Treść zadania
Autor: siatkara1a1a Dodano: 23.1.2016 (14:10)
znajdz liczbe ktorej przyblizenie wynosi 80 wiedząc że jest to przyblizenie z niedomiarem i jego błąd bezwzględny wynosi 1,26 oblicz błąd względny tego przybliżenia
Zadanie jest zamknięte. Autor zadania wybrał już najlepsze rozwiązanie lub straciło ono ważność.
Rozwiązania
Podobne zadania
|
|
1 rozwiązanie | autor: pawel 24.3.2010 (16:28) |
|
|
2 rozwiązania | autor: MartaGrzeszczak1 29.3.2010 (17:43) |
|
|
1 rozwiązanie | autor: lusi1069 30.3.2010 (16:42) |
|
|
1 rozwiązanie | autor: gosiaczek90 7.4.2010 (19:15) |
|
|
1 rozwiązanie | autor: aluszacedro 12.4.2010 (15:17) |
Podobne materiały
Przydatność 60% Dzieje Liczb
Liczba, jest podstawowym pojęciem matematyki, które powstało w świadomości człowieka na wiele tysięcy lat przed naszą erą, a następnie kształtowało się i rozwijało wraz z rozwojem cywilizacji i kultury. Z chwilą, gdy rozróżnienie między „jeden” i „wiele”- charakterystyczne dla ludów pierwotnych- przestało wystarczać, wprowadzone zostały liczby: 1,2,3,4,...,a więc...
Przydatność 75% Symbolika liczb
Liczbę 1 uważano dawno, dawno temu za liczbę najdoskonalszą. Jest to pierwsza liczba nieparzysta. Wszystkie inne liczby pochodzą od jedynki, np.2, to 1 + 1. Jeden - ile to jest: dużo czy mało? Zastanów się! Wszyscy chcą być pierwsi: w nauce, w sporcie, w zabawie, ale nikt nie chce dostać jedynki z klasówki! Liczba 2 jest pierwszą liczbą parzystą. Uważana była przed wiekami...
Przydatność 80% Cecha podzielności liczb naturalnych.
Cecha podzielności przez 2 Liczba jest podzielna przez 2 jeżeli jej ostatnia cyfra jest parzysta lub jest nią zero. Przykłady: 12, 48, 100, 124 Cecha podzielności przez 3 Liczba jest podzielna przez 3 jeżeli suma jej cyfr tworzy liczbę podzielną przez 3. Przykłady: 27 bo 2+7=9 123 bo 1+2+3=6 621 bo 6+2+1=9 Cecha podzielności przez 4 Liczba jest...
Przydatność 80% Cechy podzielności liczb.
Cechy podzielności przez 2 Liczba jest podzielna przez 2 jeżeli w rzędzie jedności ma cyfrę:0, 2, 4, 6, lub 8. Przykłady: 24, 506, 1002, 99990 Cechy podzielności przez 3 Liczba jest podzielna przez 3 jeżeli suma jej cyfr tworzy liczbę podzielną przez 3. Przykłady: 42 - 4+2 = 6 i 6 =2*3 783 - 7+8+3=18 i 18=6 * 3 1209 - 1+2+0+9=12 i 12=4*3 Cechy podzielności przez 4...
Przydatność 55% Ciekawe własności liczb
7 stron o ciekawych własnościach liczb, załączonych w załączniku. Polecam.
0 odpowiada - 0 ogląda - 1 rozwiązań
1 2
werner2010 23.1.2016 (20:13)
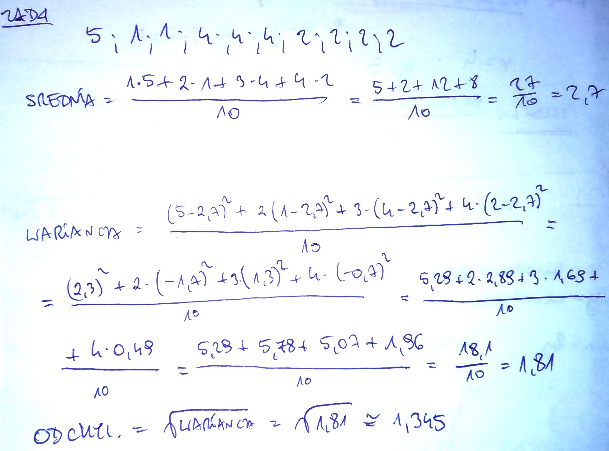
zadanie z zestawem :)))
Załączniki
Dodawanie komentarzy zablokowane - Zgłoś nadużycie