Treść zadania
Autor: Konto usunięte Dodano: 5.10.2014 (16:03)
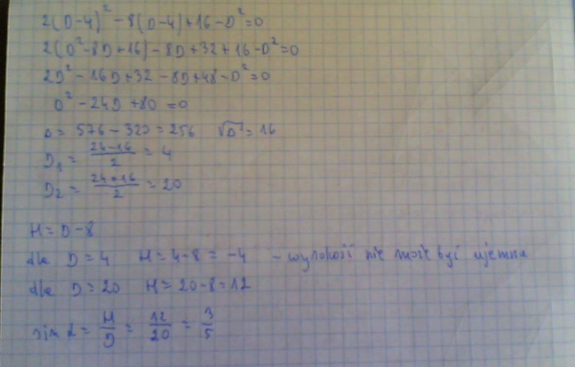
W graniastosłupie prawidłowym czworokątnym wysokość jest o 4 krótsza od przekątnej podstawy i o 8 krótsza od przekątnej graniastosłupa. Oblicz sin kąta alfa między przekątną graniastosłupa a płaszczyzną podstawy.
Podstawę ostrosłupa prawidłowego jest kwadrat wysokość ściany bocznej tego ostrosłupa jest równa 22 a tg kąta nachylenia ściany bocznej ostrosłupa do płaszczyzny jego podstawy jest równy 4 pierwiastki z 6 / . Oblicz długość krawędzi podstawy.
Zadanie jest zamknięte. Autor zadania wybrał już najlepsze rozwiązanie lub straciło ono ważność.
Najlepsze rozwiązanie
Rozwiązania
Podobne zadania
|
|
1 rozwiązanie | autor: pawel 24.3.2010 (16:28) |
|
|
2 rozwiązania | autor: MartaGrzeszczak1 29.3.2010 (17:43) |
|
|
1 rozwiązanie | autor: lusi1069 30.3.2010 (16:42) |
|
|
1 rozwiązanie | autor: gosiaczek90 7.4.2010 (19:15) |
|
|
1 rozwiązanie | autor: aluszacedro 12.4.2010 (15:17) |
Podobne materiały
Przydatność 75% Imigranci – dobrodziejstwo czy przekleństwo krajów wysoko rozwiniętych.
Imigranci stanowią nieodłączny element każdego społeczeństwa, cywilizacji czy kraju. Byli , są i będą obecni w życiu krajów, do których się udają. Największy odsetek ludności imigruje do krajów wysoko rozwinięty, bo to właśnie one dają im szanse zaistnieć. Do takich krajów zalicza się Stany Zjednoczone, Japonie, państwa Europy Zachodniej , Kanadę, Nową Zelandię,...
Przydatność 65% Porównanie krajów słabo i wysoko rozwiniętych gospodarczo
Temat: Porównaj kraje słabo i wysoko rozwinięte gospodarczo pod względem: a) Wskaźnika przyrostu naturalnego b) Struktury wieku c) Struktury płci d) Struktury zatrudnienia ad a) Wskaźnik przyrostu naturalnego Przyrost naturalny to różnica między liczbą urodzeń żywych a liczbą zgonów w ciągu określonego czasu. Aby...
Przydatność 55% Mierniki rozwoju gospodarczego państw słabo, średnio i wysoko rozwiniętych
Treść pracy w załączniku w pliku .doc
Przydatność 80% Dlaczego proces starzenia się społeczeństwa jest charakterystyczny dla społeczeństw wysoko rozwiniętych?
Jedną z charakterystycznych cech wysoko rozwiniętych społeczeństw jest postępujący proces ich starzenia się. Społeczeństwa te odnotowują znacznie niższy przyrost naturalny niż rozwijające się. Jest to spowodowane wieloma czynnikami charakterystycznymi dla krajów bogatych, będących na wysokim poziomie rozwoju gospodarczego. Postaram się wyjaśnić, na czym polega zjawisko...
0 odpowiada - 0 ogląda - 1 rozwiązań
1 0
Konto usunięte 5.10.2014 (17:14)
w załączniku
Załączniki
Dodawanie komentarzy zablokowane - Zgłoś nadużycie