Treść zadania

~Kasumii

Błagam pomocy... MATeMAtyka klasa 2 poziom podstawowy.
Jeśli ktoś ma książkę to będzie łatwiej. Temat : potęga o wykładniku wymiernym. Zadanie 4 / 74 powtórzenie
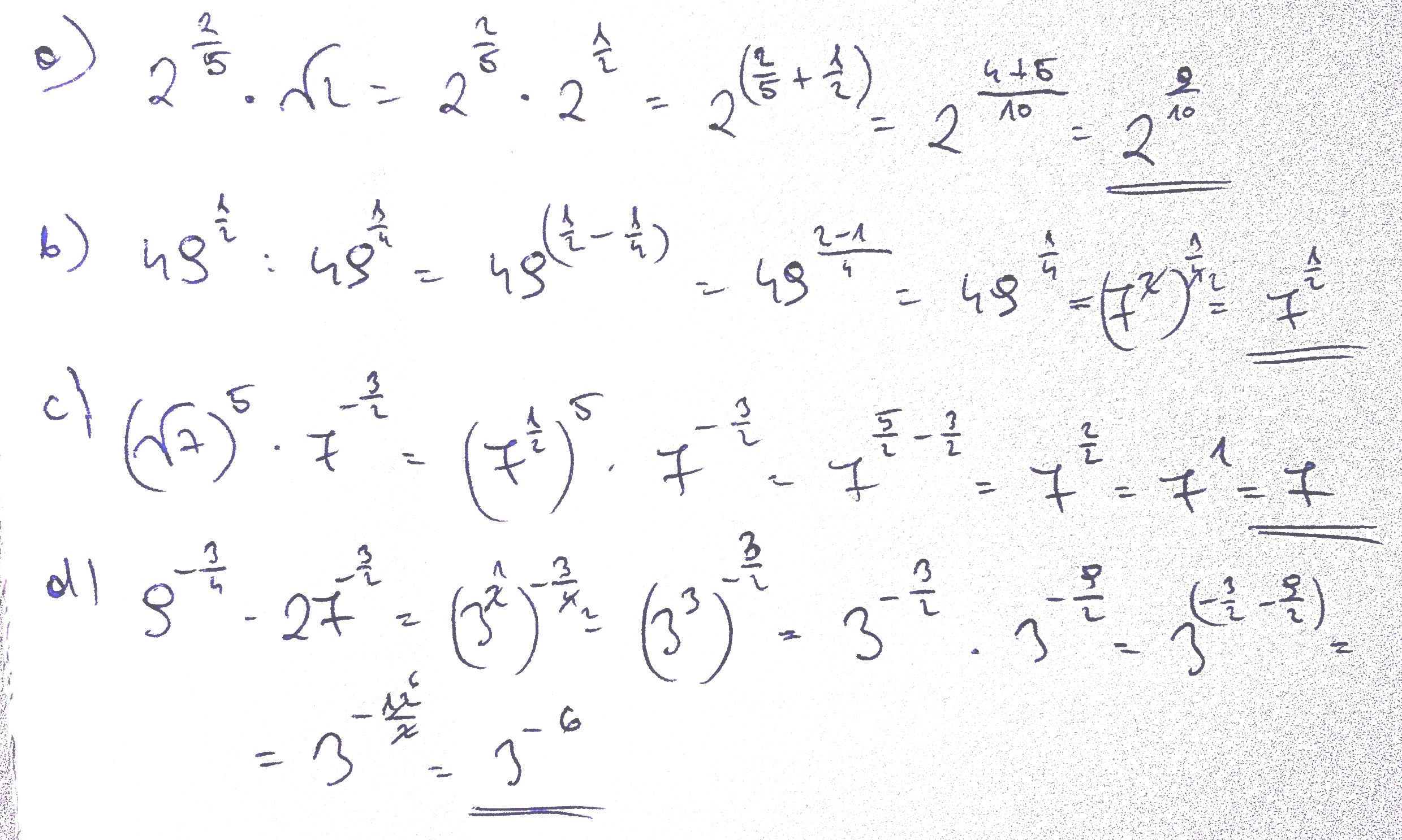
a) 2^2/5 * √2 b) 49^½ : 49^¼ c) √7^5 * 7^-3/2. d) 9^-¾ * 27^-3/2
I KOLEJNE ZADANIE : TEMAT : POTĘGA O WYKŁADNIKU RZECZYWISTYM. ZADANIE 2/77 POWTÓRZENIE.
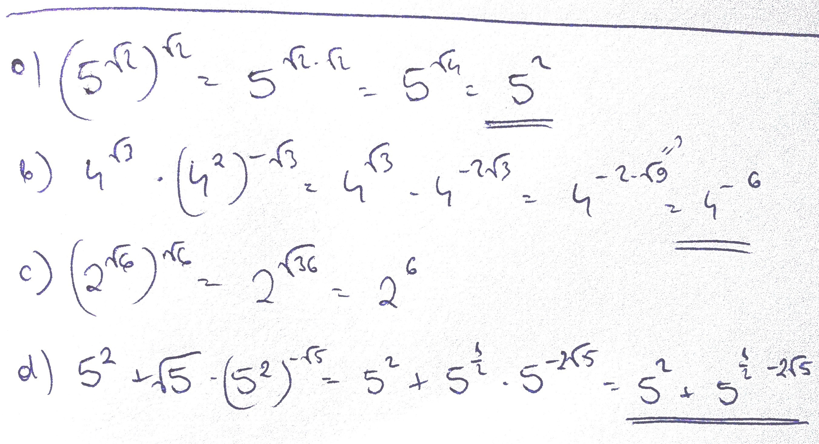
a) (5^√2)^√2. b) 4^√³ * 4²^-√³ c) (2^√6)^√6. d) 5²+√5 *5²^-√5.
e) 3^√27 : 3³^√3. f) 7⁴+²√² : 7²^+√8




^ - POTĘGA. 3/2 - TRZY DRUGICH ITP
Daje przykład : f) chodzi o 7 do potęgi 4 + potęga 2√2

Zadanie jest zamknięte. Autor zadania wybrał już najlepsze rozwiązanie lub straciło ono ważność.

Rozwiązania

Podobne zadania

moniaa91 Matematyka- Walec Przedmiot: Matematyka / Liceum 1 rozwiązanie autor: moniaa91 29.3.2010 (21:21)
bombecka88 Zadanie matematyka pomocy Przedmiot: Matematyka / Liceum 1 rozwiązanie autor: bombecka88 14.4.2010 (11:45)
mania1408-k1 Zadanie matematyka pomocy-pola trójkątów podobnych. Przedmiot: Matematyka / Liceum 1 rozwiązanie autor: mania1408-k1 14.4.2010 (12:58)
mania1408-k1 Zadanie matematyka pomocy-pola trójkątów podobnych. Przedmiot: Matematyka / Liceum 1 rozwiązanie autor: mania1408-k1 14.4.2010 (13:00)
malenstwo3118 pomocy!!!!!! Przedmiot: Matematyka / Liceum 2 rozwiązania autor: malenstwo3118 15.4.2010 (19:53)

Podobne materiały

Przydatność 50% Własności materii 2 klasa l.o. poziom podstawowy

Ruch drgający prosty (harmoniczny) – wychyla się pod wpływem sprężystości, a wychylenie w tym ruchu zmienia się sinusoidalnie. RYS1. F= -k * x. Równanie ruchu drgającego: x = A*sin*w*t (x-wychylenie z położenia równowagi w dowolnej chwili, A – amplituda, w – szybkość kątowa (w=2PI/T; w=2Pif), f- częstotliwość [Hz], T – okres [s]), czyli x=Asin2PIft. WYKRES Ciało...

Przydatność 50% Budowa wnętrza Ziemi i procesy wewnętrzne - poziom podstawowy

Litosfera - jest to zewnetrzna i najbardziej sztywna warstwa Ziemii sięgająca od 80 do 150 km. Budowa wętrza Ziemii Litosfera (80-150 km) dzieli sie na warstwę granitową i bazaltową. Astenosfera - półpłyna masa skalna z której wydobywa się magma Płaszcz ziemski (zewnetrzny - w nim dochodzi do róchów konwekcyjnych w wyniku rozkurczania sie czasteczek, wewnętrzny) 2900 km Jądro...

Przydatność 65% Lista lektur obowiązujących na nowej maturze na poziom podstawowy i rozszerzony.

1."Król Edyp" Sofoklesa 2. Wybór pieśni Horacego 3. Bogurodzica 4."Boska Komedia" Dantego (fragmenty Piekła) 5. Treny Jana Kochanowskiego 6. Pieśni Jana Kochanowskiego 7. "Makbet" Wiliama Szekspira 8. Wybór wierszy Jana Andrzeja Morsztyna 9. Wybór wierszy Daniela Naborowskiego 10. Wybór wierszy Wacława Potockiego 11. "Świętoszek" Moliera 12. Wybór satyr Ignacego...

Przydatność 75% Łańcuch pomocy

1. Ocena, zabezpieczenie miejsca wypadku • Rozpoznanie (co się wydarzyło i co może się jeszcze wydarzyć) • Jakie są zagrożenia ( dla ratującego, poszkodowanych i świadków zdarzenia) • Zabezpieczenie m-ca wypadku aby zapobiec kolejnym nieszczęśliwym zdarzeniom • Zebrać informacje od świadków 2. Ocena ilości i stanu poszkodowanych • Ilu jest poszkodowanych...

Przydatność 50% Stowarzyszenia Pomocy

Nazwa: stowarzyszenie Pomocy Nieletnim Narkomanom Siedziba: ul. Szpitalna 276 Piekary Śląskie Teren Działania: ogólnopolski Osoba reprezentująca: psycholog Karolina Nowak (dane fikcjne) Cele działania: -swiadczenie wszechstonnej pomocy młodzieży, która nie potrafi sobie poradzić z "używkami" -pokrywanie w miarę posiadanych środków kosztów leczenia i badać...

0 odpowiada - 0 ogląda - 1 rozwiązań

Dodaj zadanie

Zobacz więcej opcji