Treść zadania
Autor: klaaudiaa Dodano: 7.5.2015 (20:06)
Potęga o wykładniku wymiernym.
Prosiłabym o zrobienie przykładu d i ewentualnie e :)
Zadanie jest zamknięte. Autor zadania wybrał już najlepsze rozwiązanie lub straciło ono ważność.
Rozwiązania
Podobne zadania
|
|
2 rozwiązania | autor: lazy 15.3.2011 (22:19) |
|
|
1 rozwiązanie | autor: heski13 4.4.2011 (17:54) |
|
|
1 rozwiązanie | autor: reaply 26.4.2011 (11:08) |
|
|
1 rozwiązanie | autor: reaply 6.5.2011 (15:11) |
|
|
1 rozwiązanie | autor: reaply 15.5.2011 (19:41) |
Podobne materiały
Przydatność 80% Wspólnie z koleżanką z kursu językowego planujecie zrobienie zakupów weekendowych. Koleżanka proponuje zakupy w dużym supermarkecie. Odrzuć jej propozycję i zaproponuj sklep ze zdrową żywnością, nie zgódź się mimo jej nalegania i podaj arg
Ola : Ich schlage vor, dass wir Einkaufen in gross Supermarket machen. (Proponuję,żebyśmy zrobiły zakupy w dużym supermarkecie) Ala : Da bin ich nicht einverstanden !! Wir gehen Bioladen !! (Nie zgadzam się z Tobą !! Idziemy do sklepu ze zdrową żywnością !! ) Ola : Auf gar kainen Fall !! Der Bioladen ist zu weit und Essens in Supermarket auch gesund ist. ( W żadnym wypadku !!...
0 odpowiada - 0 ogląda - 2 rozwiązań
0 1
Konto usunięte, 7.5.2015 (20:19)
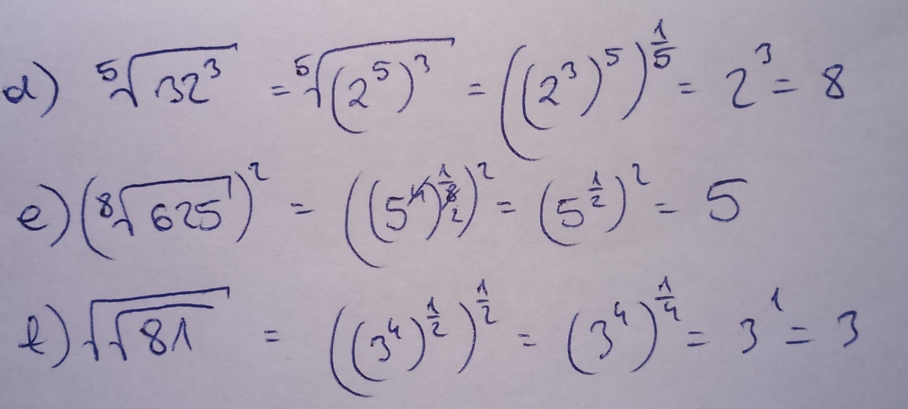
d)
pierwiastek 5stopnia z (32^3)=(32)^(3/5)=(2^5)^(3/5)=2^3=8
e)(pierwiastek 8stopnia z(625))^2=((625)^(1/8))^2=(625)^(1/4)=(5^4)^(1/4)=5
Dodawanie komentarzy zablokowane - Zgłoś nadużycie
2 0
werner2010 7.5.2015 (21:33)
rozwiązanie na zdjęciu
Załączniki
Dodawanie komentarzy zablokowane - Zgłoś nadużycie