Treść zadania

Konto usunięte

Funkcja wykładnicza i logarytmiczna!
Zadanie 6.6.5
Zadanie 6.6.6
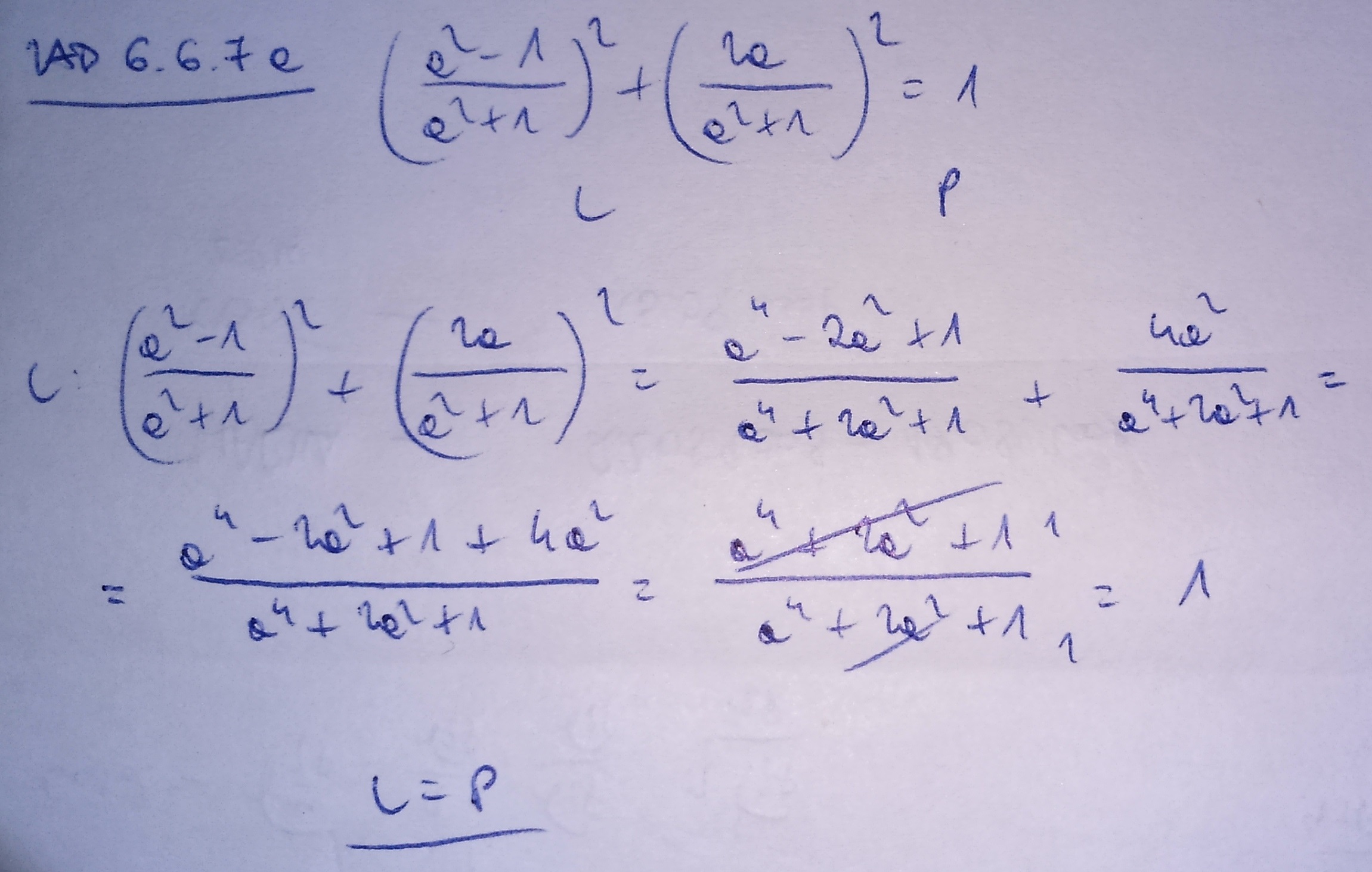
Zadanie 6.6.7

Załączniki do zadania

Zadanie jest zamknięte. Autor zadania wybrał już najlepsze rozwiązanie lub straciło ono ważność.

Najlepsze rozwiązanie

Rozwiązania

  • antekL1

    Autor tego zbioru zadań jest sadystą!
    W XXI wieku istnieją programy do symbolicznych obliczeń, google "wxmaxima".

    Przypominam reguły [ znaczek ^ to "do potęgi" ]
    -- pierwiastek(x) = x^(1/2)
    -- pierwiastek_stopnia_n(x) = x^(1/n)
    -- potęga do potęgi to mnożenie wykładników, dlatego
    pierwiastek(pierwiastek(x)) = x^(1/4)
    -- mnożenie potęg o tych samych podstawach to dodawanie wykładników
    x^y * x^z = x^(y+z)
    -- jeżeli coś jest w mianowniku to można to przenieść do licznika
    z ujemną potęgą czyli: 1 / x^y = x^(-y)

    Chyba tyle reguł wystarczy.
    ===================

    6.6.5
    a)
    = a^{1/2}\cdot a^{1/4}\cdot a^{2/3}\cdot a^{3/10}\cdot a^{-3/5}=a^{1/2+1/4+2/3+3/10-3/5}= a^{67/60}=a\,\sqrt[60]{a^7}

    b)
    = a^{-5/4}\cdot a^{2/(3\cdot 4)}= a^{-5/4 + 2/12} = a^{-13/12}=\frac{1}{a\,\sqrt[12]{a}}

    c)
    Tu jest dzielenie pod pierwiastkiem czyli będzie to a^2 razy a^(-1/2), jak niżej:

    =\sqrt[5]{a^{-2/3}\cdot \sqrt[3]{a^2\cdot a^{-1/2}}}=a^{-2/15}\cdot a^{2/15}\cdot a^{-1/30}=a^{-2/15+2/15-1/30}=a^{-1/30}=\frac{1}{\sqrt[30]{a}}

    ==================

    6.6.6
    a)
    Obie ujemne potęgi zamieniamy na dodatnie wymieniając licznik z mianownikiem.
    Potem różnicę sprowadzamy do wspólnego mianownika.

    =(a+b)-\frac{a^2+b^2}{a-b}= \frac{(a-b)(a+b)-a^2-b^2}{a-b}=\frac{a^2-b^2-a^2-b^2}{a-b}=\frac{-2b^2}{a-b}

    b)
    Od razu do wspólnego mianownika, używamy wzoru skróconego mnożenia
    do mianownika, a w liczniku też się trochę poskraca.
    Przyznaję, że za szybko, użyłem "wmmaxima" - zresztą w pozostałych zadaniach też.

    =\frac{(a+1)\left(a-\sqrt{a^2+a} \right )+(a-1)\left(a+\sqrt{a^2+a} \right )}{a^2-a^2 - a}=\frac{2a^2 - 2\sqrt{a^2+a}}{-a}= -2a+\frac{2\sqrt{a^2+a}}{a}==================Proszę umieść 6.6.7 osobno, bo ten tekst staje się za długi!

    • Pisz na priv w razie pytań 6.6.5 (c) na końcu jest:
      1 / pierwiastek_stopnia 30 (a) - o ile nie wystarczy "a^(-1/30)"

    • Przepraszam Cię , nie zmieściła się całość w ostatniej linii,
      po prostu podziel licznik przez "a"; ja już tego nie mogę edytować :(

Podobne zadania

Nieznany Funkcja liniowa Przedmiot: Matematyka / Liceum 1 rozwiązanie autor: Konto usunięte 2.4.2010 (19:51)
acapella1222 Funkcja kwadratowa !!!!!!!!!!!!!!!!!!!!! Przedmiot: Matematyka / Liceum 1 rozwiązanie autor: acapella1222 7.4.2010 (21:08)
kamcia07-15 Funkcja liniowa Przedmiot: Matematyka / Liceum 2 rozwiązania autor: kamcia07-15 18.4.2010 (19:59)
kp93 Dana jest funkcja f, określona w zbiorze R. Przedmiot: Matematyka / Liceum 1 rozwiązanie autor: kp93 21.4.2010 (15:40)
aga222 Funkcja liniowa Przedmiot: Matematyka / Liceum 1 rozwiązanie autor: aga222 21.4.2010 (21:38)

Podobne materiały

Przydatność 50% Funkcja jeżeli

funkcja jeżeli

Przydatność 55% Funkcja skóry

Funkcja skóry: 1.ochrona przed bakteriami 2.ochrona przed promieniami UV 3.wymiana gazowa 4.funkcja potu: -informacja o dorosłości i stresie -regulacja temperatury ciała 5.funkcja łoju: -elastyczna skóra -ochrona przed bakteriami 6.funkcja paznokcia: -ochrona i zwiększenie dotyku 7.funkcja włosa: -ochrona przed potem i pyłem -regulacja temperatury...

Przydatność 55% Funkcja tkanki nabłonkowej

Główną funkcją tkanki nabłonkowej jest osłanianie ciała zwierzęcia od środowiska zewnętrznego lub wewnętrznego ( np. osłania jelito). Tworzy ona pokrycie ciała, wyściela światło jelita i naczyń krwionośnych. Tkanka nabłonkowa tworzy twory rogowe, np. pióra, paznokcie, łuski, rogi. Niektóre komórki nabłonka przekształciły się w komórki gruczołowe zdolne do...

Przydatność 50% Budowa i funkcja białek.

Budowa i funkcje białek Białka to podstawowe ,wielocząsteczkowe składniki wszystkich organizmów żywych , zbudowane z aminokwasów połączonych wiązaniami peptydowymi (wiązanie powstałe pomiędzy grupą karboksylowa jednego aminokwasu a grupą aminową drugiego) . Skład chemiczny białek : - węgiel 52% - tlen 22% - azot 16% - wodór...

Przydatność 75% Funkcja emotywna języka

Funkcja emotywna języka jest jedną z podstawowych funkcji mowy. Polega na wyrażaniu za pomocą wypowiedzi językowych, poprzez barwę głosu, jego siłę, wysokość pewnych cech nadawcy, np. jego stanu emocjonalnego. Na stan emocjonalny człowieka składają się emocje, które są bodźcami skłaniającymi nas do działania. Emocje to inaczej każde poruszenie czy zakłócenie umysłu,...

0 odpowiada - 0 ogląda - 2 rozwiązań

Dodaj zadanie

Zobacz więcej opcji