Treść zadania
Autor: wodospad Dodano: 8.3.2015 (12:54)
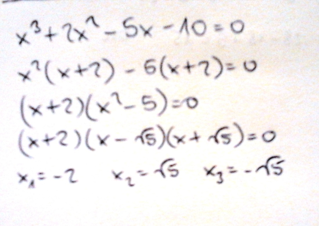
rozwiąż równanie wielomianowe .
x^3+2x^2-5x-10=0
Zadanie jest zamknięte. Autor zadania wybrał już najlepsze rozwiązanie lub straciło ono ważność.
Rozwiązania
Podobne zadania
|
|
2 rozwiązania | autor: kuba1jakub 23.9.2010 (23:03) |
|
|
1 rozwiązanie | autor: Darunia_lalunia 4.10.2010 (19:10) |
|
|
1 rozwiązanie | autor: monia1432 4.10.2010 (20:57) |
|
|
1 rozwiązanie | autor: zborski_15 7.11.2010 (18:59) |
|
|
1 rozwiązanie | autor: madzia0904 21.11.2010 (15:21) |
0 odpowiada - 0 ogląda - 2 rozwiązań
1 2
Waldemar 8.3.2015 (13:43)
Załącznik
Załączniki
Dodawanie komentarzy zablokowane - Zgłoś nadużycie
1 0
werner2010 8.3.2015 (14:45)
na zdjęciu rozwiązanie
Załączniki
Dodawanie komentarzy zablokowane - Zgłoś nadużycie