Treść zadania

Konto usunięte

Funkcja wykładnicza i logarytmiczna!
Zadanie 6.6.8
Zadanie 6.6.9

Załączniki do zadania

Zadanie jest zamknięte. Autor zadania wybrał już najlepsze rozwiązanie lub straciło ono ważność.

Najlepsze rozwiązanie

Rozwiązania

  • antekL1

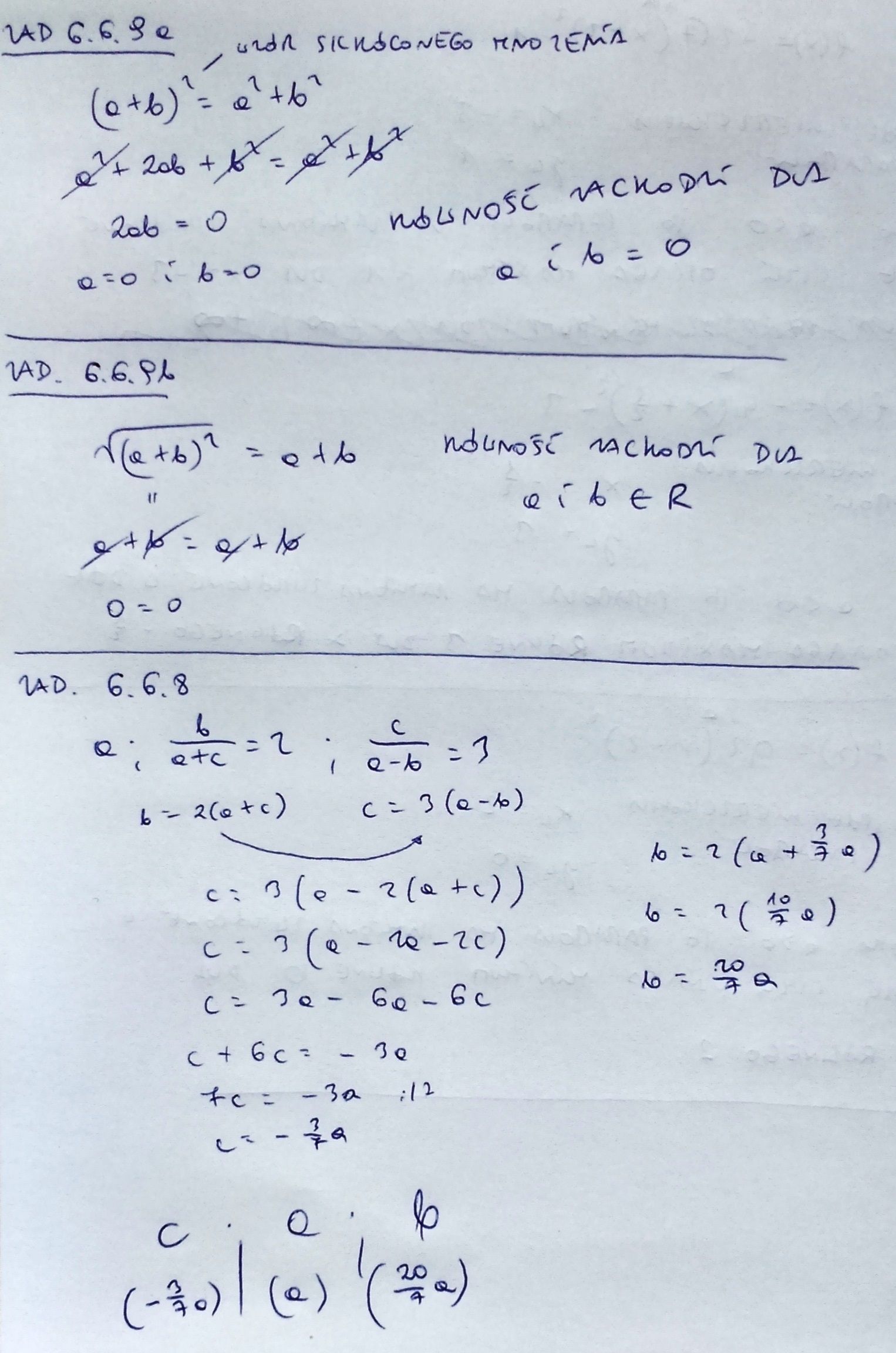
    6.6.8
    Wykluczmy najpierw zera w mianowniku czyli
    c ma być różne od - a
    b ma być różne od a.
    Teraz możemy pomnożyć oba równania przez mianowniki, co daje:

    b = 2a + 2c <-------- pierwsze równanie
    c = 3a - 3b <--------- drugie równanie

    Podstawiamy "b" z pierwszego równania do drugiego:

    c = 3a - 3(2a + 2c) ; czyli, po wymnożeniu nawiasu
    c = 2a - 6a - 6c ; czyli, po przeniesieniu 6c i 6a na lewo
    7c + 4a = 0 ; czyli
    c = - (4/7)a ; "c" musi być ujemne, skoro "a" jest dodatnie

    Z pierwszego równania:

    b = 2a + 2 * (-4/7)a = (14/7)a - (4/7)a = (10/7)a ; czyli b > a, bo "a" jest dodatnie.

    Ustawiamy: c < a < b. Założenia początkowe są spełnione.
    ===========================

    [ czytaj dalej ^2 jako "do kwadratu" ]

    6.6.9
    a)
    Lewa strona to: a^2 + 2ab + b^2 ; [ wzór skróconego mnożenia ]
    Aby równało się to prawej stronie to iloczyn 2ab = 0. Czyli
    Albo: a = 0; b - dowolne
    Albo: b = 0; a - dowolne
    Zauważ, że a = 0, b = 0 też jest dozwolone.
    Jeśli potrzebny jest "formalny" zapis to para (a,b) należy do zbioru Z:

    Z = \{\,(a=0\,\, \wedge \,\, b \in R)\,\,\vee \,\,(b=0\,\, \wedge \,\, a \in R)\,\}

    Nie wiem, jak to zapisujecie, może tak:

    Z = \{\, (a,b)\,:\,(a=0\,\, \wedge \,\, b \in R)\,\,\vee \,\,(b=0\,\, \wedge \,\, a \in R)\,\}

    b)
    Założenia - brak, bo pod pierwiastkiem jest kwadrat
    czyli nieujemna liczba.
    Obie strony podnosimy do kwadratu, pozbywając się pierwiastka.

    (a + b)^2 = (a + b)^2
    Jest to tożsamość, czyli wszystkie liczby rzeczywiste pasują.
    Para (a,b) należy do zbioru Z:

    Z = \{\,(a \in R) \wedge (b\in R)\,\}

    lub:

    Z = \{(a,b)\,:\,\,(a \in R) \wedge (b\in R)\,\}

    Jak poprzednio - nie znam Waszego zapisu,
    w ogóle nie znam programu liceum, w moim wieku to po prostu
    "intuicyjnie" się rozwiązuje tego typu zadania.

    Pytania - na priv.
    ===========================

Podobne zadania

Nieznany Funkcja liniowa Przedmiot: Matematyka / Liceum 1 rozwiązanie autor: Konto usunięte 2.4.2010 (19:51)
acapella1222 Funkcja kwadratowa !!!!!!!!!!!!!!!!!!!!! Przedmiot: Matematyka / Liceum 1 rozwiązanie autor: acapella1222 7.4.2010 (21:08)
kamcia07-15 Funkcja liniowa Przedmiot: Matematyka / Liceum 2 rozwiązania autor: kamcia07-15 18.4.2010 (19:59)
kp93 Dana jest funkcja f, określona w zbiorze R. Przedmiot: Matematyka / Liceum 1 rozwiązanie autor: kp93 21.4.2010 (15:40)
aga222 Funkcja liniowa Przedmiot: Matematyka / Liceum 1 rozwiązanie autor: aga222 21.4.2010 (21:38)

Podobne materiały

Przydatność 50% Funkcja jeżeli

funkcja jeżeli

Przydatność 55% Funkcja skóry

Funkcja skóry: 1.ochrona przed bakteriami 2.ochrona przed promieniami UV 3.wymiana gazowa 4.funkcja potu: -informacja o dorosłości i stresie -regulacja temperatury ciała 5.funkcja łoju: -elastyczna skóra -ochrona przed bakteriami 6.funkcja paznokcia: -ochrona i zwiększenie dotyku 7.funkcja włosa: -ochrona przed potem i pyłem -regulacja temperatury...

Przydatność 55% Funkcja tkanki nabłonkowej

Główną funkcją tkanki nabłonkowej jest osłanianie ciała zwierzęcia od środowiska zewnętrznego lub wewnętrznego ( np. osłania jelito). Tworzy ona pokrycie ciała, wyściela światło jelita i naczyń krwionośnych. Tkanka nabłonkowa tworzy twory rogowe, np. pióra, paznokcie, łuski, rogi. Niektóre komórki nabłonka przekształciły się w komórki gruczołowe zdolne do...

Przydatność 50% Budowa i funkcja białek.

Budowa i funkcje białek Białka to podstawowe ,wielocząsteczkowe składniki wszystkich organizmów żywych , zbudowane z aminokwasów połączonych wiązaniami peptydowymi (wiązanie powstałe pomiędzy grupą karboksylowa jednego aminokwasu a grupą aminową drugiego) . Skład chemiczny białek : - węgiel 52% - tlen 22% - azot 16% - wodór...

Przydatność 75% Funkcja emotywna języka

Funkcja emotywna języka jest jedną z podstawowych funkcji mowy. Polega na wyrażaniu za pomocą wypowiedzi językowych, poprzez barwę głosu, jego siłę, wysokość pewnych cech nadawcy, np. jego stanu emocjonalnego. Na stan emocjonalny człowieka składają się emocje, które są bodźcami skłaniającymi nas do działania. Emocje to inaczej każde poruszenie czy zakłócenie umysłu,...

0 odpowiada - 0 ogląda - 2 rozwiązań

Dodaj zadanie

Zobacz więcej opcji