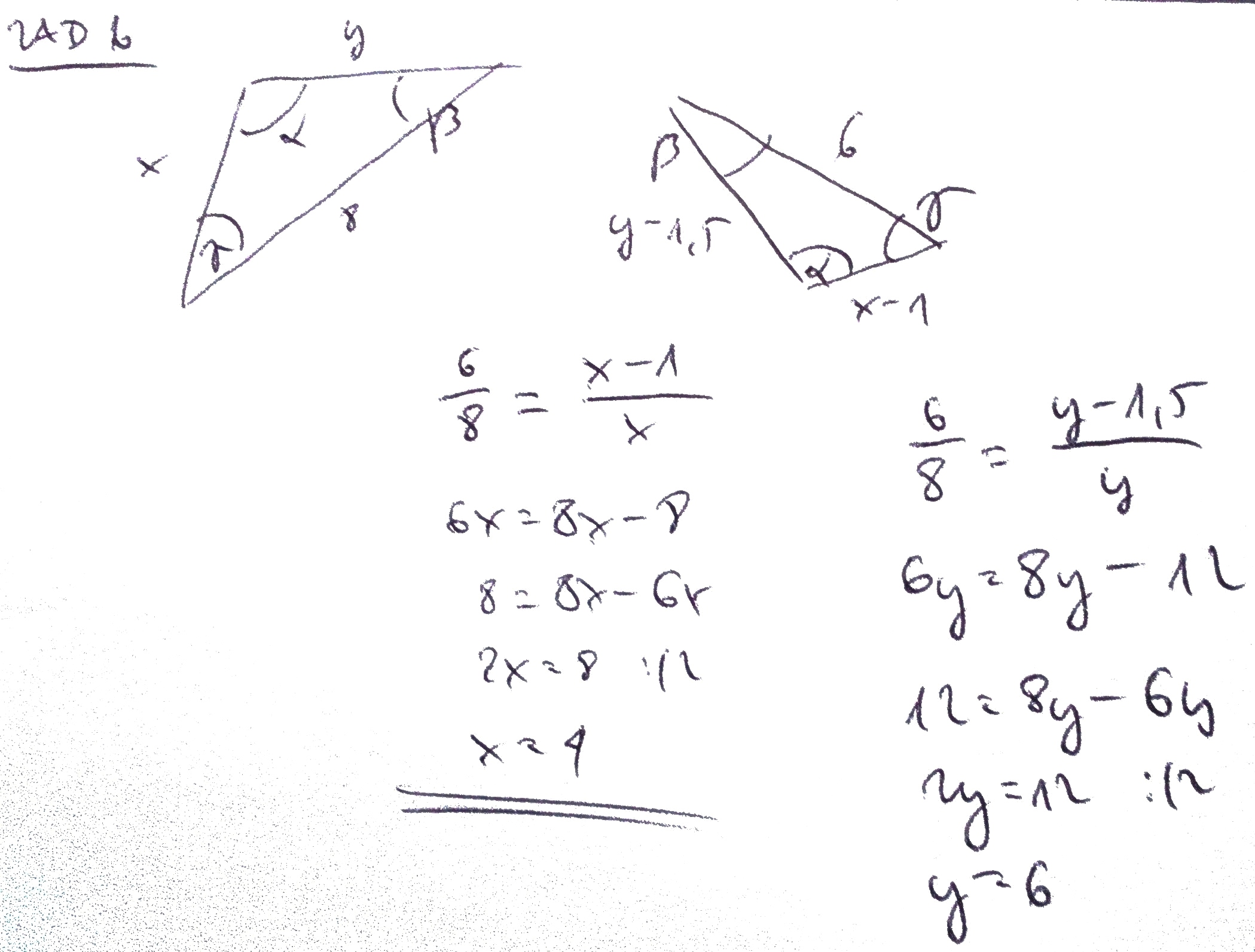
Treść zadania

karolcia98739

pomocy!!!!

Zgłoś nadużycie

Komentarze do zadania

  • pozostałe zadanie zamiesc i powiedz co znaczy "tylda"

  • ~ oznacza podobny czy przybliżenie?

Zadanie jest zamknięte. Autor zadania wybrał już najlepsze rozwiązanie lub straciło ono ważność.

Rozwiązania

Podobne zadania

bombecka88 Zadanie matematyka pomocy Przedmiot: Matematyka / Liceum 1 rozwiązanie autor: bombecka88 14.4.2010 (11:45)
mania1408-k1 Zadanie matematyka pomocy-pola trójkątów podobnych. Przedmiot: Matematyka / Liceum 1 rozwiązanie autor: mania1408-k1 14.4.2010 (12:58)
mania1408-k1 Zadanie matematyka pomocy-pola trójkątów podobnych. Przedmiot: Matematyka / Liceum 1 rozwiązanie autor: mania1408-k1 14.4.2010 (13:00)
malenstwo3118 pomocy!!!!!! Przedmiot: Matematyka / Liceum 2 rozwiązania autor: malenstwo3118 15.4.2010 (19:53)
lilix błagam pomocy!!!!!!!! Przedmiot: Matematyka / Liceum 1 rozwiązanie autor: lilix 15.4.2010 (21:13)

Podobne materiały

Przydatność 75% Łańcuch pomocy

1. Ocena, zabezpieczenie miejsca wypadku • Rozpoznanie (co się wydarzyło i co może się jeszcze wydarzyć) • Jakie są zagrożenia ( dla ratującego, poszkodowanych i świadków zdarzenia) • Zabezpieczenie m-ca wypadku aby zapobiec kolejnym nieszczęśliwym zdarzeniom • Zebrać informacje od świadków 2. Ocena ilości i stanu poszkodowanych • Ilu jest poszkodowanych...

Przydatność 50% Stowarzyszenia Pomocy

Nazwa: stowarzyszenie Pomocy Nieletnim Narkomanom Siedziba: ul. Szpitalna 276 Piekary Śląskie Teren Działania: ogólnopolski Osoba reprezentująca: psycholog Karolina Nowak (dane fikcjne) Cele działania: -swiadczenie wszechstonnej pomocy młodzieży, która nie potrafi sobie poradzić z "używkami" -pokrywanie w miarę posiadanych środków kosztów leczenia i badać...

Przydatność 50% Pomagajmy kiedy wołają pomocy

Wielkim problemem naszego społeczeństwa, nie dostrzegalnym przez niektórych, są samobójstwa. Czasami wydaje się, że problem ten nas nie dotyczy, lecz to nieprawda, bo ta tragedia, może spotkać nas, lub naszych bliskich, w momencie, w którym najmniej będziemy się tego spodziewać. Z danych Światowej Organizacji Zdrowia i Międzynarodowego Stowarzyszenia Zapobiegania Samobójstwa...

Przydatność 75% Zadania ośrodka pomocy społecznej

Pomoc społeczna polega w szczególności na: 1. przyznawaniu i wypłacaniu przewidzianych ustawą świadczeń; 2. pracy socjalnej; 3. prowadzeniu i rozwoju niezbędnej infrastruktury socjalnej; 4. analizie i ocenie zjawisk rodzących zapotrzebowanie na świadczenia z pomocy społecznej; 5. realizacji zadań wynikających z rozeznanych potrzeb społecznych; 6. rozwijaniu nowych form...

Przydatność 75% Apteczka pierwszej pomocy

APTECZKA PIERWSZEJ POMOCY Apteczka pierwszej pomocy jest zestawem leków , środków opatrunkowych, a także niektórych przyborów i narzędzi lekarskich. Umieszczona w odpowiednim miejscu. Powinna być umieszczona w szafce lub odpowiedniej walizeczce oznakowanej czerwonym krzyżem. Apteczkę musi znajdować się w miejscu łatwo osiągalnym, ale niedostępnym dla dzieci. Powinna zawierać...

0 odpowiada - 0 ogląda - 1 rozwiązań

Dodaj zadanie

Zobacz więcej opcji