Treść zadania
Autor: ~iga Dodano: 6.4.2015 (11:47)
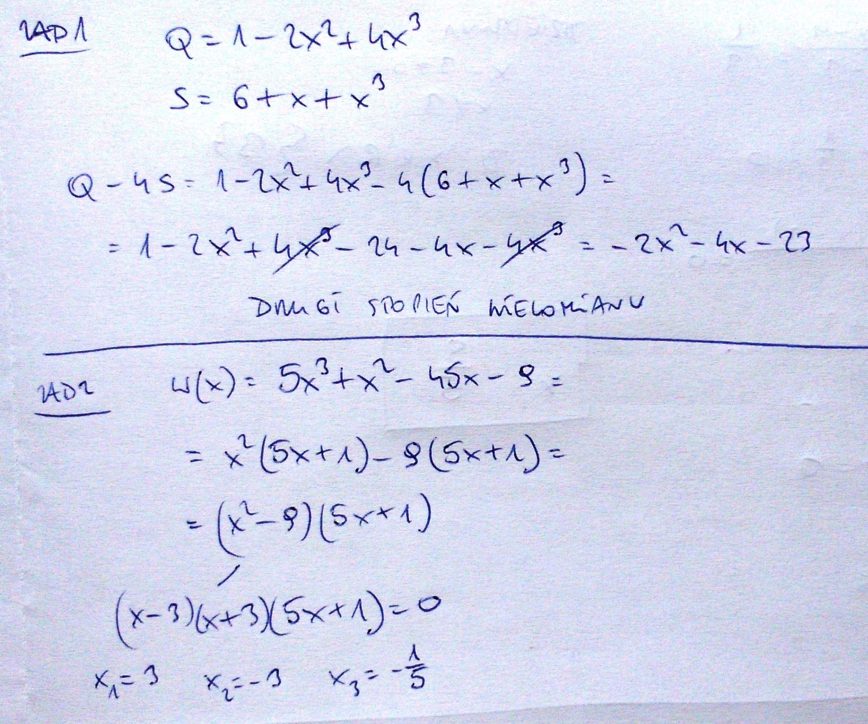
1. Dany jest wielomian Q= 1-2x^2+ 4x^3 i S=-6+x+x^3.
Zbuduj Wiolomian Q-4S. podaj stopień tego wielomianu.
2. Rożłóż wielomian na czynniki pierwsze i wyznacz jego pierwiastki:
W(x)= 5x^3+x^2- -45x-9
3. Określ dziedzinę i rozwiąż równanie:
a) 7/ x+6= x
b) 2x-4/x-3= 1/3
Zadanie jest zamknięte. Autor zadania wybrał już najlepsze rozwiązanie lub straciło ono ważność.
Rozwiązania
Podobne zadania
|
|
1 rozwiązanie | autor: pawel 24.3.2010 (16:28) |
|
|
2 rozwiązania | autor: MartaGrzeszczak1 29.3.2010 (17:43) |
|
|
1 rozwiązanie | autor: lusi1069 30.3.2010 (16:42) |
|
|
1 rozwiązanie | autor: gosiaczek90 7.4.2010 (19:15) |
|
|
1 rozwiązanie | autor: aluszacedro 12.4.2010 (15:17) |
Podobne materiały
Przydatność 80% Przyczyny nie wstąpinia Dani, Szwecji i Wielkiej Brytani do EGW
Dania, Szwecja i Wielka Brytania nie są dotychczas pełnymi członkami Unii Gospodarczej i Walutowej i nie wchodzą do obszaru euro. Sytuacja ta może ulec zmianie i wszystkie one, bądź tylko niektóre, w perspektywie najbliższych lat mogą zrezygnować z własnego pieniądza na rzecz euro. Decyzja instytucji UGW w tej sprawie będzie mogła zostać podjęta zgodnie z procedurą...
Przydatność 85% Analizując dany fragment powieści, zwróć uwagę na prezentowane przez bohaterów racje. Wnioski z analizy wykorzystaj w pracy: „Przedwiośnie” jako powieść – dyskusja nad kształtem odrodzonej Polski.
Przedwiośnie jest to jedna z najważniejszych powieści Stefana Żeromskiego napisana w dwudziestoleciu międzywojennym. Głównym bohaterem tego utworu jest młody Cezary Baryka, który podczas życia w Rosji i Polsce kreuje swoją postawę wobec sytuacji wolnego państwa polskiego. Podany fragment przedstawia scenę dyskusji Cezarego z Szymonem Gajowcem, wysokim urzędnikiem Skarbu Państwa,...
0 odpowiada - 0 ogląda - 1 rozwiązań
1 0
werner2010 6.4.2015 (13:03)
rozwiązania na zdjęciach
Załączniki
Dodawanie komentarzy zablokowane - Zgłoś nadużycie