Treść zadania

Martyna14200

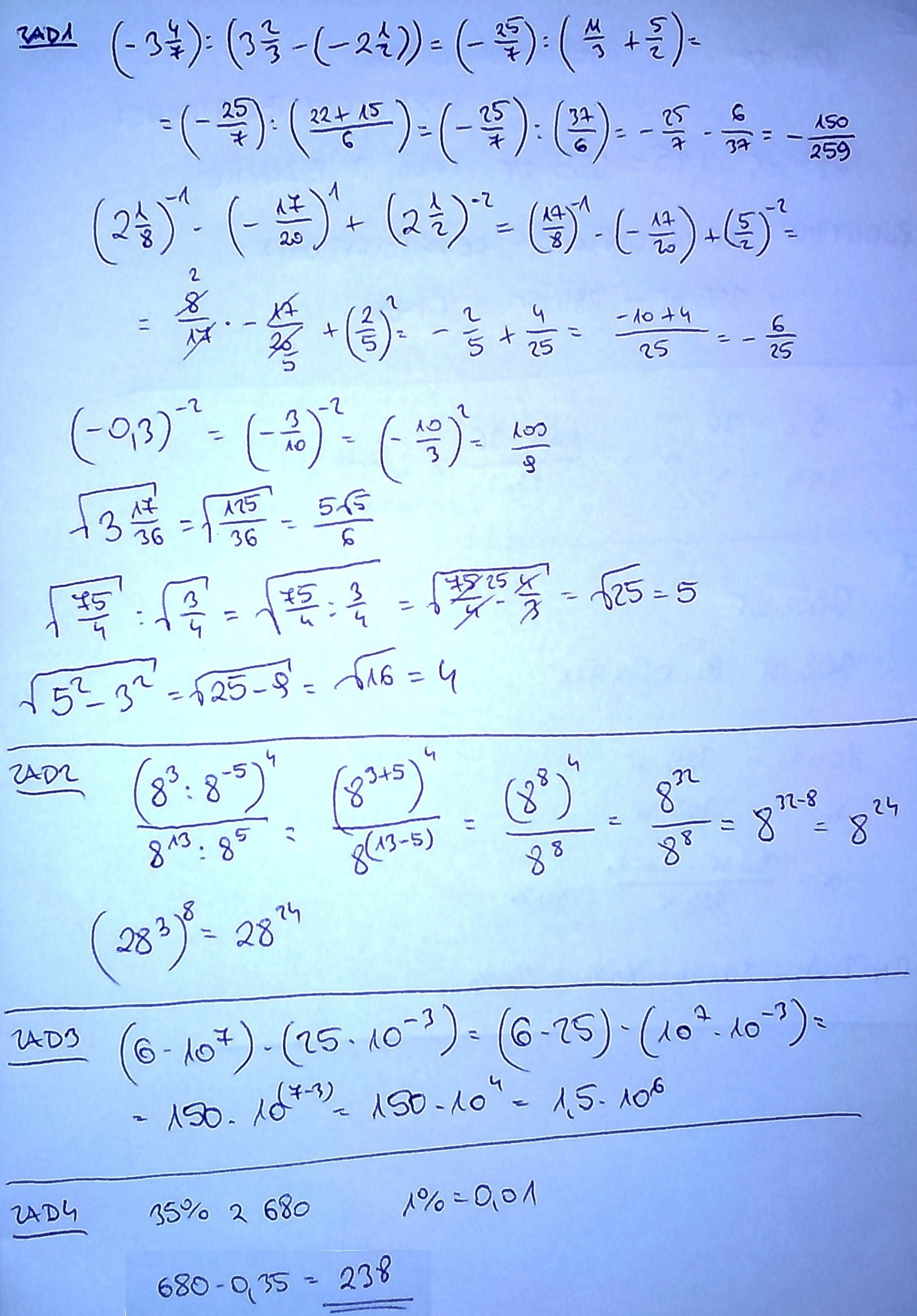
Potęgi i pierwiastki. Bardzo proszę o pomoc w rozwiązaniu zadań. Potrzebuję tego na dzisiaj. Zadania w załącznikach .

Załączniki do zadania

Zadanie jest zamknięte. Autor zadania wybrał już najlepsze rozwiązanie lub straciło ono ważność.

Najlepsze rozwiązanie

Rozwiązania

Podobne zadania

mania1408-k1 proszę o pomoc zadania na jutro. Przedmiot: Matematyka / Liceum 2 rozwiązania autor: mania1408-k1 13.4.2010 (16:43)
mania1408-k1 proszę o pomoc zadania na jutro. Przedmiot: Matematyka / Liceum 1 rozwiązanie autor: mania1408-k1 13.4.2010 (16:49)
CyborgR Prosze o pomoc, krotkie zadanie. Przedmiot: Matematyka / Liceum 2 rozwiązania autor: CyborgR 17.4.2010 (18:13)
mala53 Bardzo proszę o pomoc! Przedmiot: Matematyka / Liceum 1 rozwiązanie autor: mala53 19.4.2010 (11:00)
mania1992 proszę o pomoc!! (geometria płaska) zadania na wtorek. Przedmiot: Matematyka / Liceum 1 rozwiązanie autor: mania1992 24.4.2010 (13:10)

Podobne materiały

Przydatność 55% Pierwiastki

WĘGIEL: 4 e walencyjne (6C), najcz jest 4 wart, wyst w 2 odmianach izotopowych C12 i C13, wyst w 2 postaciach: diament (nie przew prądu), grafit (przew prąd), wyst w stopniach utlenienia: -4 (CO2), 4 (CH4), CO-tl węgla (czad). CO2 otrzymujemy w reakcji węglanów z kwasem solnym. AZOT: właściwości: bezbarwny, bezwonny, słabo rozp w H2O, stężenie w powietrzu – 78%, 5 e walencyjne...

Przydatność 50% Pierwiastki

Pełne opisy każdego z pierwiastków znajdujących się w Tablicy Mendelejewa

Przydatność 65% Pierwiastki

(Ac) aktyn ? (Am) ameryk ? (Sb) antymon ? (Ar) argon ? (As) arsen ? (At) astat ? (N) azot ? (Ba) bar ? (Bk) berkel ? (Be) beryl ? (Bi) bizmut ? (Bh) bohr ? (B) bor ? (Br) brom ? (Ce) cer ? (Cs) cez ? (Cl) chlor ? (Cr) chrom ? (Sn) cyna ? (Zn) cynk ? (Zr) cyrkon ? (Ds) darmsztadt ? (Db) dubn ? (Dy) dysproz ? (Es) einstein ? (Er) erb ? (Eu) europ ? (Fm) ferm ? (F) fluor ? (P) fosfor ? (Fr) frans...

Przydatność 65% Pierwiastki śmierci

Pierwiastki śmierci. Mianem pierwiastków śmierci nazywa się kilkanaście pierwiastków występujących w przyrodzie, które wpływają na organizm człowieka negatywnie a bardzo często nawet zabójczo. Pierwiastkami śmierci są przede wszystkim metale ciężkie, uznawane obecnie za zbędne a często toksyczne. Wprowadzone jednorazowo, a także w małych dawkach przez dłuższy czas,...

Przydatność 65% Pierwiastki Radioaktywne

Pierwiastki chemiczne, których wszystkie izotopy są promieniotwórcze. Są to: technet (symbol Tc) o liczbie atomowej Z=43, promet (symbol Pm) o liczbie atomowej Z=61, polon (symbol Po) o liczbie atomowej Z=84 oraz wszystkie pierwiastki położone w układzie okresowym za polonem. Pierwiastki promieniotwórcze położone za uranem noszą nazwę pierwiastków transuranowych lub transuranów,...

0 odpowiada - 0 ogląda - 2 rozwiązań

Dodaj zadanie

Zobacz więcej opcji