Treść zadania
Autor: balonik2a Dodano: 25.9.2015 (07:45)
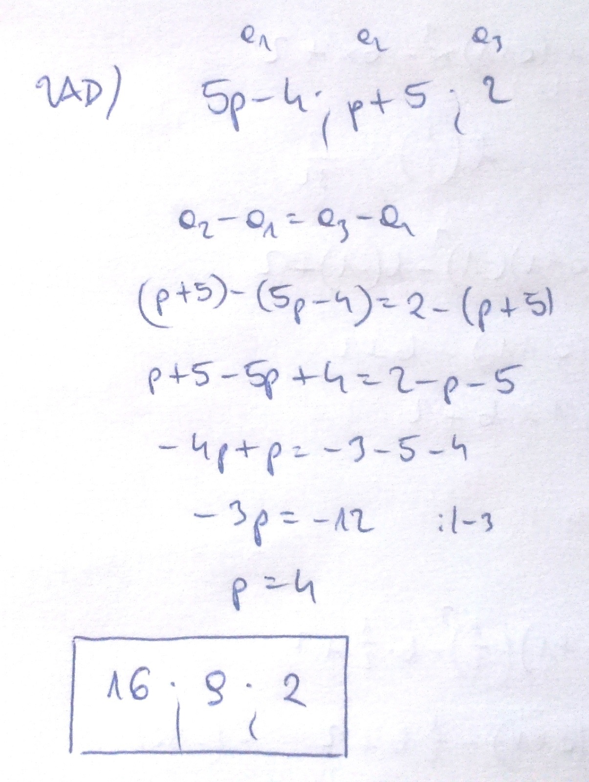
dla jakiej wartości p liczby 5p-4, p+5,2 są kolejnymi wyrazami ciągu arytmetycznego?
Komentarze do zadania
Zadanie jest zamknięte. Autor zadania wybrał już najlepsze rozwiązanie lub straciło ono ważność.
Najlepsze rozwiązanie
Rozwiązania
Podobne zadania
|
|
1 rozwiązanie | autor: xnika502x 6.4.2010 (16:07) |
|
|
2 rozwiązania | autor: xnika502x 6.4.2010 (16:07) |
|
|
1 rozwiązanie | autor: aluszacedro 12.4.2010 (15:26) |
|
|
2 rozwiązania | autor: nikola29 15.4.2010 (19:01) |
|
|
1 rozwiązanie | autor: Monika697 18.4.2010 (12:09) |
Podobne materiały
Przydatność 50% Liczby
1. Liczby rzeczywiste – wszystkie liczby , które odpowiadają punktom na osi liczbowej. 2. Liczby wymierne – liczby dające przedstawić się za pomocą ułamka p/q , gdzie p jest dowolną liczbą całkowitą, a q jest dowolną liczbą naturalną ( np. 1/7, 3 ½,- 32/5 , 0, -2,6 , 5 (3), 3. Liczby niewymierne – liczby nie dające się zapisać w postaci ułamka zwykłego ( np. 3, 5,...
Przydatność 50% Liczby
Liczby pierwsze Liczbę naturalną, która ma dokładnie dwa dzielniki, nazywamy liczbą pierwsza. Liczb pierwszych jest nieskończenie wiele. Znajdowanie ich nie jest jednak łatwe. Od pewnego czasu używa się do tego komputerów. Największa znana dziś liczba pierwsza została odkryta w lipcu 2001 roku przez Michaela Camerona i George'a Woltmana ma postać 213466917-1. Ma ona aż 4...
Przydatność 80% Problemy z powtarzającymi się wyrazami
Powtarzające się wyrazy to problem dotyczący wszystkich, którzy piszą po polsku. W innych językach nie trzeba na to zwracać uwagi. Język polski jest jednak językiem bardzo bogatym w synonimy, którymi możemy zastąpić powtarzające się wyrazy oraz formy, którymi posługujemy się budując zdania. Ogromne utrapienie to z pewnością słowo „jest”, szczególnie w czasie...
Przydatność 70% Liczby zaprzyjaźnione
Są to dwie takie liczby naturalne M i N, z których każda jest sumą podzielników właściwych drugiej(przez podzielnik właściwy danej liczby rozumiemy każdy podzielnik mniejszy od tej liczby). Pierwszą parę takich liczb, którą podał jeszcze Pitagoras, stanowią liczby 220 i 284, ponieważ dzielnikami właściwymi liczby 220 są: 1,2,4,5,10,11,20,22,44,55 i 110, a ich suma wynosi...
Przydatność 65% Liczby kwantowe
1) Główna liczba kwantowa (n) - przyjmuje wartości kolejnych liczb naturalnych 1, 2, 3, ... (wg Bhora K, L, M, ...); - od niej zależy energia danego elektronu; - decyduje o rozmiarach orbitali - im większa wartość n, tym większy jest orbital; - maksymalna ilośc elektronów w powłoce wynosi 2m2 (kwadrat) n 1 = K 2 = L 3 = M 4 = N 5 = O 6 = P 7 = Q 2) Poboczna liczba...
0 odpowiada - 0 ogląda - 1 rozwiązań
2 0
werner2010 25.9.2015 (16:55)
rozwiązanie w załączniku
Załączniki
Dodawanie komentarzy zablokowane - Zgłoś nadużycie