Treść zadania

Formalina2905

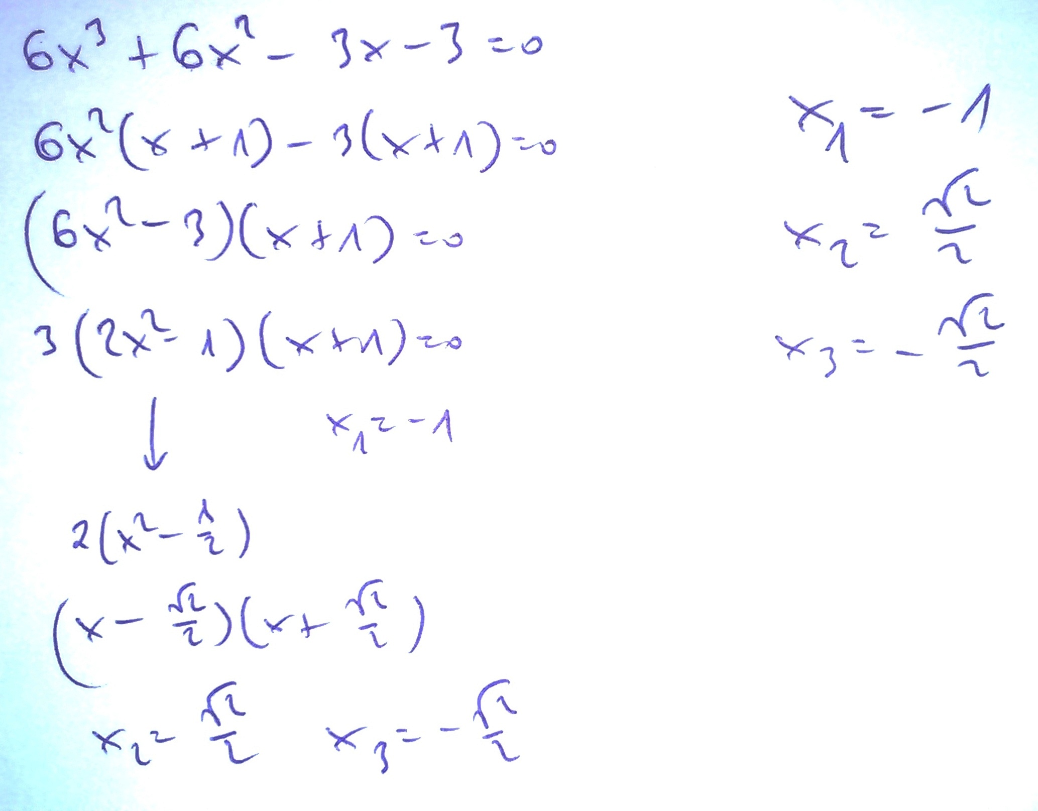
Tym razem zadanie będzie w załączniku bo nie wiem jak ułamek zrobić ...
znaczy kreskę ułamkową ...
z góry dziękuję

Załączniki do zadania

Zadanie jest zamknięte. Autor zadania wybrał już najlepsze rozwiązanie lub straciło ono ważność.

Najlepsze rozwiązanie

Rozwiązania

Podobne zadania

hmm Badanie trójmianu kwadratowego - zadanie optymalizacyjne. Przedmiot: Matematyka / Liceum 1 rozwiązanie autor: hmm 29.3.2010 (18:21)
lestat919 zadanie - promień okręgu Przedmiot: Matematyka / Liceum 1 rozwiązanie autor: lestat919 6.4.2010 (18:17)
bombecka88 Zadanie matematyka pomocy Przedmiot: Matematyka / Liceum 1 rozwiązanie autor: bombecka88 14.4.2010 (11:45)
mania1408-k1 Zadanie matematyka pomocy-pola trójkątów podobnych. Przedmiot: Matematyka / Liceum 1 rozwiązanie autor: mania1408-k1 14.4.2010 (12:58)
mania1408-k1 Zadanie matematyka pomocy-pola trójkątów podobnych. Przedmiot: Matematyka / Liceum 1 rozwiązanie autor: mania1408-k1 14.4.2010 (13:00)

Podobne materiały

Przydatność 80% Czy wiem co jem?

CZY WIEM CO JEM? MLODZIEŻ I ZDROWA ŻYWNOŚĆ Od pewnego czasu człowiek współczesny coraz intensywniej szuka ochrony przed szkodliwym wpływem stworzonej przez siebie cywilizacji. Pragnie pozbyć się całego balastu zanieczyszczeń zagrażających jego zdrowiu i życiu. Dużo więcej uwagi poświęca temu co spożywa. Jest zrozumiałe, że ta ogólna tendencja nie ujawnia się z...

Przydatność 60% Analiza wiersza "Nie wiem".

„Nie wiem” Kiedyś myślałam że życie jest piękne. Kiedyś myślałam że muszę tak myśleć Kiedyś myślałam że jestem szczęśliwa że jest mi dobrze. Kiedyś ... Ale teraz zrozumiałam że nie muszę być szczęśliwa Jeśli nie chce. Nie wiem co mam myśleć. Nie wiem co mam czuć Nie wiem co...

Przydatność 70% Co wiem o filozofii?

Jest to bardzo trudne pytanie, na które brak jest jednoznacznej odpowiedzi. Sam termin stanowił i dalej stanowi zagwozdkę dla wielu myślicieli. Pytanie to jest samo w sobie bardzo filozoficzne. Udzielając odpowiedzi zaczerpniętej ze słownika, że filozofia jest to nauka o świecie otaczającym nas, myślę że, nie wyczerpujemy w pełni pojęcia tego słowa. Filozofia, którą...

Przydatność 55% Analiza Finansowa- zadanie

praca w załącznikach

Przydatność 80% Zadanie z fizy

1.46 Z ciała o masie m1= 11000kg następuje strzał w kierunku poziomym. Masa pocisku wynosi m2= 54kg. Oblicz prędkość, z jaką działo zostaje odrzucone wstecz, jeśli prędkość pocisku wynosi v2= 900 m/s. m1= 11000 kg m2= 54 kg v1 = ? v2 = 900 m/s Po = Pk Po=(m1+m2)* V V= 0 – na początku działo jest w spoczynku 0=m2*v2 – m1*v1 m1*v1 = m2*v2 v1=...

0 odpowiada - 0 ogląda - 1 rozwiązań

Dodaj zadanie

Zobacz więcej opcji