Treść zadania
Autor: ~magdamaggier Dodano: 6.6.2016 (16:57)
1.Który z przedziałów liczbowych jest rozwiązaniem 4x-7>10x+11
a. (-7,nieskończoność)
b.-3,+nieskończoność)
c.(-nieskończoność,3)
d.(-nieskończoność,-3)
2.Prawda czy fałsz
a.długość odcinka którego końce mają współrzęne 8-(2,-5) i 7-(-6,5) wynosi 2,41
b.środek odcinka którego końce mają współrzędne A=(-9,8) I B=(7,6) ma współrzędne (0,5;7)
3.Uzupełni luki w poniższych równaniach:
a.Rozwiązaniem równania 5x-8-9x+12 jest liczba.................
b.Zbiór rozwiązań nierówności 4(x-5)>2(x-9) to przedział liczbowy.................
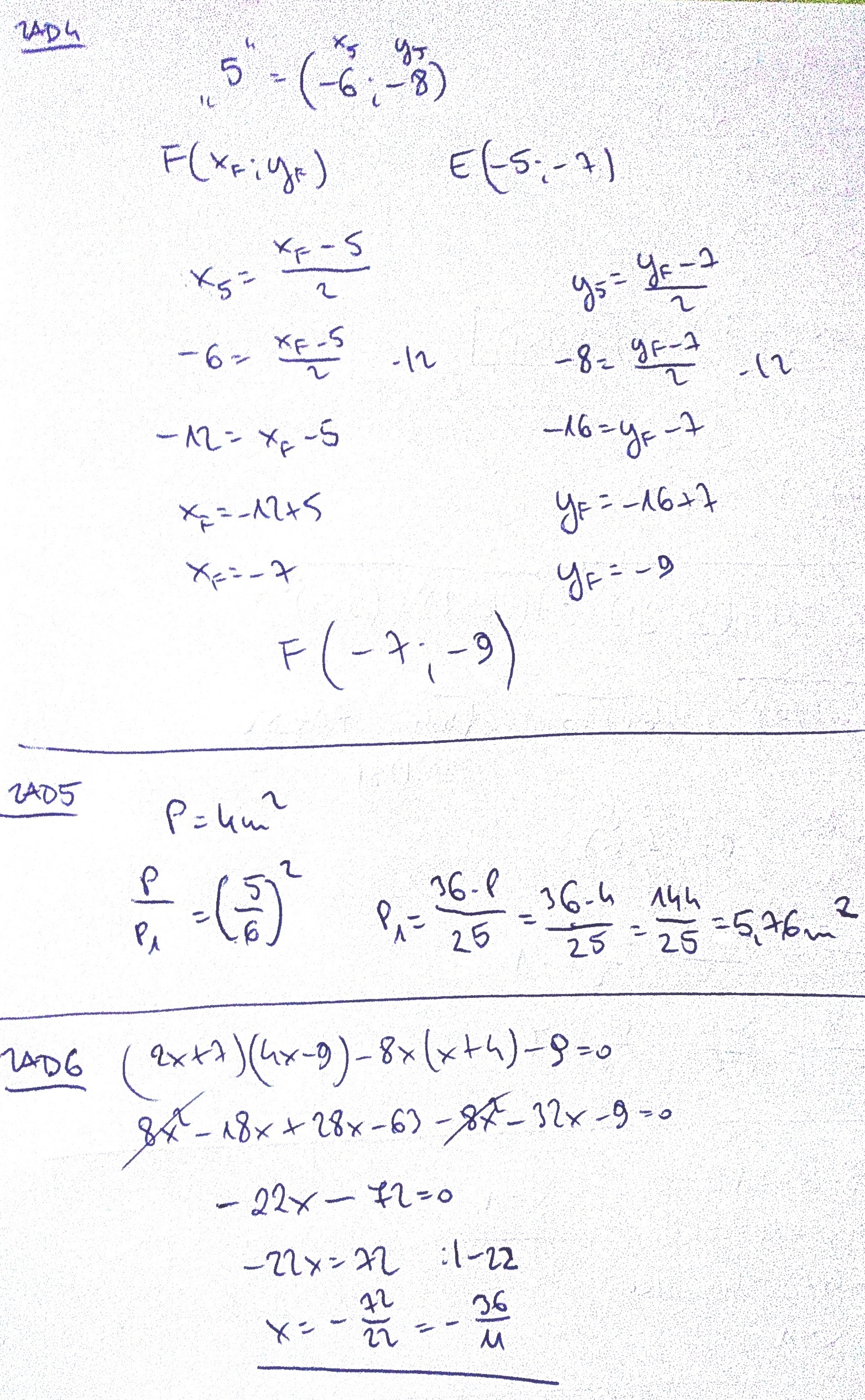
4.Dany jest odcinek EF którego środek to punkt 5 o współrzędnych(-6,-8).Oblicz współrzędne punktu F, wiedząc że punkt E ma współrzędne(-5,-7).Udziel pisemnej odpowoedzi.
5.Wielokąt o polu P=4m kwadrat jest podobny do wielokąta o polu P1 w skali 5/6 .Oblicz pole wielokąta o polu P1.Udziel pisemnej odpowiedzi.
6.Rozwiąż ruwnanie(2x+7)(4x-9)-8x(x+4)-9 i udziel pisemnej odpowiedzi.
Zadanie jest zamknięte. Autor zadania wybrał już najlepsze rozwiązanie lub straciło ono ważność.
Rozwiązania
Podobne zadania
|
|
1 rozwiązanie | autor: pawel 24.3.2010 (16:28) |
|
|
2 rozwiązania | autor: MartaGrzeszczak1 29.3.2010 (17:43) |
|
|
1 rozwiązanie | autor: lusi1069 30.3.2010 (16:42) |
|
|
1 rozwiązanie | autor: gosiaczek90 7.4.2010 (19:15) |
|
|
1 rozwiązanie | autor: aluszacedro 12.4.2010 (15:17) |
Podobne materiały
Przydatność 60% Obliczanie granic ciągów liczbowych
Obliczanie granic ciągów liczbowych
0 odpowiada - 0 ogląda - 2 rozwiązań
1 0
antekL1 7.6.2016 (10:08)
1.
4x-7 > 10x+11
-18 > 6x
x < -3 czyli odp. c.
2.
a)
Nie rozumiem zapisu
b)
x_środka = (7 - 9) / 2 = -1 ; [ liczymy średnią arytmetyczną współrzędnych x punktów A, B ]
To wystarczy do stwierdzenia, że zdanie (b) jest fałszywe
3.
a.Sprawdź zapis. To nie jest równanie
b.Zbiór rozwiązań nierówności 4(x-5)>2(x-9) to przedział liczbowy (1; +oo)
ponieważ:
4(x-5) > 2(x-9) ; wymnażamy nawiasy
4x - 20 > 2x - 18 ; przenosimy
2x > 2 ; dzielimy przez 2
x > 1
4.
Środek odcinka EF ma współrzędne równe średniej arytmetycznej wsp. punktów E i F.
Dlatego, po oznaczeniu punktu F jako F = (x,y)
-6 = (-5 + x) / 2 ; stąd x = -7
-8 = (-7 + y) / 2 ; stąd y = -9. Punkt F ma współrzędne (- 7; - 9)
5. [ Czytaj proszę ^2 jako "do kwadratu" ]
Jeśli figury są podobne w skali k, to ich pola są w stosunku k^2.
Wymiary wielokąta o polu P1 są 6/5 razy (odwrotność 5/6) większe od wymiarów wielokąta o polu P, więc
P1 = (6/5)^2 * P = (6/5)^2 * 4 = 5,76 m^2
6.
Sprawdź zapis. To nie jest równanie.
Dodawanie komentarzy zablokowane - Zgłoś nadużycie
1 0
werner2010 7.6.2016 (10:34)
rozwiązanie na zdjęciach :)
Załączniki
Dodawanie komentarzy zablokowane - Zgłoś nadużycie