Treść zadania

lidzia12124

Bardzo bardzo proszę o pomoc jeszcze z dwoma zadaniami.

1) Narysuj w jednym układzie współrzędnych wykresy funkcji f(x)=3^x i g(x)= (1/3)^x

2) Zapisz w najprostszej postaci:
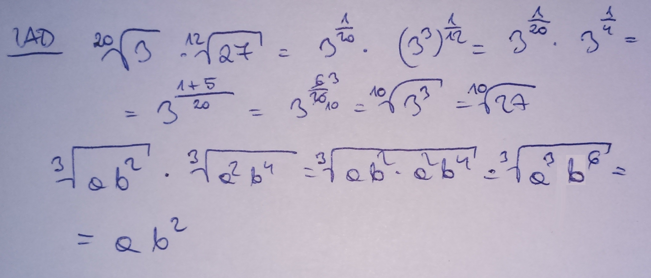
a) pierwiastek 20 stopnia z 3 * pierwiastek 12 stopnia z 27
b) pierwiastek 3 stopnia z a*b^2 * pierwiastek 3 stopnia z a^2b^4

Z góry bardzo dziękuję

Zadanie jest zamknięte. Autor zadania wybrał już najlepsze rozwiązanie lub straciło ono ważność.

Najlepsze rozwiązanie

Rozwiązania

Podobne zadania

mania1408-k1 proszę o pomoc zadania na jutro. Przedmiot: Matematyka / Liceum 2 rozwiązania autor: mania1408-k1 13.4.2010 (16:43)
mania1408-k1 proszę o pomoc zadania na jutro. Przedmiot: Matematyka / Liceum 1 rozwiązanie autor: mania1408-k1 13.4.2010 (16:49)
CyborgR Prosze o pomoc, krotkie zadanie. Przedmiot: Matematyka / Liceum 2 rozwiązania autor: CyborgR 17.4.2010 (18:13)
mala53 Bardzo proszę o pomoc! Przedmiot: Matematyka / Liceum 1 rozwiązanie autor: mala53 19.4.2010 (11:00)
mania1992 proszę o pomoc!! (geometria płaska) zadania na wtorek. Przedmiot: Matematyka / Liceum 1 rozwiązanie autor: mania1992 24.4.2010 (13:10)

Podobne materiały

Przydatność 80% Pierwsza pomoc - pomoc przedmedyczna

Pierwsza Pomoc Przedmedyczna Pierwsza pomoc przedmedyczna to czynności ratownika (osoby udzielającej pierwszą pomoc) prowadzące do zabezpieczenia i utrzymania przy życiu osoby poszkodowanej, do czasu przyjazdu wykwalifikowanych służb. Etapy pierwszej pomocy 1. ocena sytuacji 2. zabezpieczenie miejsca zdarzenia 3. ocena stanu poszkodowanego 4. wezwanie pomocy - 999 ? Pogotowie...

Przydatność 80% Moje refleksje o świecie inspirowane dwoma wierszami.

Rola poezji w naszym życiu jest ogromna. Dosyć często zdarza się jednak, że zupełnie nie zdajemy sobie z tego sprawy. Zapatrzeni w samych siebie biegniemy do przodu, ku nowym wydarzeniom, nie oglądając się w tył. Poeci jednak nie próżnują. To oni w głównej mierze tworzą historię, która nas otacza. I to właśnie oni potrafią ją perfidnie zmienić, zatuszować pewne fakty,...

Przydatność 60% Renesans bardzo ogolnie.

Renesans, inaczej odrodzenie – jest to epoka w dziejach kultury europejskiej, trwająca od XV do XVI wieku (we Włoszech już od XIV wieku. Termin „odrodzenie został użyty po raz pierwszy przez Vasariego w celu scharakteryzowania tendencji w malarstwie włoskim. Literatura – Głównym prądem renesansu był humanizm. Wśród dziedzin sztuki uprzywilejowane miejsce wyznaczono sztuce....

Przydatność 50% Pierwsza pomoc

UDZIEANIE PIERWSZEJ POMOCY POSZKODOWANYM RANY Rany należą do najczęszczych uszkodzeń urazowych i w większości powstają w następstwie nieszczęśliwych wypadków. Niektóre zranienia wymagają natychmiastowego opatrzenia z uwagi na stan zagrożenia życia. Inne natomiast nie zagrażają życiu, wymagają jedynie doraźnej pomocy, co wcale nie znaczy, że można je lekceważyć....

Przydatność 55% Pierwsza pomoc

PIERWSZA POMOC TELEFONY ALARMOWE numer pogotowia ratunkowego: 999numer telefonu alarmowego telefonii komórkowej: 112 Wzywając pogotowie ratunkowe należy podać krótkie i konkretne informacje o stanie chorego. Powinny zawierać informacje takie jak:- krótki opis zdarzenia,- jaki czas minął od zdarzenia,- aktualny stan chorego: a) czy oddycha, b) czy ma tętno na tętnicy szyjnej,...

0 odpowiada - 0 ogląda - 2 rozwiązań

Dodaj zadanie

Zobacz więcej opcji