Treść zadania
Autor: ~olka Dodano: 4.4.2016 (17:41)
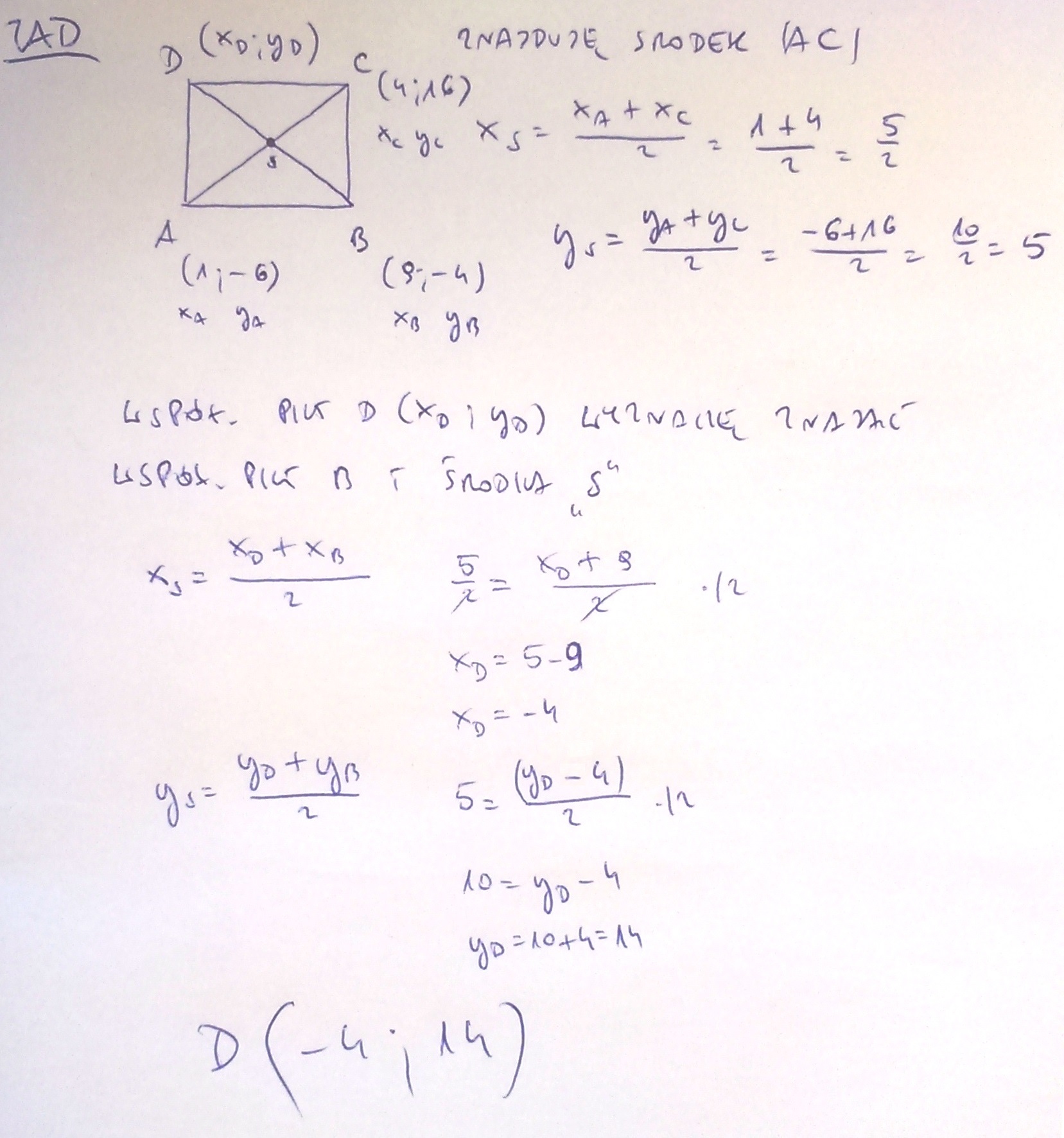
Punkty A(1; -6), B(9; -4), C(4; 16) są kolejnymi wierzchołkami prostokąta ABCD. Oblicz współrzędne wierzchołka D.
Zadanie jest zamknięte. Autor zadania wybrał już najlepsze rozwiązanie lub straciło ono ważność.
Rozwiązania
Podobne zadania
|
|
2 rozwiązania | autor: agatka 29.3.2010 (09:25) |
|
|
2 rozwiązania | autor: iwona5000 17.4.2010 (11:34) |
|
|
1 rozwiązanie | autor: aluszacedro 12.4.2010 (15:26) |
|
|
2 rozwiązania | autor: lukaszunkile 18.4.2010 (16:17) |
|
|
1 rozwiązanie | autor: Konto usunięte 11.5.2010 (17:28) |
Podobne materiały
Przydatność 70% Saint Simon - główne punkty jego myśli socjologicznej
1. Wpływ Wielkiej Rewolucji Francuskiej na myśl Saint-Simona Za punkt wyjścia do przedstawienia poglądów Saint-Simona przyjmuje się moment, w którym zdał on sobie sprawę, że rozwój społeczeństwa w okresie między Reformacją a Rewolucją Francuską i wojnami napoleońskimi doprowadził do rozkładu porządku feudalnego, ale na jego miejsce nie wniósł porządku równie...
Przydatność 80% Akcja pod Arsenałem (punkty w postaci równoważników zdań)
1. Niespodziewane aresztowanie rudego i jego ojca 2. Przewiezienie na Pawiak 3. Bicie chłopca przez Niemców 4. Przerwanie śledztwa z powodu milczenia 5. Dotarcie strasznej wiadomości do przyjaciół 6. Postanowienie odbicia Janka Bytnara 7. Słabe przygotowanie militarne 8. Uzyskanie informacji o przewożeniu Rudego z Szucha na Pawiak 9. Staranne zaplanowanie odbicia Janka 10....
Przydatność 50% Czy za wolontariat powinny być przyznawane punkty na świadectwie?
Bezinteresowność czy chęć korzyści? Wielu młodych ludzi zwykło mawiać, że są osobami altruistycznymi. Lubią pomóc starszej pani nieść zakupy, pomagają w szkole znajomym, pracują w wolontariacie. Tak, jak to wynika z definicji, jest to pomoc bezinteresowna. Ministerstwo Oświaty chce jednak wprowadzić punkty za działalność uczniowską w wolontariacie. Według mnie, jest...
Przydatność 75% Zwyczaje i obyczaje średniowieczne ukazane w "Krzyżakach" - punkty.
1. Wjazd wojenny czarnego rycerza. 2. Zarzucenie nałęczki na głowę skazańca w celu wybawienia go od śmierci, ale musiał się on ożenić z tą, która go uratowała. 3. Handel relikwiami i sprzedawanie odpustów. 4. Pojedynek Sąd Boży, zgodnie z którym zwyciężał ten, który mówił prawdę. 5. Zwycięzca wyżej wymienionego pojedynku musiał pozostać na miejscu przez całą...
0 odpowiada - 0 ogląda - 1 rozwiązań
0 0
werner2010 6.4.2016 (16:44)
rozwiązanie sprawdzone geometrycznie
Załączniki
Dodawanie komentarzy zablokowane - Zgłoś nadużycie