Treść zadania

~NIKI

Witam, prosze o pomoc.
Zad.1 rozloz trojmian kwadratowy na czynniki;
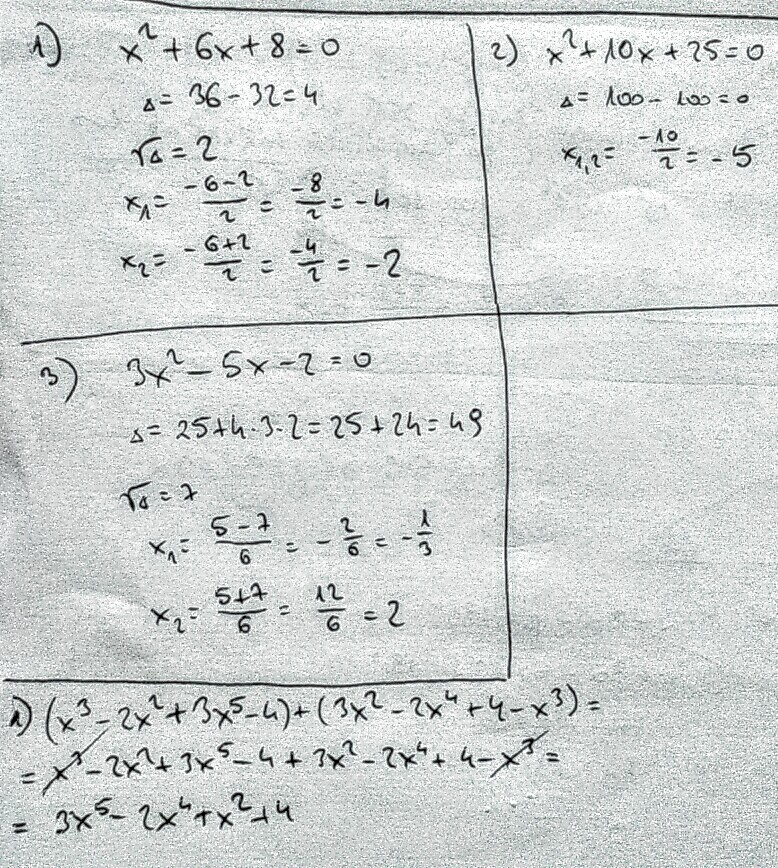
1. X do kwadratu +6x+8=0
2. X do kwadratu+10x+25=0
3. 3x do kwadratu-5x-2=0
Zad.2 usun nawiasy i wykonaj redukcję:
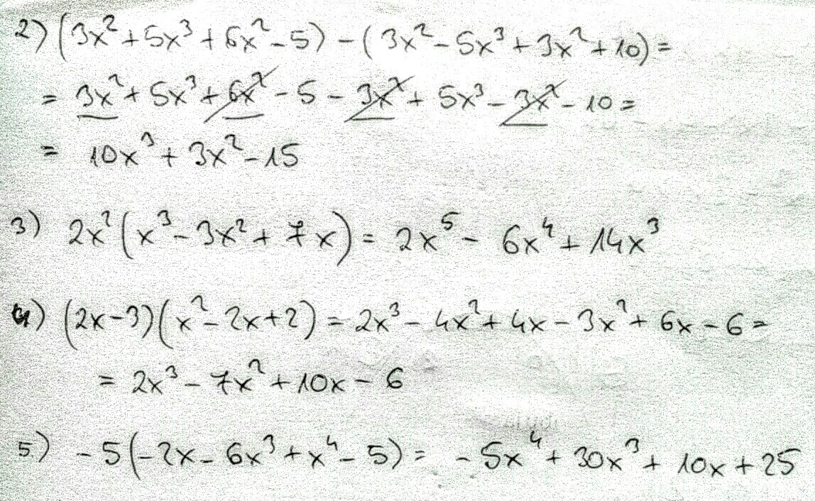
1. (X do 3 -2x do 2+3x do 5-4)+(3x do 2-2X DO 4+4-X DO 3)
2. (3X do 2+5 x do 3+6x do 2-5)-(3x do 2-5x do 3+3x do 2+10)
3. 2x do 2 (x do 3 -3x do 2+7x)
4. (2x-3)(x do 2-2x+2)
5. -5 (-2x-6x do 3+x do 4-5)

Zadanie jest zamknięte. Autor zadania wybrał już najlepsze rozwiązanie lub straciło ono ważność.

Rozwiązania

Podobne zadania

mania1408-k1 proszę o pomoc zadania na jutro. Przedmiot: Matematyka / Liceum 2 rozwiązania autor: mania1408-k1 13.4.2010 (16:43)
mania1408-k1 proszę o pomoc zadania na jutro. Przedmiot: Matematyka / Liceum 1 rozwiązanie autor: mania1408-k1 13.4.2010 (16:49)
CyborgR Prosze o pomoc, krotkie zadanie. Przedmiot: Matematyka / Liceum 2 rozwiązania autor: CyborgR 17.4.2010 (18:13)
mala53 Bardzo proszę o pomoc! Przedmiot: Matematyka / Liceum 1 rozwiązanie autor: mala53 19.4.2010 (11:00)
basia0985 pomóżcie prosze:( Przedmiot: Matematyka / Liceum 1 rozwiązanie autor: basia0985 20.4.2010 (16:11)

Podobne materiały

Przydatność 100% program trojmian

program trojmian; uses CRT; var a,b,c,x1,x2,delta:real; begin clrscr; write('a='); readln(a); write('b='); readln(b); write('c='); readln(c); delta:=sqr(b)-4*a*c; If (delta>0) then begin x1:=(-b-sqrt(delta))/(2*a); x2:=(-b+sqrt(delta))/(2*a); writeln('x1=',x1); writeln('x2=',x2); end else If (delta<0) then begin writeln('Nie ma rozwiazan'); end else If (delta=0) then...

Przydatność 50% Inne spojrzenie na trójmian kwadratowy

Trójmian kwadratowy to inaczej równanie postaci : ax^2+bx+c=0 , gdzie a!= 0 . (!= oznacza nie może być). Jak najszybciej rozwiązać równanie takiej postaci ? Ano przy pomocy tzw. kanonicznej postaci trójmianu kwadratowego oraz wyróżnika trójmianu kwadratowego (delta). Jak wyprowadzić ze wzoru ax^2+bx+c=0 kanoniczną postać ? To kiedy indziej. I tak było by mi ciężko...

Przydatność 80% Pierwsza pomoc - pomoc przedmedyczna

Pierwsza Pomoc Przedmedyczna Pierwsza pomoc przedmedyczna to czynności ratownika (osoby udzielającej pierwszą pomoc) prowadzące do zabezpieczenia i utrzymania przy życiu osoby poszkodowanej, do czasu przyjazdu wykwalifikowanych służb. Etapy pierwszej pomocy 1. ocena sytuacji 2. zabezpieczenie miejsca zdarzenia 3. ocena stanu poszkodowanego 4. wezwanie pomocy - 999 ? Pogotowie...

Przydatność 50% Pierwsza pomoc

UDZIEANIE PIERWSZEJ POMOCY POSZKODOWANYM RANY Rany należą do najczęszczych uszkodzeń urazowych i w większości powstają w następstwie nieszczęśliwych wypadków. Niektóre zranienia wymagają natychmiastowego opatrzenia z uwagi na stan zagrożenia życia. Inne natomiast nie zagrażają życiu, wymagają jedynie doraźnej pomocy, co wcale nie znaczy, że można je lekceważyć....

Przydatność 55% Pierwsza pomoc

PIERWSZA POMOC TELEFONY ALARMOWE numer pogotowia ratunkowego: 999numer telefonu alarmowego telefonii komórkowej: 112 Wzywając pogotowie ratunkowe należy podać krótkie i konkretne informacje o stanie chorego. Powinny zawierać informacje takie jak:- krótki opis zdarzenia,- jaki czas minął od zdarzenia,- aktualny stan chorego: a) czy oddycha, b) czy ma tętno na tętnicy szyjnej,...

0 odpowiada - 0 ogląda - 1 rozwiązań

Dodaj zadanie

Zobacz więcej opcji