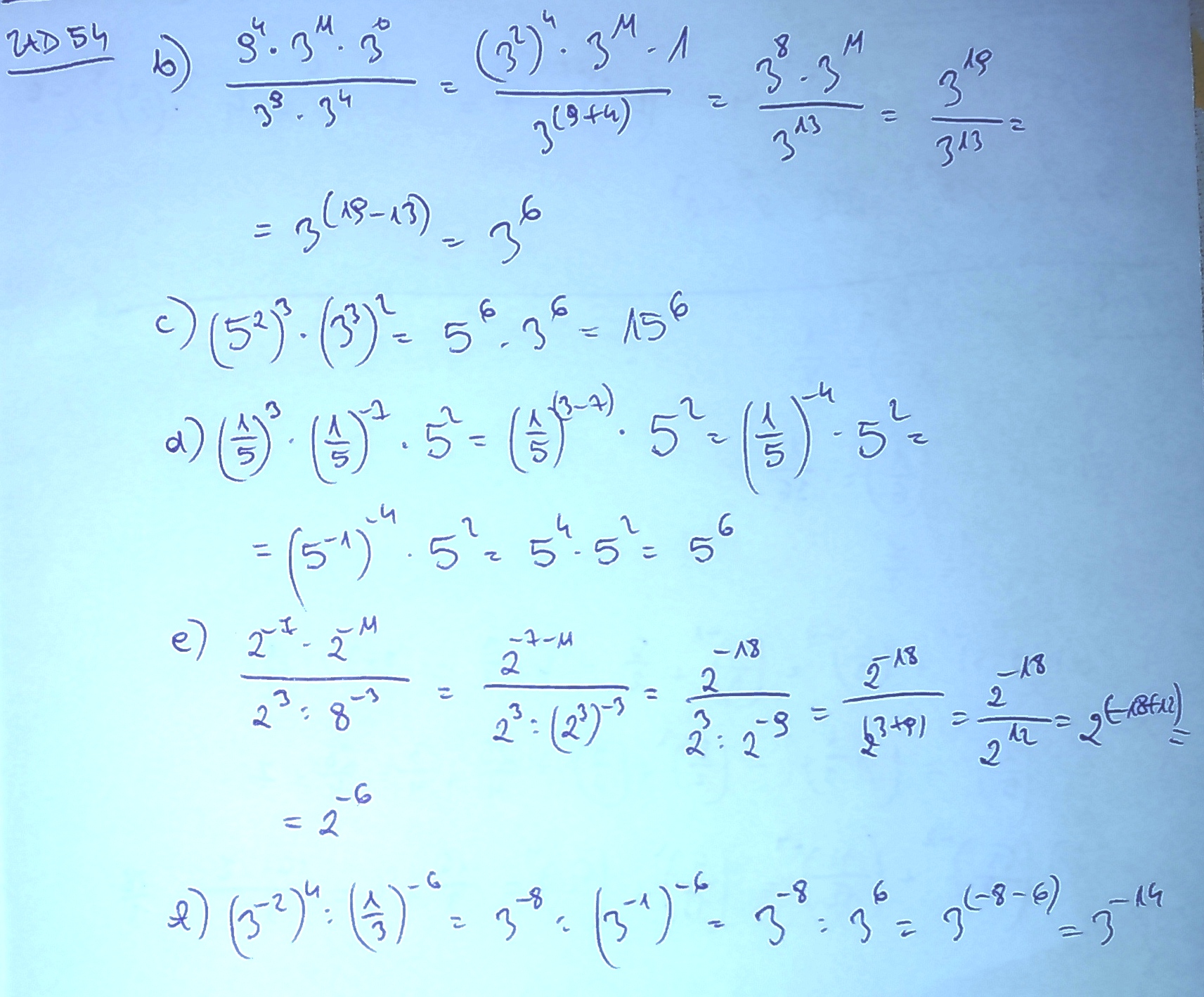
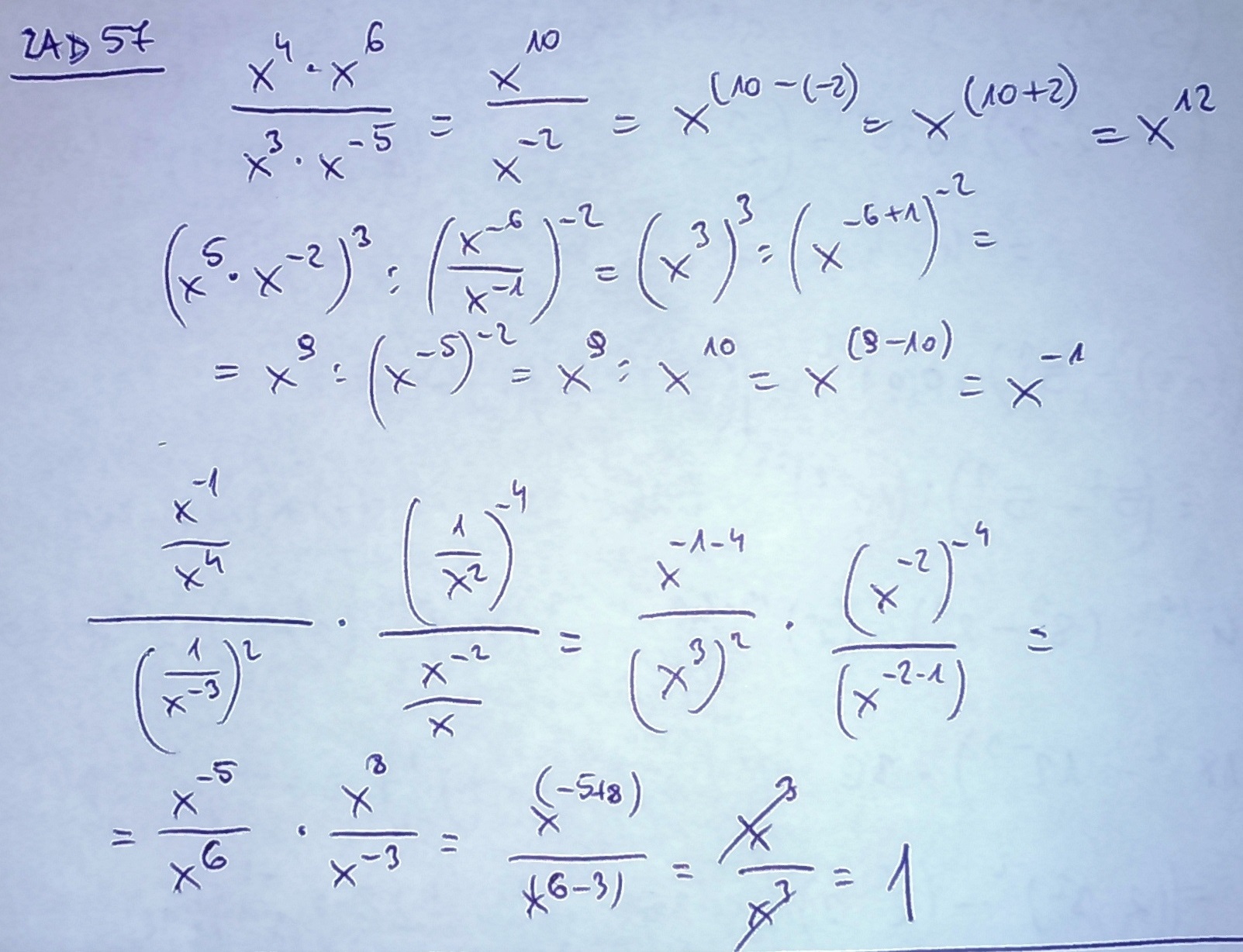
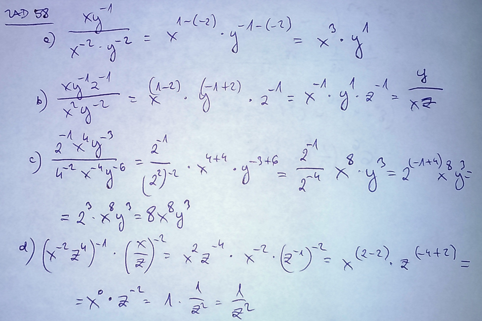
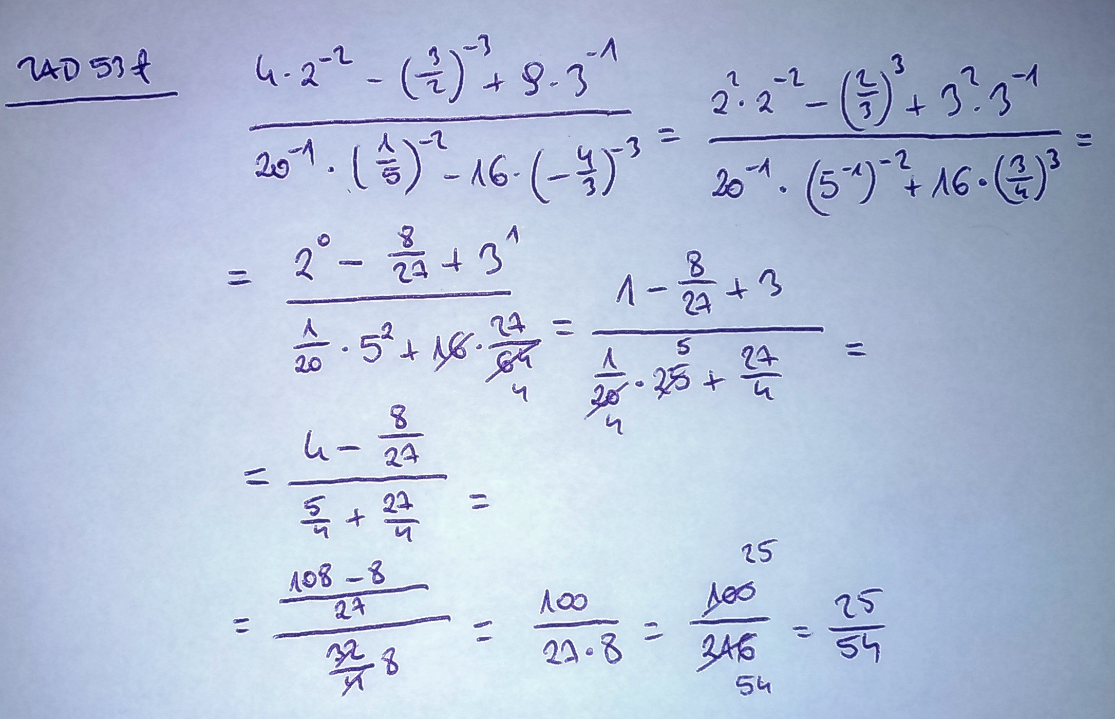
Treść zadania

Helpmi2731

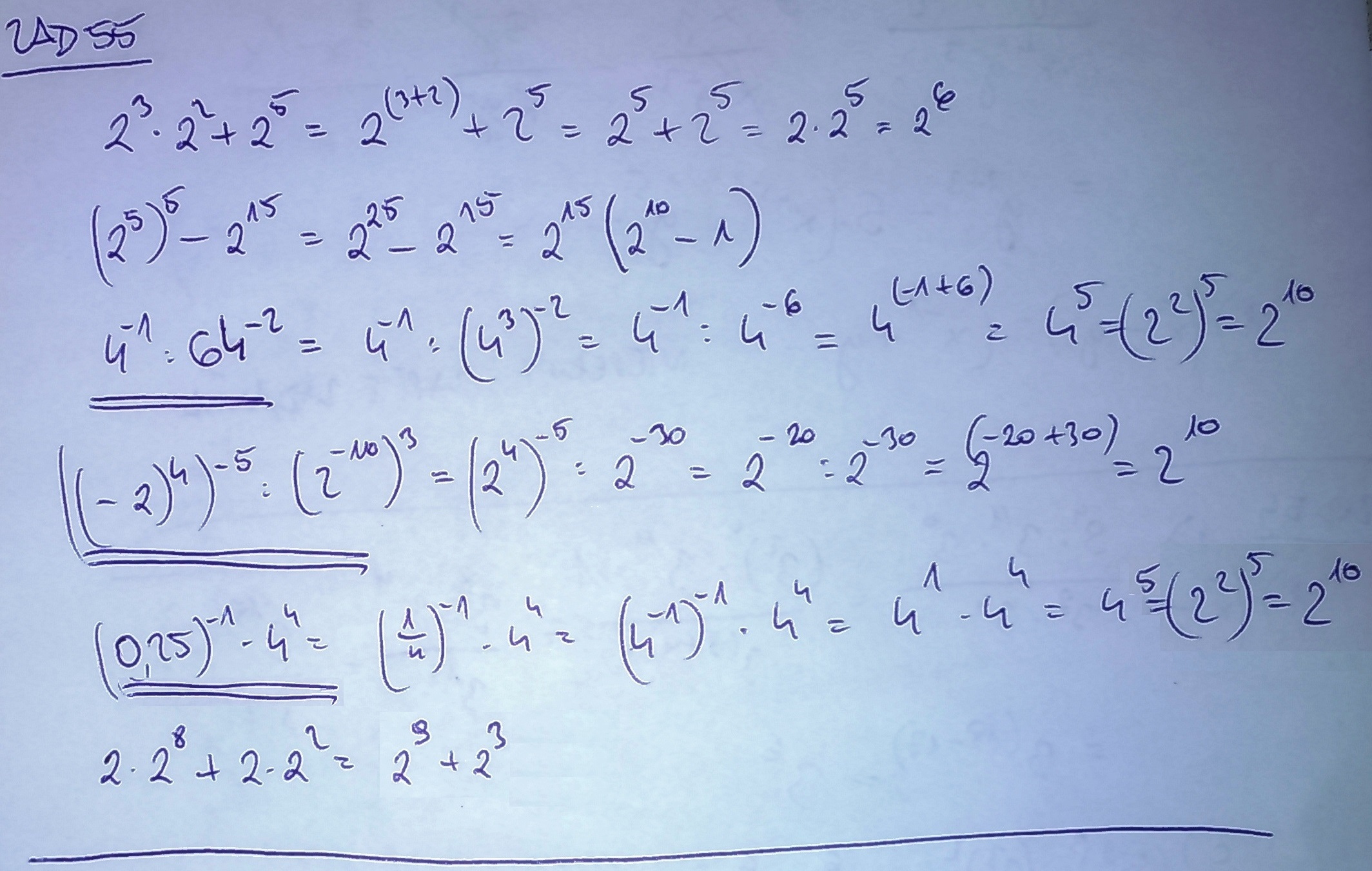
Proszę o rozwiązanie zadań w załączniku. Będę bardzo wdzięczna!

Załączniki do zadania

Zgłoś nadużycie

Komentarze do zadania

Zadanie jest zamknięte. Autor zadania wybrał już najlepsze rozwiązanie lub straciło ono ważność.

Rozwiązania

Podobne zadania

mala53 Bardzo proszę o pomoc! Przedmiot: Matematyka / Liceum 1 rozwiązanie autor: mala53 19.4.2010 (11:00)
malutkaaaa90 bardzo prosze o pomoc Przedmiot: Matematyka / Liceum 2 rozwiązania autor: malutkaaaa90 26.4.2010 (17:52)
bereha Bardzo prosił bym o pomoc :) Przedmiot: Matematyka / Liceum 1 rozwiązanie autor: bereha 6.5.2010 (16:59)
lewy402 Bryły bardzo proszę !!! Przedmiot: Matematyka / Liceum 1 rozwiązanie autor: lewy402 7.5.2010 (11:21)
Aucia6 Prosze o pomoc bardzo mi na tym zalezy.... Przedmiot: Matematyka / Liceum 1 rozwiązanie autor: Aucia6 13.5.2010 (20:37)

0 odpowiada - 0 ogląda - 1 rozwiązań

Dodaj zadanie

Zobacz więcej opcji