Treść zadania

Martyna14200

Bardzo proszę o pomoc w rozwiązaniu zadań . Potrzebuję tego na jutro.

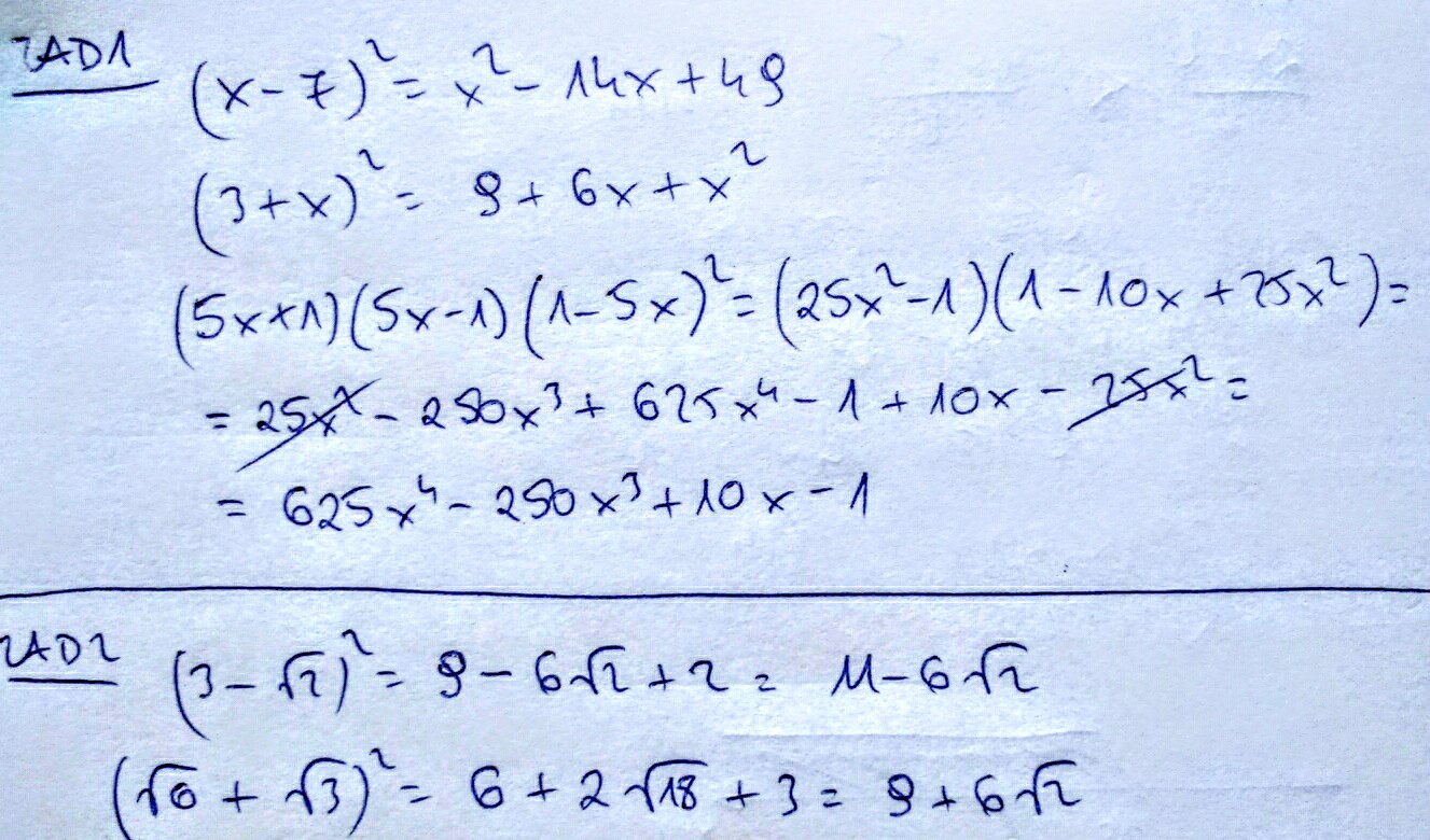
1. Zapisz w postaci sumy algebraicznej :
(x-7)² =
(3+x)² =
(5x+1) (5x-1) (1-5x)² =

2. Oblicz :
(3-√2)² =
(√6+√3)²=

3. Rozwiąż równanie :
a ) 4(3x-7) 4(3x-7)-2(5x-4)= - 8
b) 2-x/ 5 = x+1 /2

4. Rozwiąż nierówność , zaznacz na osi liczbowej zbiór rozwiązań nierówności i zapisz go w postaci przedziału 2x-2/7 < 4x+5/2

5. Usuń niewymierność z mianownika.
a ) √2 /3√5 =
b) 3√3/ 2-3√3 =

6. Dana liczba a=7 jest zaokrągleniem liczby x=7,6 . Oblicz błąd bezwzględny i błąd względny z dokładnością do 0,1%

7. Oblicz :
5(3+2√7 +√5) -√5(√5-5) -3√7 (√7-6) =

8. Uprość wyrażenie :
(3x-1)² + (2-x) (2+x) =

9. Oblicz
(3√2-4)² =

10 . Oblicz
(√2 +3)²+(5-√2) (5+√2) =

Zadanie jest zamknięte. Autor zadania wybrał już najlepsze rozwiązanie lub straciło ono ważność.

Najlepsze rozwiązanie

Rozwiązania

Podobne zadania

mania1408-k1 proszę o pomoc zadania na jutro. Przedmiot: Matematyka / Liceum 2 rozwiązania autor: mania1408-k1 13.4.2010 (16:43)
mania1408-k1 proszę o pomoc zadania na jutro. Przedmiot: Matematyka / Liceum 1 rozwiązanie autor: mania1408-k1 13.4.2010 (16:49)
adambarte Proszę na jutro!plz Przedmiot: Matematyka / Liceum 2 rozwiązania autor: adambarte 15.4.2010 (23:40)
kleopatra_1992 Obliczenie boków trójkąta oraz miar kątów ostrych tego trójkąta. Przedmiot: Matematyka / Liceum 1 rozwiązanie autor: kleopatra_1992 16.4.2010 (19:58)
CyborgR Prosze o pomoc, krotkie zadanie. Przedmiot: Matematyka / Liceum 2 rozwiązania autor: CyborgR 17.4.2010 (18:13)

Podobne materiały

Przydatność 60% Renesans bardzo ogolnie.

Renesans, inaczej odrodzenie – jest to epoka w dziejach kultury europejskiej, trwająca od XV do XVI wieku (we Włoszech już od XIV wieku. Termin „odrodzenie został użyty po raz pierwszy przez Vasariego w celu scharakteryzowania tendencji w malarstwie włoskim. Literatura – Głównym prądem renesansu był humanizm. Wśród dziedzin sztuki uprzywilejowane miejsce wyznaczono sztuce....

Przydatność 80% Elektronika cyfrowa (BARDZO OBSZERNY MATERIAŁ)

ELEKTRONIKA CYFROWA W załączniku znajduje się obszerny materiał dotyczączy elektroniki cyfrowej - poniżej spis treści. SPIS TREŚCI 1. WPROWADZENIE 1.1. Systemy liczbowe 1.1.1. Dziesiętny system liczbowy 1.1.2. Dwójkowy system liczbowy 1.1.3. Szesnastkowy system liczbowy 1.2. Kody 2. PODSTAWOWE FUNKCJE LOGICZNE I FUNKTORY UKŁADÓW LOGICZNYCH 2.1. Wstęp 2.2....

Przydatność 70% Komuniakcja niewerbalna - bardzo dobra praca

„...Wykształcenie zdobywa się czytając książki, ale inne, ważniejsze wykształcenie - znajomość świata – zdobywa się tylko dzięki czytaniu ludzi i studiowaniu ich różnych wydań...” Lord Chesterfield „Listy do syna” Komunikacja niewerbalna istnieje już ponad milion lat. Jest więc znacznie starsza od mowy, powstałej prawdopodobnie w późnym plejstocenie, ok....

Przydatność 65% Historia - Renesans - bardzo podstawowe informacje.

Te podstawowe informacje wystarczyły abym uzyskała pozytywną ocenę - 5 Przyczyny wypraw geograficznych: Polityczne : Zdobycie przez Turków Konstantynopola Spory pomiędzy Portugalią a Kastylią o znaczenie i wzmocnienie państwa na arenie międzynarodowej Społeczne: Sukcesja feudalna: najstarszy z braci odziedzicza całą ziemię natomiast młodsi musza jakoś się...

Przydatność 50% Hydrologia bardzo dokładne opracowanie tematu.

Transpiracja- odparowywanie wody za pośrednictwem ciała organizmów, jej parowanie z powierzchni liści roślin, skóry i płuc zwierząt. Obieg wody w przyrodzie (cykl hydrologiczny): Pod wpływem ciepła słonecznego powierzchnia mórz i oceanów nieustannie paruje. Woda zmienia stan skupienia i masy pary wodnej mieszają się z powietrzem. Przy dostatecznie dużej wilgotności...

0 odpowiada - 0 ogląda - 1 rozwiązań

Dodaj zadanie

Zobacz więcej opcji