Treść zadania
Autor: martagl26 Dodano: 3.12.2015 (08:48)
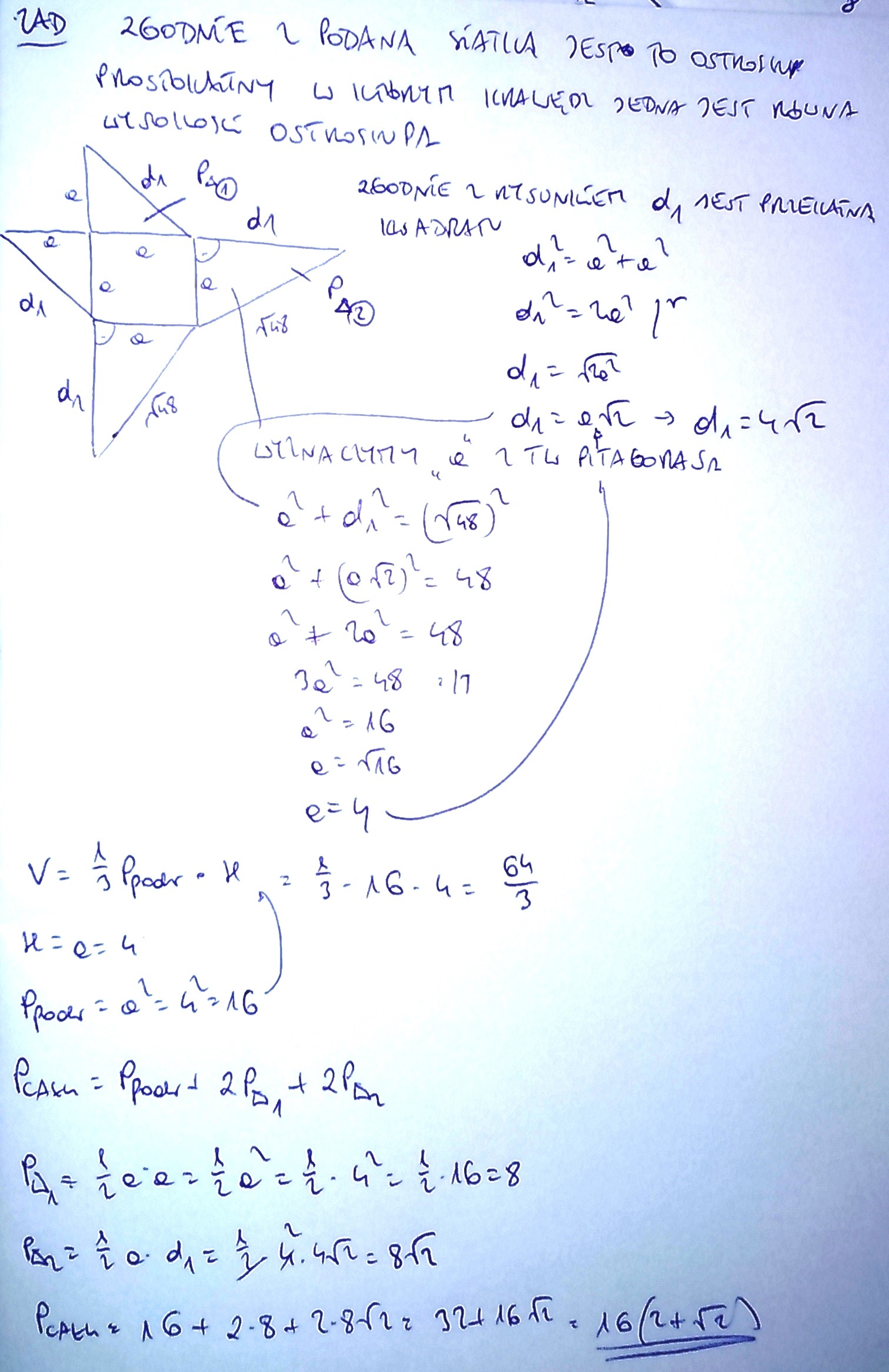
dana jest siatka ostrosłupa czworokątnego ktoregopodstawa jest kwadrat najdłuzsza krawedz
boczna tego ostrosłupa ma dlugosc pierwiastek z 48 a jego wysokosc jest rowna długosci
podstawy Oblicz objetosc tego ostrosłupa i pole powierzchni całkowitej tego ostrosłupa
Zadanie jest zamknięte. Autor zadania wybrał już najlepsze rozwiązanie lub straciło ono ważność.
Najlepsze rozwiązanie
Rozwiązania
Podobne zadania
|
|
1 rozwiązanie | autor: pawel 24.3.2010 (16:28) |
|
|
2 rozwiązania | autor: MartaGrzeszczak1 29.3.2010 (17:43) |
|
|
1 rozwiązanie | autor: lusi1069 30.3.2010 (16:42) |
|
|
1 rozwiązanie | autor: gosiaczek90 7.4.2010 (19:15) |
|
|
1 rozwiązanie | autor: aluszacedro 12.4.2010 (15:17) |
Podobne materiały
Przydatność 75% Recenzja kontrowersyjnej książki Dana Browna "Kod Leonarda da Vinci".
"Kod Leonarda Da Vinci" został wydany w 2003r. i został okrzyknięty "thrillerem wszechczasów". Dotychczas sprzedano ok. 40 mln egzemplarzy książki. Jej autor Dan Brown jest najbardziej kontrowersyjnym autorem literatury sensacyjnej ostatnich lat. Absolwent Amherst College i Phillips Exeter Academy, przez kilka lat wykładał literaturę angielską i scenopisarstwo. Jego "Kod Leonarda...
Przydatność 50% Czy ubiór może nam powiedzieć, że dana subkultura jest zła??
?Czy być innym, znaczy być gorszym??. Zaobserwowałam, że powiększa się grupa ludzi utwierdzających się w przekonaniu, że na temat subkultur wie prawie wszystko. Są oni często ?szufladkowani? ze względu na ubiór i zachowanie, co niekiedy nie jest w stu procentach trafne. Osoby należące do subkultur są przeważnie bardzo młode, najczęściej to młodzież ze szkół...
Przydatność 60% Konspekt i prowadzenie lekcji: Siatka geograficzna i kartograficzna jako podstawa orientacji na ziemi
Konspekt i prowadzenie lekcji: SIATKA GEOGRAFICZNA I KARTOGRAFICZNA JAKO PODSTAWA ORIENTACJI NA ZIEMI
Przydatność 50% Co by było gdyby Polakom dana była jeszcze raz walka o wolność. Rozważ na podstawie „Wesela” S. Wyspiańskiego.
Gdyby Polakom była dana jeszcze raz szansa walki o wolność to mogłaby zostać nie wykorzystana w tamtych czasach. Naród polski ma w sobie tą cechę że w momencie naprawdę trudnej sytuacji i uciśnięcia potrafi wykrzesać z naszych serc i mięśni więcej niż ktokolwiek by się spodziewał. Wałka musiała by być naprawdę dobrze pokierowana a jej zasadniczym trzonem byli by chłopi....
Przydatność 55% Czy do postawy bohaterów "Kamieni na szaniec" można odnieść słowa Jana Pawła II: "Wolność jest dana człowiekowi przez Boga jako miara jego godności. Jednakże jest mu ona równocześnie zadana"?
Myślę, że słowa Jana Pawła II: "Wolność jest dana człowiekowi przez Boga jako miara jego godności. Jednakże jest mu ona równocześnie zadana" można odnieść do postawy bohaterów "Kamieni na szaniec". Na początek jednak wypadałoby się zastanowić nad znaczeniem pojęcia "wolność". Ja podam swoją interpretację tego słowa. Dla mnie jest to możliwość decydowania o swoich...
0 odpowiada - 0 ogląda - 1 rozwiązań
1 0
werner2010 4.12.2015 (20:10)
rozwiązanie sprawdzone geometrycznie, rysunek bardzo pomógł
takie masz odpowiedzi/?
Załączniki
Dodawanie komentarzy zablokowane - Zgłoś nadużycie