Treść zadania

lolka3154

wyrażenia wymierne, równania i nie równości
pilnie potrzebna pomoc :)

Załączniki do zadania

Zadanie jest zamknięte. Autor zadania wybrał już najlepsze rozwiązanie lub straciło ono ważność.

Najlepsze rozwiązanie

  • 2 0

    Zad. 1.
    a)
    Prawda. Zero w mianowniku jest tylko dla x = 2
    b)
    Prawda. To jest własność funkcji logarytm.
    c)
    Fałsz. Jest równy -2.
    d)
    Prawda. Podnosimy 3 do takiej potęgi do jakiej trzeba, aby dostać 7.
    ==========================

    Zad. 2.
    a)
    Prawda. Mianownik jest zerem dla x = -2 oraz x = 1/2.
    b)
    Fałsz. Licznik zeruje się dla x = plus/minus pierwiastek(7)
    c)
    Prawda. Patrz (b)
    ==========================

    Zad. 3.
    a)
    Kolejno: 2; 6; 1 / pierwiastek(5)
    b)
    = 0 bo mnożymy liczby logarytmowane i mamy log_2 (1) = 0
    c)
    Dzielimy 54 / 2 = 27 i mamy log_3 (27) = 3
    ==========================

    Zad. 4.
    a)
    Dziedzina: R \ { 3}
    Licznik 2x - 1 = 0 ; co daje x1 = 1 / 2

    b)
    Dziedzina: Cały zbiór R
    Ponieważ 16 = 2^4 [ czytaj ^ jako "do potęgi" ] to
    2x = 4 ; stąd:
    x = 2

    c)
    Dziedzina: 3x + 1 > 0 czyli x > - 1/3.
    Ponieważ 2 = log_4 (16) to:
    3x + 1 = 16 ; stąd:
    x = 5
    ==========================

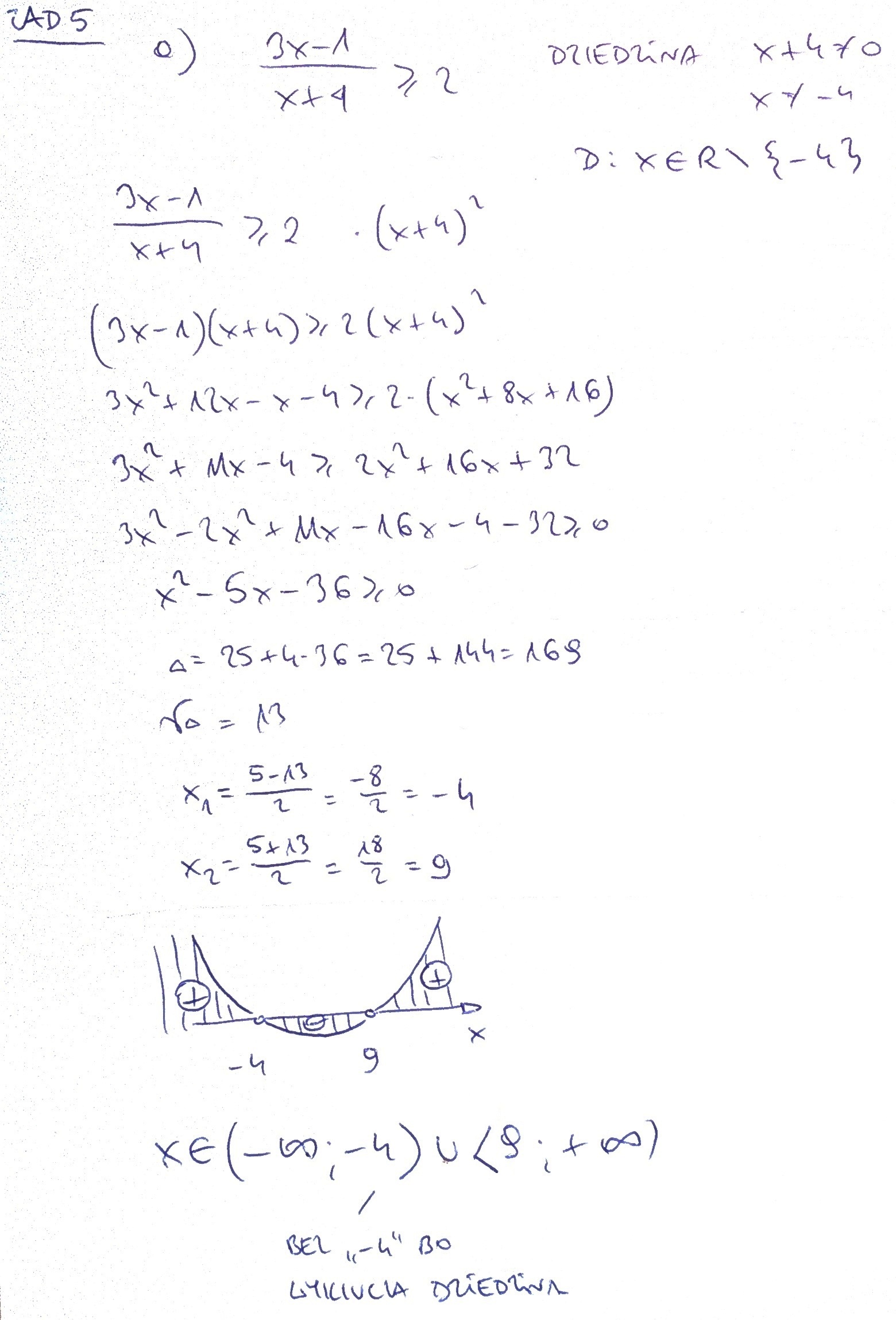
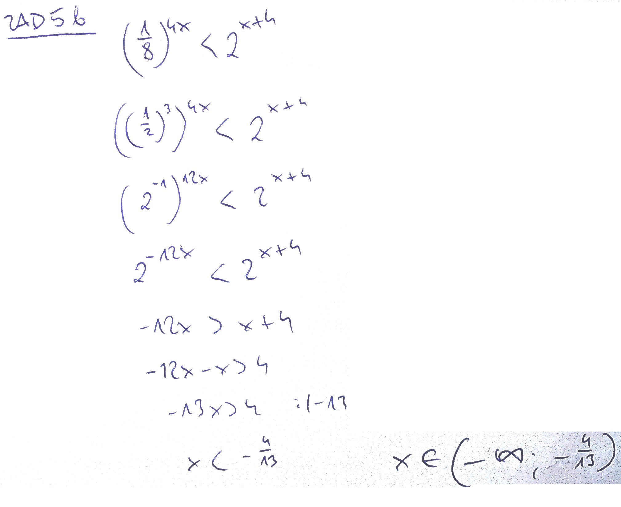
    Zadanie 5 proszę zgłoś oddzielnie bo to dużo pisania, a ten tekst staje się za długi.
    W razie pytań pisz proszę na priv.

Rozwiązania

Podobne zadania

mania1408-k1 proszę o pomoc zadania na jutro. Przedmiot: Matematyka / Liceum 2 rozwiązania autor: mania1408-k1 13.4.2010 (16:43)
mania1408-k1 proszę o pomoc zadania na jutro. Przedmiot: Matematyka / Liceum 1 rozwiązanie autor: mania1408-k1 13.4.2010 (16:49)
CyborgR Prosze o pomoc, krotkie zadanie. Przedmiot: Matematyka / Liceum 2 rozwiązania autor: CyborgR 17.4.2010 (18:13)
mala53 Bardzo proszę o pomoc! Przedmiot: Matematyka / Liceum 1 rozwiązanie autor: mala53 19.4.2010 (11:00)
mania1992 proszę o pomoc!! (geometria płaska) zadania na wtorek. Przedmiot: Matematyka / Liceum 1 rozwiązanie autor: mania1992 24.4.2010 (13:10)

Podobne materiały

Przydatność 50% Liczby wymierne

Liczby wymierne są to wszystkie liczby całkowite oraz wszystkie ułamki (zwykłe i dziesiętne). Każdą liczbę wymierną można przedstawić na różne sposoby.

Przydatność 70% Liczby wymierne(Dzielenie)

ILORAZ DWÓCH LICZ O RÓŻNYCH ZNAKACH JEST LICZBĄ UJEMNĄ A ILORAZ DWÓCH LICZ O TAKICH SAMYCH ZNAKACH JEST LICZBĄ DODATNIĄ. NP: -54:9=-6 JEŚLI MAMY NIEPARZYSTĄ LICZBĘ LICZB UJEMNYCH WTEDY WYMIK BĘDZIE UJEMNY, GDY MAMY PARZYSTĄ LIECZBĘ LICZB UJEMNYCH WYNIK ZAWSZE BEDZIE DODATKI -8:(-2)=4 -8:2=-4

Przydatność 50% Bohater romantyczny - relikt przeszłości czy pilnie poszukiwany.

Uważam, że bohater romantyczny jest reliktem przeszłości. W celu uzasadnienia mojego zdania opisze postacie literackie na przykładzie, których uzasadnię moją opinię. Zanim przystąpię jednak do przytaczania konkretnych przykładów napisze, kim w ogóle jest nasz „bohater romantyczny”, czym się charakteryzuje, jak go rozpoznać. „Słownik Encyklopedii Języka...

Przydatność 80% Pierwsza pomoc - pomoc przedmedyczna

Pierwsza Pomoc Przedmedyczna Pierwsza pomoc przedmedyczna to czynności ratownika (osoby udzielającej pierwszą pomoc) prowadzące do zabezpieczenia i utrzymania przy życiu osoby poszkodowanej, do czasu przyjazdu wykwalifikowanych służb. Etapy pierwszej pomocy 1. ocena sytuacji 2. zabezpieczenie miejsca zdarzenia 3. ocena stanu poszkodowanego 4. wezwanie pomocy - 999 ? Pogotowie...

Przydatność 50% Pierwsza pomoc

UDZIEANIE PIERWSZEJ POMOCY POSZKODOWANYM RANY Rany należą do najczęszczych uszkodzeń urazowych i w większości powstają w następstwie nieszczęśliwych wypadków. Niektóre zranienia wymagają natychmiastowego opatrzenia z uwagi na stan zagrożenia życia. Inne natomiast nie zagrażają życiu, wymagają jedynie doraźnej pomocy, co wcale nie znaczy, że można je lekceważyć....

0 odpowiada - 0 ogląda - 2 rozwiązań

Dodaj zadanie

Zobacz więcej opcji