedmiot: Matematyka / Liceum 2 rozwiązania autor: lukaszunkile 18.4.2010 (16:17)
MrAnulka wielomiany-na jutro - proszę pomóżcie Przedmiot: Matematyka / Liceum 3 rozwiązania autor: MrAnulka 18.4.2010 (19:39)

Podobne materiały

Przydatność 60% Równanie okręgu : zad 7,5

zad 7,5 str 307 podręcznik do matematyki prosto do matury M. Antek, K. Belka, P. Grabowski zad 7,5 Sprawdź który z punktów należy do okręgu. zadanie zrobione, w załączniku :)

Przydatność 60% Polska - ogółne dane

Polozenie polski na kuli ziemskiej. Polska ma szer pół. a dł wschodnia. Konsekwencje rozciaglosci poludnikowej jest roznica trwania dnia miedzy pół. a poł. Czerwca w Polsce dzien trwa 17h20min w gdyni i jest dluzszy o 1h20min Zakopanem. Konsekwencja rozciaglosci rownoleznikowej jest roznica we wschodzie slonaca, slonce wschodzi wczesniej o 40 min na wsch Polski. Czas letni wedlug...

Przydatność 60% Chorwacja - główne dane

CHORWACJA. PRZEMYSŁ. Główną rolę w gospodarce Chorwacji odgrywa przemysł przetwórczy o zróżnicowanej strukturze gałęziowej; do najważniejszych gałęzi należą: hutnictwo żelaza (Sisak) i aluminium (Lozovac, Razine), przemysł stoczn. (Rijeka, Split, Pula) oraz petrochem. (Sisak, Osijek, Split); duże znaczenie ma przemysł maszyn. (m.in. fabryki: obrabiarek — Zagrzeb, maszyn...

Przydatność 75% Księżyc - ogólne dane

1.Księżyc : To naturalny satelita Ziemi. Otacza ją po swojej orbicie oddalonej od planety o 384400km. Jest piątym co do wielkości Księżycem w Układzie Słonecznym. Średnica Księżyca wynosi trochę więcej niż 1/4 średnicy Ziemi. Przyspieszenie grawitacyjne na jego powierzchni jest blisko 6 razy słabsze, niż na Ziemi (1,6 n/kg). Cały czas widzimy tylko jedną stronę...

Przydatność 55% Dane fizyczne planet Układu Słonecznego

UKŁAD SŁONECZNY Planety wewnętrzne Merkury Merkury jest planetą krążącą najbliżej Słońca. Ze względu na znaczny mimośród (spłaszczenie) orbity, w peryhelium znajduje się półtorakrotnie bliżej Słońca niż w aphelium. Średnia gęstość Merkurego jest w przybliżeniu równa gęstości Ziemi, przy czym około 80% jego masy przypada na żelazne jądro. Powierzchnię...

0 odpowiada - 0 ogląda - 1 rozwiązań

Dodaj zadanie

Zobacz więcej opcji