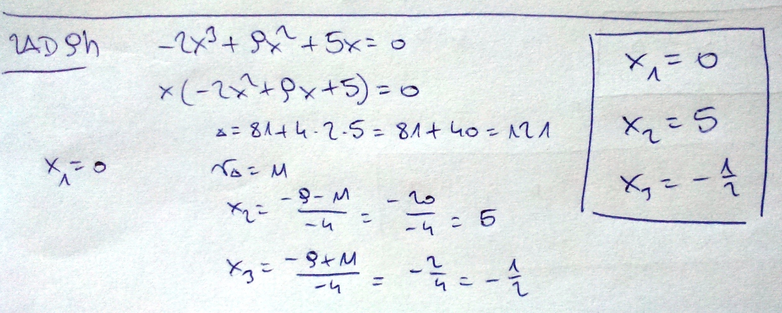
Treść zadania

WazuQ

Witam. Proszę o pomoc w rozwiązaniu tego zadania. Pilnie potrzebuję

Załączniki do zadania

Zadanie jest zamknięte. Autor zadania wybrał już najlepsze rozwiązanie lub straciło ono ważność.

Najlepsze rozwiązanie

Rozwiązania

Podobne zadania

mania1408-k1 proszę o pomoc zadania na jutro. Przedmiot: Matematyka / Liceum 2 rozwiązania autor: mania1408-k1 13.4.2010 (16:43)
mania1408-k1 proszę o pomoc zadania na jutro. Przedmiot: Matematyka / Liceum 1 rozwiązanie autor: mania1408-k1 13.4.2010 (16:49)
kleopatra_1992 Obliczenie boków trójkąta oraz miar kątów ostrych tego trójkąta. Przedmiot: Matematyka / Liceum 1 rozwiązanie autor: kleopatra_1992 16.4.2010 (19:58)
CyborgR Prosze o pomoc, krotkie zadanie. Przedmiot: Matematyka / Liceum 2 rozwiązania autor: CyborgR 17.4.2010 (18:13)
mala53 Bardzo proszę o pomoc! Przedmiot: Matematyka / Liceum 1 rozwiązanie autor: mala53 19.4.2010 (11:00)

Podobne materiały

Przydatność 50% Bohater romantyczny - relikt przeszłości czy pilnie poszukiwany.

Uważam, że bohater romantyczny jest reliktem przeszłości. W celu uzasadnienia mojego zdania opisze postacie literackie na przykładzie, których uzasadnię moją opinię. Zanim przystąpię jednak do przytaczania konkretnych przykładów napisze, kim w ogóle jest nasz „bohater romantyczny”, czym się charakteryzuje, jak go rozpoznać. „Słownik Encyklopedii Języka...

Przydatność 65% Człowiek potrzebuje wiary – człowiek potrzebuje Boga

Motto: „Człowiek potrzebuje wiary – człowiek potrzebuje Boga.” Szanowni zebrani, koleżanki i koledzy chciałbym dzisiaj wypowiedzieć się na temat potrzeby wiary a w szczególności wiary w Boga. Trudno nawet dokładnie zdefiniować kim jest Bóg? Wiemy, że podobno jest dobry, sprawiedliwy, miłosierny, ale czy On naprawdę jest? Żeby żyć musimy oddychać, jeść, pić,...

Przydatność 75% Czy człowiek potrzebuje zmian?

Czy człowiek potrzebuje zmian? Otóż uważam, że owszem. Ludzie, gdy nie zmieniają się, swojego stylu ubierania się, pracy, otoczenia, czy miejsca zamieszkania, mają wrażenie, iż nie rozwijają się. Często boimy się zmian, tego, że gdy już się na nie zdecydujemy, to okaże się ona zmianą na gorsze. Fakt, że ktoś staje się inny lub coś staje inne niż dotychczas przeraża...

Przydatność 60% Każdy potrzebuje przyjaciela - rozprawka

W mojej pracy rozważę tezę dotyczącą tematu : Każdy potrzebuje przyjaciela. Jest to zagadnienie, które jest problemem mojej dzisiejszej rozprawki. Według mnie twierdzenie, że każdy potrzebuje przyjaciela jest prawdą. Wszystko co człowiek robi z przyjacielem jest przyjemnością. Przytoczę kilka argumentów aby potwierdzić swoją tezę: Rozpocznę od najważniejszego dla mnie...

Przydatność 50% Czy współczesny świat potrzebuje Judymów.

Doktor medycyny( chirurg). Idealista walczący o dobro najbiedniejszych. Człowiek, który zdobył swoje wykształcenie z ogromnym trudem i dzięki ogromnej sile woli. Samotnik z wyboru. Taki właśnie pragnął być Stefan Żeromski- pragnął mieć wybór. Uniemożliwiła mu to choroba. Zmuszony do opuszczenia szkoły, zmuszony do odstąpienia od swojej pierwszej prawdziwej miłości...

0 odpowiada - 0 ogląda - 1 rozwiązań

Dodaj zadanie

Zobacz więcej opcji