Treść zadania

Martyna14200

Bardzo proszę o pomoc. Potrzebuję tego na dzisiaj. Z góry dziękuję :)

Zad 1 Rozwiąż równanie :
7-x/3 = x+1/7

Zad.2 Usuń niewymierność z mianownika
-√2/5√7 =

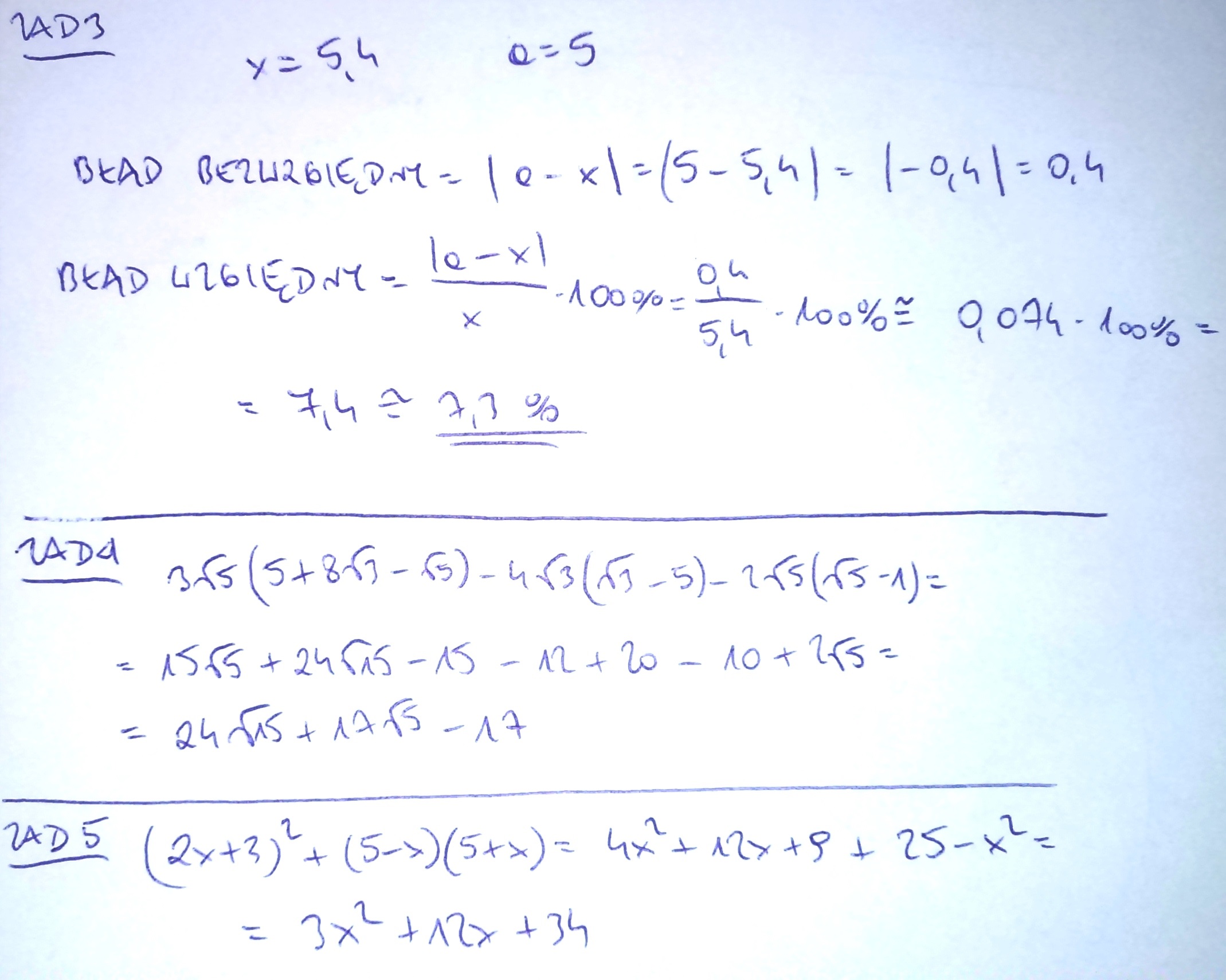
Zad 3 Liczba a = 5 jest zaokrągleniem liczby x=5,4. Oblicz błąd bezwzględny i błąd względny z dokładnością do 0,3 %

Zad4 Oblicz
3√5(5+8√3-√5)-4√3(√3-5)-2√5(√5-1) =

Zad 5 Uprość wyrażenie
(2x+3)²+(5-x) (5+x) =

Zad 6 Oblicz
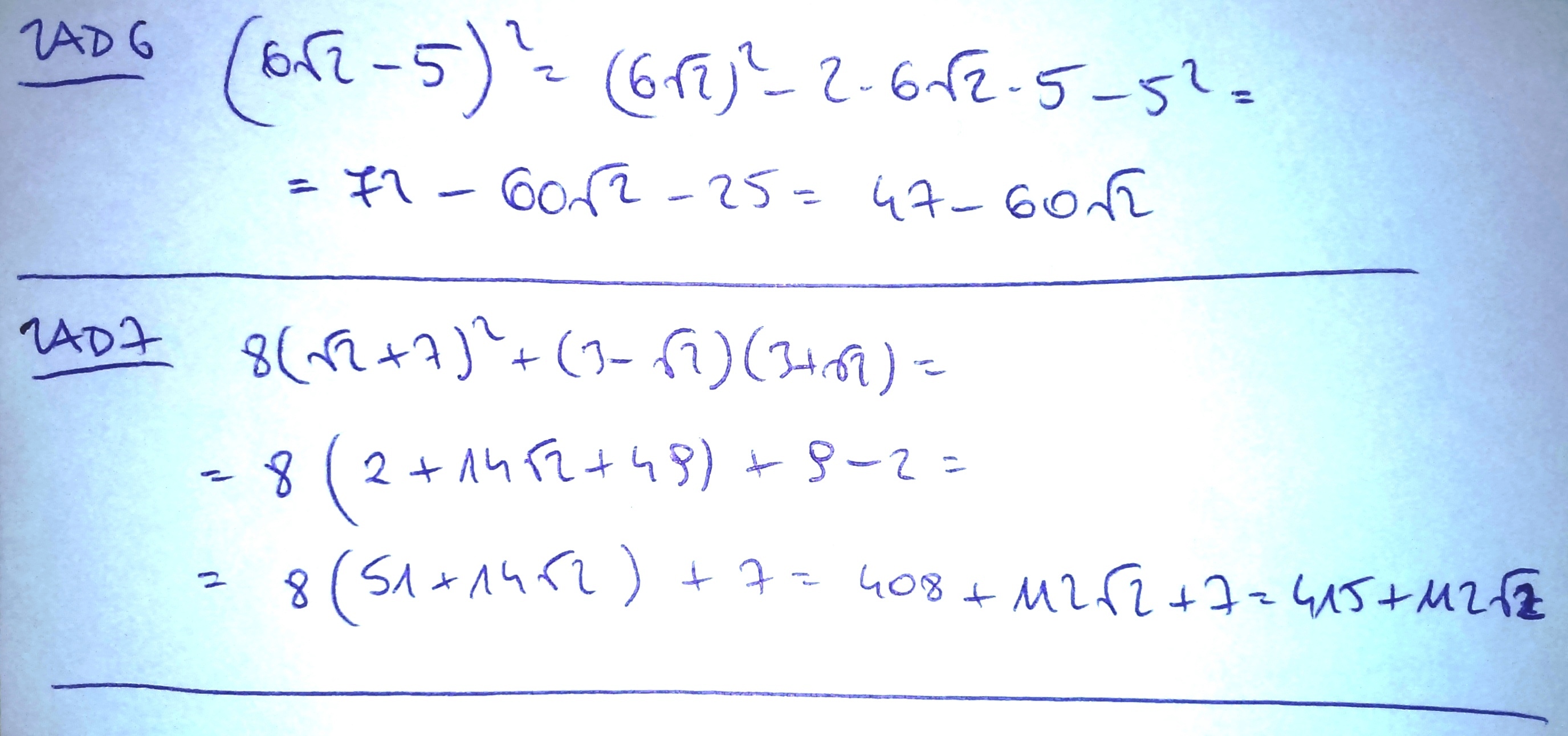
(6√2-5)² =

Zad7. Oblicz
8(√2+7)²+(3-√2) (3+√2) =

Zadanie jest zamknięte. Autor zadania wybrał już najlepsze rozwiązanie lub straciło ono ważność.

Najlepsze rozwiązanie

Rozwiązania

Podobne zadania

mania1408-k1 proszę o pomoc zadania na jutro. Przedmiot: Matematyka / Liceum 2 rozwiązania autor: mania1408-k1 13.4.2010 (16:43)
mania1408-k1 proszę o pomoc zadania na jutro. Przedmiot: Matematyka / Liceum 1 rozwiązanie autor: mania1408-k1 13.4.2010 (16:49)
kleopatra_1992 Obliczenie boków trójkąta oraz miar kątów ostrych tego trójkąta. Przedmiot: Matematyka / Liceum 1 rozwiązanie autor: kleopatra_1992 16.4.2010 (19:58)
CyborgR Prosze o pomoc, krotkie zadanie. Przedmiot: Matematyka / Liceum 2 rozwiązania autor: CyborgR 17.4.2010 (18:13)
mala53 Bardzo proszę o pomoc! Przedmiot: Matematyka / Liceum 1 rozwiązanie autor: mala53 19.4.2010 (11:00)

Podobne materiały

Przydatność 65% Człowiek potrzebuje wiary – człowiek potrzebuje Boga

Motto: „Człowiek potrzebuje wiary – człowiek potrzebuje Boga.” Szanowni zebrani, koleżanki i koledzy chciałbym dzisiaj wypowiedzieć się na temat potrzeby wiary a w szczególności wiary w Boga. Trudno nawet dokładnie zdefiniować kim jest Bóg? Wiemy, że podobno jest dobry, sprawiedliwy, miłosierny, ale czy On naprawdę jest? Żeby żyć musimy oddychać, jeść, pić,...

Przydatność 75% Czy człowiek potrzebuje zmian?

Czy człowiek potrzebuje zmian? Otóż uważam, że owszem. Ludzie, gdy nie zmieniają się, swojego stylu ubierania się, pracy, otoczenia, czy miejsca zamieszkania, mają wrażenie, iż nie rozwijają się. Często boimy się zmian, tego, że gdy już się na nie zdecydujemy, to okaże się ona zmianą na gorsze. Fakt, że ktoś staje się inny lub coś staje inne niż dotychczas przeraża...

Przydatność 60% Każdy potrzebuje przyjaciela - rozprawka

W mojej pracy rozważę tezę dotyczącą tematu : Każdy potrzebuje przyjaciela. Jest to zagadnienie, które jest problemem mojej dzisiejszej rozprawki. Według mnie twierdzenie, że każdy potrzebuje przyjaciela jest prawdą. Wszystko co człowiek robi z przyjacielem jest przyjemnością. Przytoczę kilka argumentów aby potwierdzić swoją tezę: Rozpocznę od najważniejszego dla mnie...

Przydatność 55% Kochanowski dzisiaj.

Jan Kochanowski uważany jest za największego poetę polskiego renesansu. Chyba każdy wie, iż to właśnie on pisał "Fraszki" i "Pieśni", że to spod jego pióra wyszedł zbiór dziewiętnastu "Trenów" ku pamięci Urszuli, większość Polaków zna, choćby ogólną, problematykę "Odprawy posłów greckich". Czy jednak ten fakt ma jakiś większy...

Przydatność 50% Czy współczesny świat potrzebuje Judymów.

Doktor medycyny( chirurg). Idealista walczący o dobro najbiedniejszych. Człowiek, który zdobył swoje wykształcenie z ogromnym trudem i dzięki ogromnej sile woli. Samotnik z wyboru. Taki właśnie pragnął być Stefan Żeromski- pragnął mieć wybór. Uniemożliwiła mu to choroba. Zmuszony do opuszczenia szkoły, zmuszony do odstąpienia od swojej pierwszej prawdziwej miłości...

0 odpowiada - 0 ogląda - 1 rozwiązań

Dodaj zadanie

Zobacz więcej opcji