Treść zadania

Nimueh

Prośba o pomoc z matematyką.

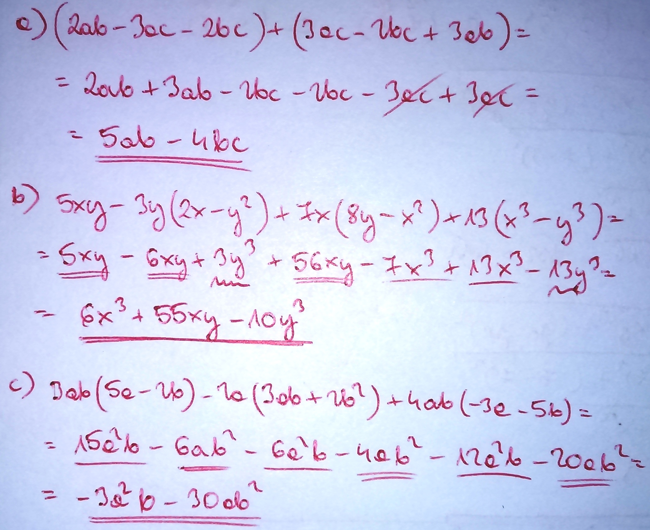
Wykonaj działania
a) (2ab-3ac-2bc)+(3ac-2bc+3ab)=
b) 5xy-3y(2x-y^2)+7x(8y-x^2)+13 (x^3 -y^3)=
c) 3ab(5a-2b)-2a(3ab+2b^2)+4ab(-3a-5b)=



Wykonaj działania ,a następnie oblicz wartość wyrażenia dla a=-3

8a^5+10a ............. 8a^3
------------------- × -------------- =
4a^2 .......... .............. 2a


Wykonaj działania

2a-1 ,, 5-2a
------ + ------- =
3a ,,,,,,,,, 4a

Zadanie jest zamknięte. Autor zadania wybrał już najlepsze rozwiązanie lub straciło ono ważność.

Najlepsze rozwiązanie

Rozwiązania

Podobne zadania

mania1408-k1 proszę o pomoc zadania na jutro. Przedmiot: Matematyka / Liceum 2 rozwiązania autor: mania1408-k1 13.4.2010 (16:43)
mania1408-k1 proszę o pomoc zadania na jutro. Przedmiot: Matematyka / Liceum 1 rozwiązanie autor: mania1408-k1 13.4.2010 (16:49)
CyborgR Prosze o pomoc, krotkie zadanie. Przedmiot: Matematyka / Liceum 2 rozwiązania autor: CyborgR 17.4.2010 (18:13)
mala53 Bardzo proszę o pomoc! Przedmiot: Matematyka / Liceum 1 rozwiązanie autor: mala53 19.4.2010 (11:00)
mania1992 proszę o pomoc!! (geometria płaska) zadania na wtorek. Przedmiot: Matematyka / Liceum 1 rozwiązanie autor: mania1992 24.4.2010 (13:10)

Podobne materiały

Przydatność 70% Rozbicie dzielnicowe w Polsce - proba bilansu.

Rozbiciem dzielnicowym w Polsce nazywamy okres,trwający mniej wiecej od roku 1138 aż do 1320, czyli wstąpienia na tron Władysława Łokietka.Charakteryzował się poważnym rozprężeniem i brakiem inicjatywy w dążeniu do zjednoczenia narodu pod jednym sztandarem. Jak bardzo wpłynęło to na rozwój naszego kraju, i na ile ten wpływ był korzystny (lub nie) postaram się pokazać....

Przydatność 80% Pierwsza pomoc - pomoc przedmedyczna

Pierwsza Pomoc Przedmedyczna Pierwsza pomoc przedmedyczna to czynności ratownika (osoby udzielającej pierwszą pomoc) prowadzące do zabezpieczenia i utrzymania przy życiu osoby poszkodowanej, do czasu przyjazdu wykwalifikowanych służb. Etapy pierwszej pomocy 1. ocena sytuacji 2. zabezpieczenie miejsca zdarzenia 3. ocena stanu poszkodowanego 4. wezwanie pomocy - 999 ? Pogotowie...

Przydatność 60% Powstania narodowe końca XVIII i XIX wieku-proba bilansu.

Dzisiaj przeżyjemy kolejną przygodę z historią wgłębiając się w istotę powstań polskich z końca XVIII i XIX wieku. Przejdziemy przez wiele pól bitew, będziemy na niejednym tajnym zebraniu sił powstańczych, przyjrzymy się niejednemu przywódcy powstań a na koniec postaramy się dokonać bilansu tych walk, aby stwierdzić, co było złe, jak wyglądały walki, czy i jak zostały...

Przydatność 50% Pierwsza pomoc

UDZIEANIE PIERWSZEJ POMOCY POSZKODOWANYM RANY Rany należą do najczęszczych uszkodzeń urazowych i w większości powstają w następstwie nieszczęśliwych wypadków. Niektóre zranienia wymagają natychmiastowego opatrzenia z uwagi na stan zagrożenia życia. Inne natomiast nie zagrażają życiu, wymagają jedynie doraźnej pomocy, co wcale nie znaczy, że można je lekceważyć....

Przydatność 55% Pierwsza pomoc

PIERWSZA POMOC TELEFONY ALARMOWE numer pogotowia ratunkowego: 999numer telefonu alarmowego telefonii komórkowej: 112 Wzywając pogotowie ratunkowe należy podać krótkie i konkretne informacje o stanie chorego. Powinny zawierać informacje takie jak:- krótki opis zdarzenia,- jaki czas minął od zdarzenia,- aktualny stan chorego: a) czy oddycha, b) czy ma tętno na tętnicy szyjnej,...

0 odpowiada - 0 ogląda - 1 rozwiązań

Dodaj zadanie

Zobacz więcej opcji