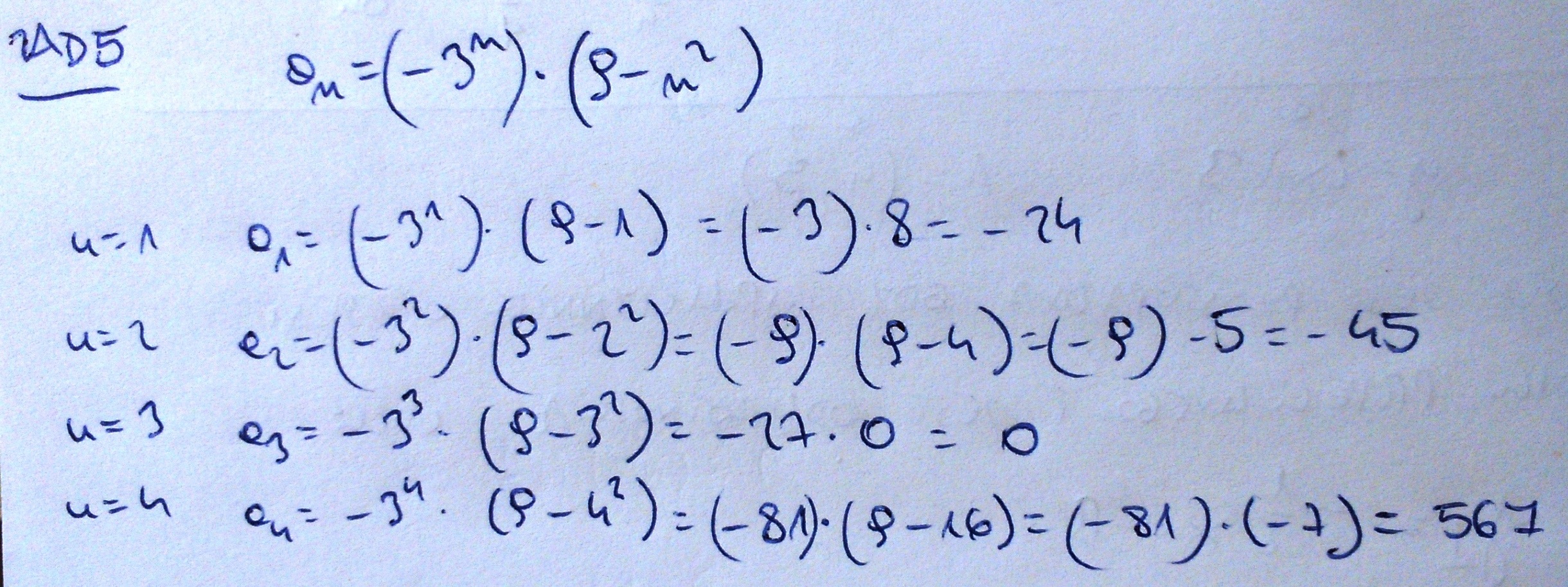
Treść zadania

kasia7-

potrzebne na jutro

Załączniki do zadania

Zgłoś nadużycie

Komentarze do zadania

  • Podziel to proszę na części po 2 zadania
    (załącznik ten sam, tylko podaj numery zadań)
    Za dużo na jeden raz!

Zadanie jest zamknięte. Autor zadania wybrał już najlepsze rozwiązanie lub straciło ono ważność.

Najlepsze rozwiązanie

Rozwiązania

  • antekL1

    Patrz komentarz. Masz ty dwa pierwsze zadania, aby nie tracić wpisu.

    1)
    Prosta równoległa do danej ma ten sam współczynnik przy "x" czyli postać:

    y = (1/4)x + b

    Współczynnik "b" wyznaczamy podstawiając wsp. punktu A:

    5 = (1/4) * (-4) + b ; stąd:
    b = 5 - (1/4) * (-4)
    b = 5 + 1
    b = 6

    Szukane równanie prostej: y = (1 / 4) x + 6
    ======================

    2)
    Zakładamy, że mianownik jest niezerowy czyli x jest różne od 2.
    Dziedzina:

    D = R - { 2 }

    Teraz można wymnożyć proporcję "na krzyż", dostajemy:

    4(3x - 4) = -3(2 - x) ; stąd:
    12x - 16 = -6 + 3x ; porządkujemy:
    9x = 10 ; stąd:

    x = 10 / 9
    ======================

Podobne zadania

mania1408-k1 proszę o pomoc zadania na jutro. Przedmiot: Matematyka / Liceum 2 rozwiązania autor: mania1408-k1 13.4.2010 (16:43)
mania1408-k1 proszę o pomoc zadania na jutro. Przedmiot: Matematyka / Liceum 1 rozwiązanie autor: mania1408-k1 13.4.2010 (16:49)
adambarte Proszę na jutro!plz Przedmiot: Matematyka / Liceum 2 rozwiązania autor: adambarte 15.4.2010 (23:40)
MrAnulka wielomiany-na jutro - proszę pomóżcie Przedmiot: Matematyka / Liceum 3 rozwiązania autor: MrAnulka 18.4.2010 (19:39)
mania1408-k1 Pole i wycinek koła.pomocy ! zadania na jutro. Przedmiot: Matematyka / Liceum 1 rozwiązanie autor: mania1408-k1 20.4.2010 (15:12)

Podobne materiały

Przydatność 60% Witaminy potrzebne do rozwoju

Witaminy i składniki mineralne są niezbędne do prawidłowego wzrostu i rozwoju organizmu. Nie mogą zostać wytworzone w organizmie i muszą być przyjmowane z dietą. Jest wiele witamin i składników mineralnych, których nasz organizm potrzebuje. Aby zapewnić dzieciom zdrowy wzrost i rozwój oraz zapobiec niedoborom u dorosłych, ustalono zalecaną dzienną dawkę tych składników....

Przydatność 75% Czy marzenia są potrzebne?

Marzenia to nasze skarby .W nich obieramy cel i kierunek. Bez marzeń nie ma życia. Każdy człowiek, o czymś myśli, o czymś marzy – gdy by nie marzył, nie doszedłby nigdzie. Fantazjujemy na co dzień. Wymyślamy coś co dla nas będzie miłe i przyjemne. Myślimy o sukcesach, miłości lub pieniądzach. Bez takich rozmyślań nie mielibyśmy do czego dążyć, w czym trwać....

Przydatność 85% Czy marzenia sa potrzebne ?

Zdecydowanie tak! Teraz przedstawcie argumenty na potwierdzenie tego zagadnienia. Po pierwsze bez marzeń nie ma życia, to w nich obieram sobie swój cel i kierunek. Każdy człowiek o czymś marzy, bez tego nie doszedłby by nigdzie. Marzymy o lepszej ocenie, o sukcesach w pracy, o naszej przyszłości. Chyba nie ma na świecie człowieka, który chociaż raz nie oddałby się marzeniom....

Przydatność 65% Czy powstania były potrzebne? - rozprawka

W XIX w. nasza ojczyzna znalazła się pod zaborami : rosyjskim, pruskim i niemieckim. Polska znalazła się w bardzo trudnej sytuacji gospodarczej, ekonomicznej i politycznej. Trzech zaborców postanowiło w sposób okrutny i bezwzględny rozprawić się z Polską raz na zawsze. Nasi rodacy oczywiście za wszelką cenę chcieli odzyskać niepodległość i utworzyć suwerenne państwo....

Przydatność 75% Czy dziś potrzebne są autorytety?

Autorytet- coś niezwykle potrzebnego w dzisiejszym świecie. Współczesne życie staje się z dnia na dzień coraz trudniejsze. W mediach coraz częściej słyszy się o napadach, kradzieżach, zabójstwach. Wśród młodzieży szerzy się agresja, brakuje jej autorytetów, rodzice, zapracowani, nie zdają sobie sprawy z tego, jak istotna jest każda chwila spędzona z dziećmi. Ludzie,...

0 odpowiada - 0 ogląda - 2 rozwiązań

Dodaj zadanie

Zobacz więcej opcji