Treść zadania

Sailor_Moon

Zadanie 21.
Cena pewnego towaru najpierw zmalała o 20%, a następnie wzrosła o 20%. Oblicz, o ile procent obecna cena jest niższa od początkowej.


Zadanie 23.
Liczba x1 = log{_3}9 jest miejscem zerowym funkcji f(x) = 2x^2 +\ bx\ -\ 12 . Znajdź drugie miejsce zerowe tej funkcji.


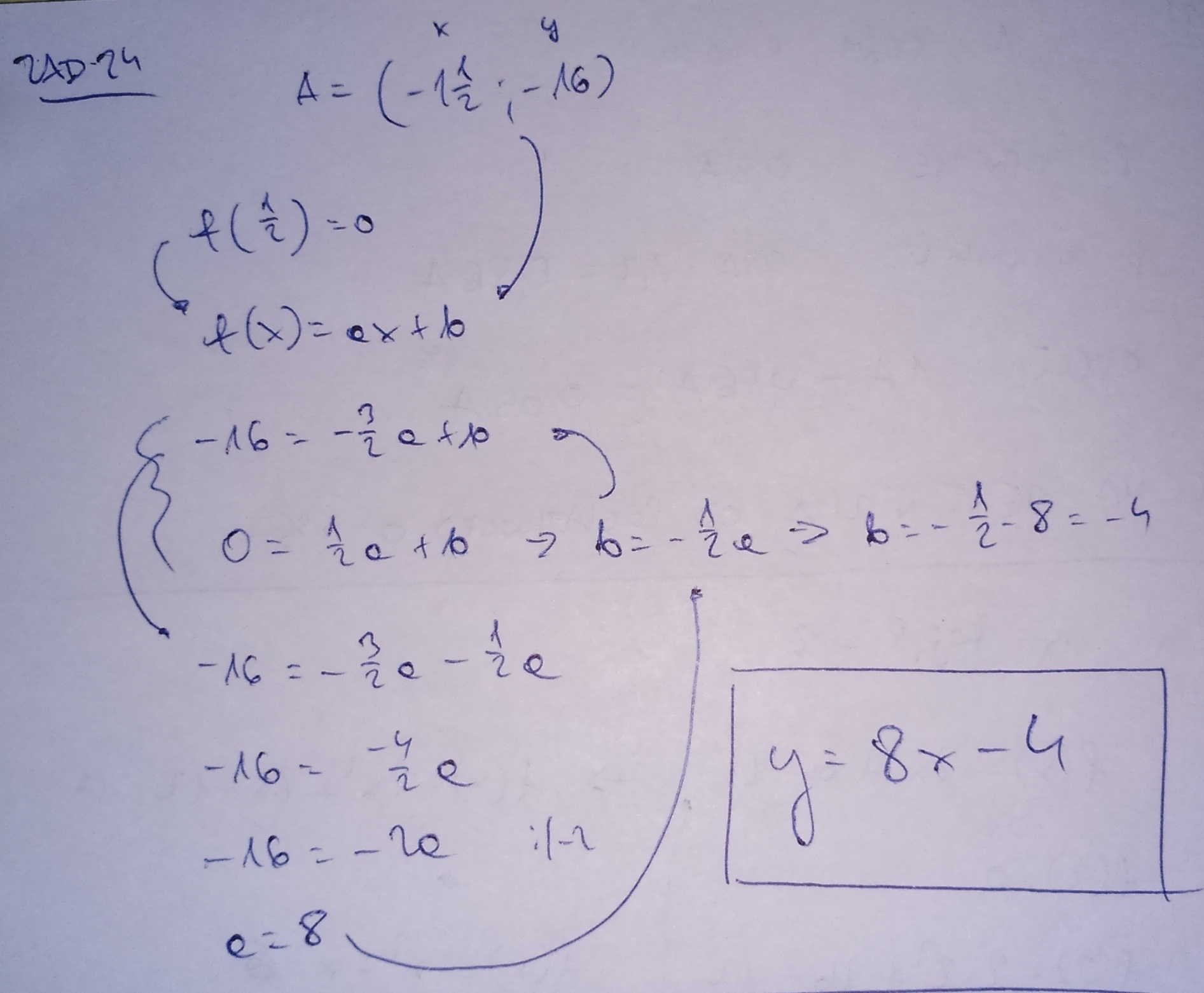
Zadanie 24.
Do wykresu funkcji liniowej należy punkt A = ( - 1 \frac{1}{2}\ ,\ -16) a jej miejscem zerowym jest liczba \frac{1}{2} . Wyznacz wzór tej funkcji.


Zadanie 26.
Wykaż, że ciąg a_n\ = \frac{1}{2}n \ +\ 3 \frac{1}{2} jest arytmetyczny.

Zadanie jest zamknięte. Autor zadania wybrał już najlepsze rozwiązanie lub straciło ono ważność.

Najlepsze rozwiązanie

Rozwiązania

Podobne zadania

hmm Badanie trójmianu kwadratowego - zadanie optymalizacyjne. Przedmiot: Matematyka / Liceum 1 rozwiązanie autor: hmm 29.3.2010 (18:21)
lestat919 zadanie - promień okręgu Przedmiot: Matematyka / Liceum 1 rozwiązanie autor: lestat919 6.4.2010 (18:17)
bombecka88 Zadanie matematyka pomocy Przedmiot: Matematyka / Liceum 1 rozwiązanie autor: bombecka88 14.4.2010 (11:45)
mania1408-k1 Zadanie matematyka pomocy-pola trójkątów podobnych. Przedmiot: Matematyka / Liceum 1 rozwiązanie autor: mania1408-k1 14.4.2010 (12:58)
mania1408-k1 Zadanie matematyka pomocy-pola trójkątów podobnych. Przedmiot: Matematyka / Liceum 1 rozwiązanie autor: mania1408-k1 14.4.2010 (13:00)

Podobne materiały

Przydatność 65% Cena

Patrz załącznik - ściąga gotowa do druku:)

Przydatność 65% Cena

CENA - czyli ilość pieniędzy, który musi wydać nabywca z związku z zakupem określonego produktu, jest jednym zważniejszych elementów wykorzystywanych przez przedsiębiorstwa przy podejmowaniu decyzji marketingowych. Gdy na rynku występuje dużo konkurencyjnych produktów, które zaspokajają tę samą potrzebe, klijent może zrezygnować z jednego produktu na rzecz innego,...

Przydatność 65% Cena

CENA, ilość pieniędzy, za którą można nabyć jednostkę towaru, dobra lub usługi; zmiany ceny są środkiem, za pomocą którego w procesie konkurencji zostaje określona w gospodarce wolnorynkowej alokacja zasobów. Cena detaliczna, cena sprzedaży w handlu detalicznym; obejmuje cenę hurtową, zwiększoną o marżę detaliczną; cena hurtowa, cena sprzedaży przedsiębiorstw handlu...

Przydatność 80% Swoboda przepływu towaru

Swoboda przepływu towarów Podstawową zasadą rządzącą obrotem towarowym pomiędzy państwami członkowskimi UE jest zasada swobody przepływu towarów. Oznacza ona, że na obszarze państw członkowskich UE towary mogą być przemieszczane bez jakichkolwiek utrudnień. Nie ma bowiem żadnych kontroli w obrocie między państwami członkowskimi, a jednocześnie towar wprowadzony legalnie...

Przydatność 75% Cena minimalna, cena maksymalna

CENA MINIMALNA - to cena urzędowa, poniżej której nie wolno sprzedawać danego towaru. Ustalenie ceny minimalnej następuje na wniosek producentów; jest ona zawsze wyższa od ceny równowagi. Wprowadzenie ceny minimalnej wymaga równoczesnego przeciwdziałania zmniejszeniu popytu na rynku CENA MAKSYMALNA - to cena urzędowa, powyżej której nie mogą być zawierane transakcje na dane...

0 odpowiada - 0 ogląda - 1 rozwiązań

Dodaj zadanie

Zobacz więcej opcji