Treść zadania

Nimueh

Prosiłabym o pomoc :)


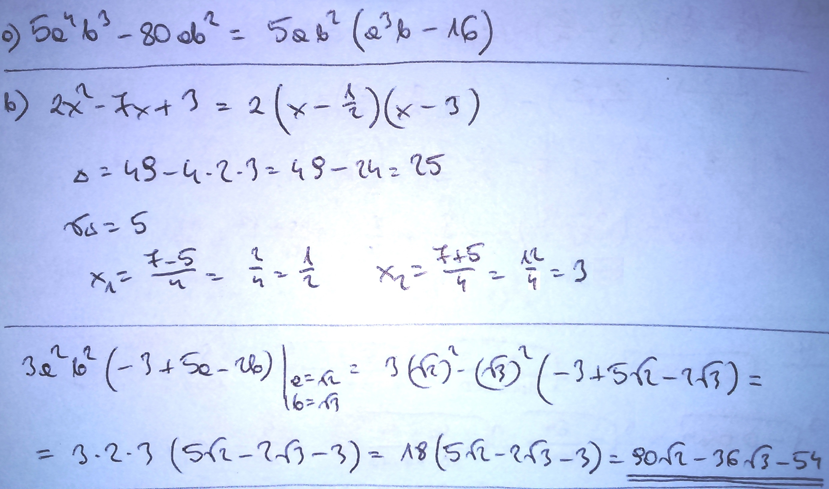
Rozłóż sumę algebraiczną na czynniki:


a) 5a^4b^3-80ab^2

b) 2x^2-7x+3


Oblicz wartość wyrażenia:
(3a^2 b^2)(-3+5a-2b) dla a =√2 dla b= √3



Rozwiąż równanie:

a) x(3x-1)^2=x-6x^2-72

Zadanie jest zamknięte. Autor zadania wybrał już najlepsze rozwiązanie lub straciło ono ważność.

Najlepsze rozwiązanie

Rozwiązania

Podobne zadania

mania1408-k1 proszę o pomoc zadania na jutro. Przedmiot: Matematyka / Liceum 2 rozwiązania autor: mania1408-k1 13.4.2010 (16:43)
mania1408-k1 proszę o pomoc zadania na jutro. Przedmiot: Matematyka / Liceum 1 rozwiązanie autor: mania1408-k1 13.4.2010 (16:49)
CyborgR Prosze o pomoc, krotkie zadanie. Przedmiot: Matematyka / Liceum 2 rozwiązania autor: CyborgR 17.4.2010 (18:13)
mala53 Bardzo proszę o pomoc! Przedmiot: Matematyka / Liceum 1 rozwiązanie autor: mala53 19.4.2010 (11:00)
mania1992 proszę o pomoc!! (geometria płaska) zadania na wtorek. Przedmiot: Matematyka / Liceum 1 rozwiązanie autor: mania1992 24.4.2010 (13:10)

Podobne materiały

Przydatność 60% Wyrażenia algebraiczne

1. Zapisywanie wyrażeń algebraicznych: a.) zapisz ze pomocą wyrażeń algebraicznych wzór na trzy kolejne liczby naturalne: n n + 1 n + 2 b.) zapisz za pomocą wyrażeń algebraicznych wzór na liczbę dwu cyfrową: 10a + b c.) zapisz za pomocą wyrażeń algebraicznych wzór na liczbą trzy cyfrową: 100a + 10b + c d.) zapisz za pomocą wyrażeń algebraicznych wzór na trzy...

Przydatność 65% Wyrażenia Algebraiczne

Wyrażenia Algebraiczne Wyrażenia algebraiczne powstają przez połączenie symboli literowych oraz liczb znakami działań i nawiasów, np. 4x+2y-3 3a+2b-c 8m-9 2(a+b) (x+y) Każde wyrażenie możemy zapisać w różny sposób, wykonując działania na literach, podobnie jak na liczbach , np. x+y+x+y+y= 2x + 3y...

Przydatność 70% Wyrażenia algebraiczne

Wyrażenia Algebraiczne Wyrażenia algebraiczne powstają przez połączenie symboli literowych oraz liczb znakami działań i nawiasów, np. 4x+2y-3 3a+2b-c 8m-9 2(a+b) (x+y) Każde wyrażenie możemy zapisać w różny sposób, wykonując działania na literach, podobnie jak na liczbach , np. x+y+x+y+y= 2x + 3y 3a+2b-a+3b= 2a+ 5b Aby obliczyć wartość liczbową wyrażenia...

Przydatność 80% Pierwsza pomoc - pomoc przedmedyczna

Pierwsza Pomoc Przedmedyczna Pierwsza pomoc przedmedyczna to czynności ratownika (osoby udzielającej pierwszą pomoc) prowadzące do zabezpieczenia i utrzymania przy życiu osoby poszkodowanej, do czasu przyjazdu wykwalifikowanych służb. Etapy pierwszej pomocy 1. ocena sytuacji 2. zabezpieczenie miejsca zdarzenia 3. ocena stanu poszkodowanego 4. wezwanie pomocy - 999 ? Pogotowie...

Przydatność 50% Pierwsza pomoc

UDZIEANIE PIERWSZEJ POMOCY POSZKODOWANYM RANY Rany należą do najczęszczych uszkodzeń urazowych i w większości powstają w następstwie nieszczęśliwych wypadków. Niektóre zranienia wymagają natychmiastowego opatrzenia z uwagi na stan zagrożenia życia. Inne natomiast nie zagrażają życiu, wymagają jedynie doraźnej pomocy, co wcale nie znaczy, że można je lekceważyć....

0 odpowiada - 0 ogląda - 1 rozwiązań

Dodaj zadanie

Zobacz więcej opcji