Treść zadania

kundys

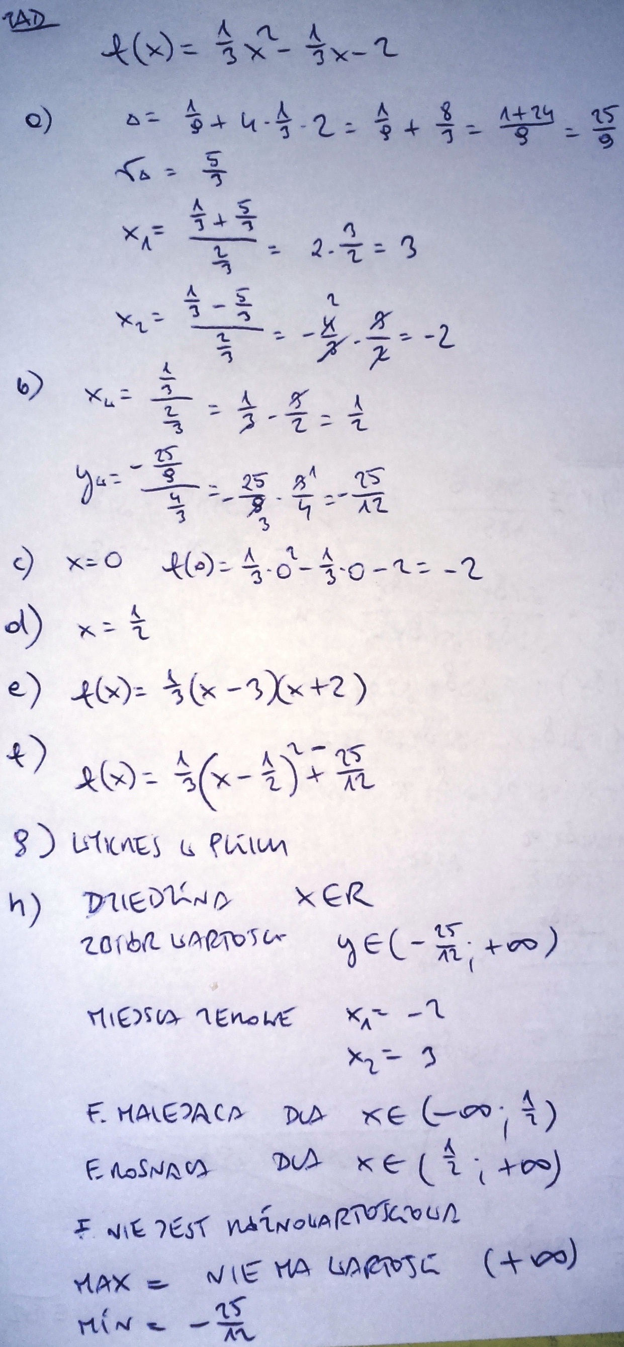
Dany jest wzór funkcji kwadratowej w postaci ogólnej:
f(x) 1/3x²-1/3x-2
a) oblicz miejsca zerowe funkcji f
b) oblicz współrzędne wierzchołka paroboli będącej wykresem funkcji f
c) oblicz punkt przecięcia wykresem z osią OY
d) podaj równanie osi symetrii wykresem z osią OY
e) napisz wzór funkcji f w postaci iloczynowej
f) napisz wzór funkcji f w postaci kanonicznej
g) naszkicuj wykres funkcji f w układzie współrzędnym
h) na podstawie wykresu funkcji f omów jej własności:
1) dziedzina funkcji f
2) zbiór wartości funkcji f
3) miejsca zerowe funkcji f
4) monotoniczność funkcji f
5) różnowartościowość funkcji f
6) najmniejsza oraz największa wartość funkcji f

Zadanie jest zamknięte. Autor zadania wybrał już najlepsze rozwiązanie lub straciło ono ważność.

Najlepsze rozwiązanie

Rozwiązania

Podobne zadania

pawel Prosta y=√3x-2 jest nachylona do osi ox. Opisz szczegółowo pod jakim kątem Przedmiot: Matematyka / Liceum 1 rozwiązanie autor: pawel 24.3.2010 (16:28)
MartaGrzeszczak1 Dany jest trójkąt o wierzchołkach A=(-4, 2) B=(0,4) C=(6,-4) a) wyznacz Przedmiot: Matematyka / Liceum 2 rozwiązania autor: MartaGrzeszczak1 29.3.2010 (17:43)
lusi1069 pole przekroju walca płaszczyzną równoległa do podstawy jest równe 49/pi a Przedmiot: Matematyka / Liceum 1 rozwiązanie autor: lusi1069 30.3.2010 (16:42)
gosiaczek90 sprawdź korzystając z definicji, czy ciąg o wyrazie ogólnym an jest Przedmiot: Matematyka / Liceum 1 rozwiązanie autor: gosiaczek90 7.4.2010 (19:15)
Nieznany Wypisz własności funkcji y=cos x Przedmiot: Matematyka / Liceum 1 rozwiązanie autor: Konto usunięte 8.4.2010 (18:17)

Podobne materiały

Przydatność 50% Miejsca zerowe Funkcji Kwadratowej

zad 5,7 5,8 5,9 str 293 podręcznik I klasa liceum Prosto do matury: M. Antek, K. Belka, P. Grabowski zad 5,7 Suma kwadratów trzech kolejnych liczb parzystych jest równa 56. Wyznacz te liczby. zad 5,8 Ile boków ma wielokąt, który ma 104 przekątne? zad 5,9 Obwód rombu jest równy 116 cm, a różnica długości jego przekątnych równa się 2 cm. Oblicz długości...

Przydatność 50% Postacie

Banach-matematyk, profesor Uniwesyt Lwows. Beck-polityk,szef gabinetu ministra spraw wojskowych,pracownik Piłsudskiego Beria-szef NKWD,usprawnienie pracy aparatu bezpieczeństwa,powołanie szkoły dla NKWD Budionny-marszałek ZSRR,dowódca Armii Czerwonej,umocnił i zmodernizował siły zbrojne Chamberlain-konserwatywny polityk brytyjski,premier,rzecznik ustępstw przeciw hitlerowcom...

Przydatność 80% Przyczyny nie wstąpinia Dani, Szwecji i Wielkiej Brytani do EGW

Dania, Szwecja i Wielka Brytania nie są dotychczas pełnymi członkami Unii Gospodarczej i Walutowej i nie wchodzą do obszaru euro. Sytuacja ta może ulec zmianie i wszystkie one, bądź tylko niektóre, w perspektywie najbliższych lat mogą zrezygnować z własnego pieniądza na rzecz euro. Decyzja instytucji UGW w tej sprawie będzie mogła zostać podjęta zgodnie z procedurą...

Przydatność 60% Minimalizacja funkcji logicznych

Minimalizacja funkcji logicznych

Przydatność 55% Gradient funkcji. Różniczka zupełna

Gradient funkcji. Różniczka zupełna

0 odpowiada - 0 ogląda - 1 rozwiązań

Dodaj zadanie

Zobacz więcej opcji