Zadanie jest zamknięte. Autor zadania wybrał już najlepsze rozwiązanie lub straciło ono ważność.
Najlepsze rozwiązanie
Rozwiązania
Podobne zadania
|
|
2 rozwiązania | autor: MartaGrzeszczak1 29.3.2010 (17:43) |
|
|
2 rozwiązania | autor: nikola29 15.4.2010 (19:01) |
|
|
1 rozwiązanie | autor: lukaszunkile 18.4.2010 (16:16) |
|
|
1 rozwiązanie | autor: krystian2409 26.4.2010 (15:43) |
|
|
1 rozwiązanie | autor: marcysia 19.5.2010 (10:45) |
Podobne materiały
Przydatność 65% List, w którym wyznacze cele na nowy rok szkolny.
Przysietnica 02.09.2009 Angeliko! Pierwszego września rozpoczęłam nowy rok szkolny. Pamiętam, że jest to dzień szczególny, także z powodu siedemdziesiątej rocznicy wybuchu II Wojny Światowej. Wiem, że wtedy wiele dzieci ie mogło...
Przydatność 60% Idea wzoru do naśladowania - władcy na podstawie "Kroniki" Galla Anonima.
Na początek słów kilka o autorze naszej (polskiej) kroniki. A więc Gall Anonim jest postacią definitywnie tajemniczą. Współcześni wiedzą o nim tylko tyle iż przybył do polski z Galii i był prawdopodobnie mnichem o czym świadczy jego wykształcenie( potrafił pisać). Dlatego pseudonim tego pisarza brzmi właśnie Gall-bo pochodził z Galli i Anonim-bo nie miał imienia. W...
0 odpowiada - 0 ogląda - 1 rozwiązań
1 0
werner2010 7.6.2016 (02:05)
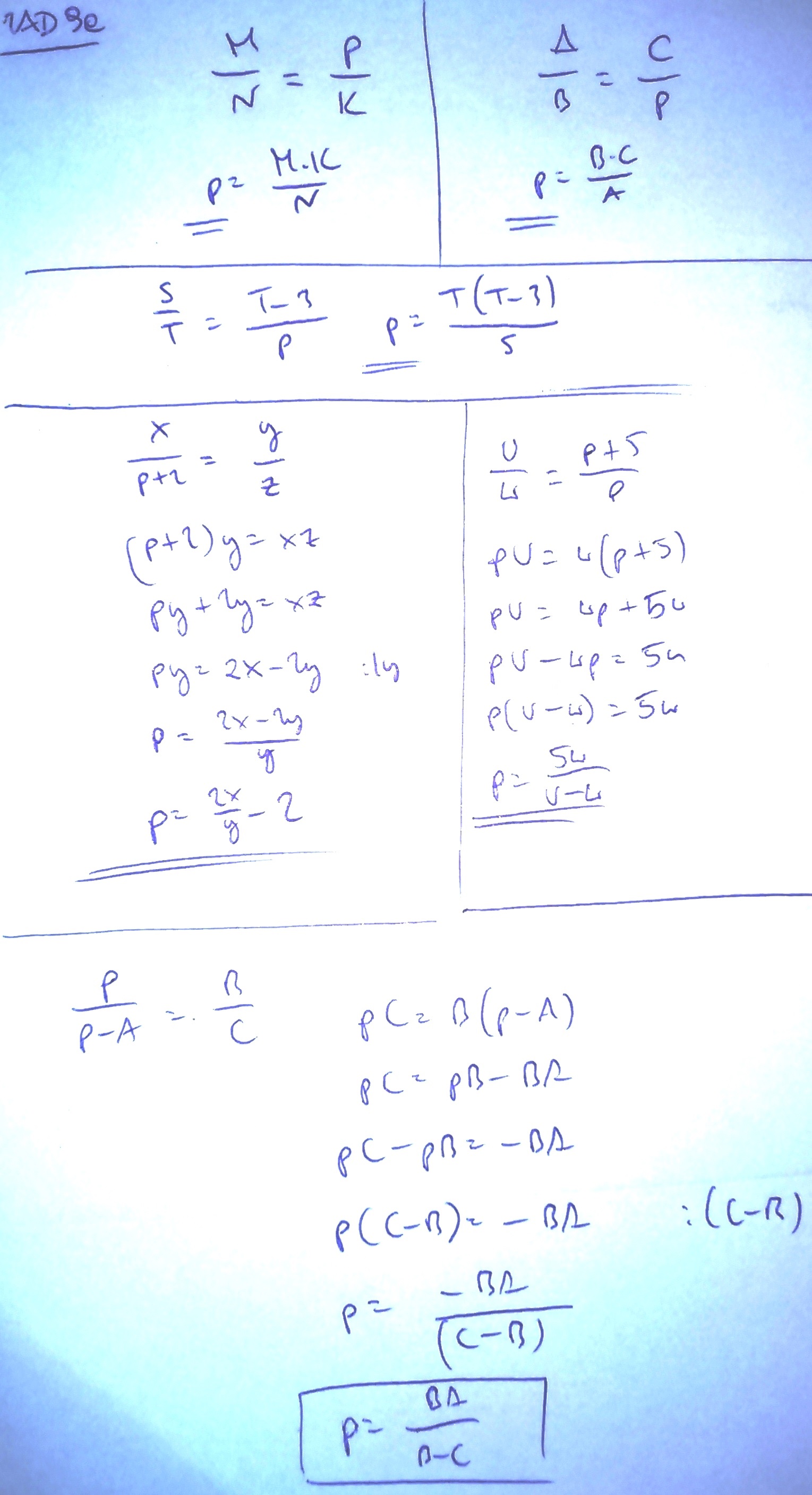
rozwiązanie na zdjęciu
Załączniki
Dodawanie komentarzy zablokowane - Zgłoś nadużycie