Treść zadania
Autor: madziulka978 Dodano: 12.1.2014 (14:42)
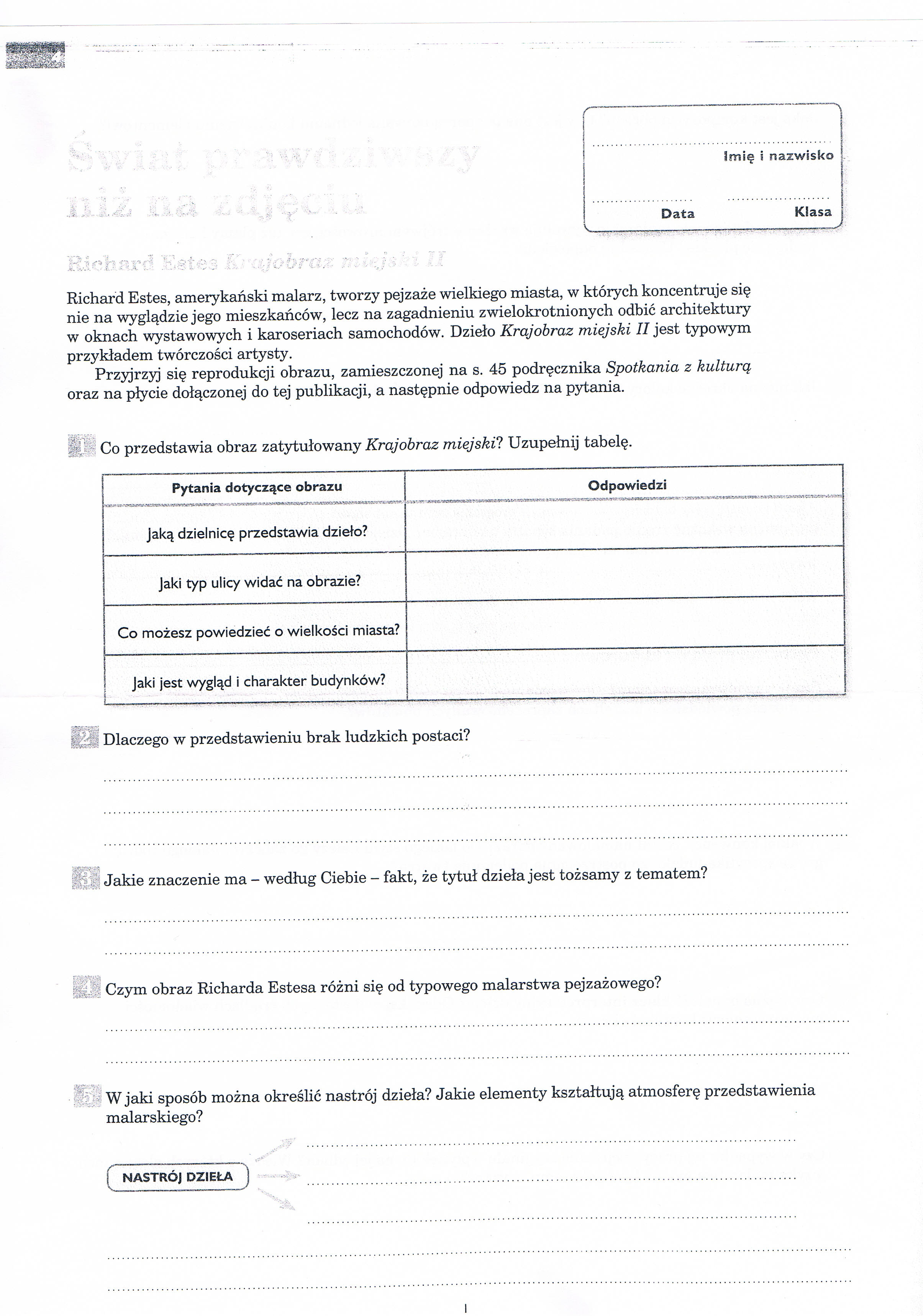
Hej, muszę na jutro uzupełnić tą kartę pracy i byłabym bardzo wdzięczna za pomoc! Z góry dziękuję! :)
Zadanie jest zamknięte. Autor zadania wybrał już najlepsze rozwiązanie lub straciło ono ważność.
Rozwiązania
Podobne zadania
|
|
1 rozwiązanie | autor: ala91knw 6.4.2010 (20:22) |
|
|
1 rozwiązanie | autor: majka82101 16.4.2010 (20:13) |
|
|
1 rozwiązanie | autor: mmonika1235 19.4.2010 (13:16) |
|
|
1 rozwiązanie | autor: mmonika1235 20.4.2010 (00:17) |
|
|
2 rozwiązania | autor: pepik535 22.4.2010 (21:36) |
Podobne materiały
Przydatność 80% Podział kart płatniczych
1. Karty parapłatnicze Karty płatnicze wydawane są w ramach organizacji płatniczych. Na świecie funkcjonuje wiele tego typu stowarzyszeń. W Polsce najpopularniejsze są karty wydawane w ramach organizacji MasterCard/EuroPay Int. oraz Visa Int. Kolejnym podziałem może być podział ze względu na sposób rozliczania. 1.1. Karty bankomatowe Karta bankomatowa (ang. cash card, ATM...
Przydatność 65% Pomoc w zdawaniu na karte motorowerową
Prosze zobaczyć załącznik
Przydatność 60% Opis Krzysia M.E.Letki "Jutro znów pójdę w świat. - Listy"
Bohater utworu M. E. Letki ”Jutro znów pójdę w świat. Listy” to Krzyś. Chłopiec ma 11 lat i jest osobą niepełnosprawną, chodzi o kuli. Jego zainteresowaniem jest kolekcjonowanie znaczków, chciałby się z kimś podzielić swoją pasją. Krzyś nie uczęszcza na lekcje wychowania fizycznego, ponieważ jest cienkim chuchrem. Ma z tego powodu same kompleksy i wstydzi się swojej...
Przydatność 80% Prawo pracy
l. OGÓLNE UWAGI O PRAWIE PRACY Podstawowym źródłem prawa pracy jest kodeks pracy z 1974 r. Kodeks pracy reguluje w sposób kompleksowy wszystkie podstawowe zagadnienia związane z pracowniczymi stosunkami pracy: zasady prawa pracy, formy nawiązania stosunku pracy i jego rozwiązanie, wynagrodzenie za pracę, obowiązki pracownika i obowiązki zakładu pracy, odpowiedzialność...
Przydatność 55% Poszukiwanie pracy
Dane statystyczne wykazują, że we wszystkich rozwijających się krajach występuje problem bezrobocia, różny jest jedynie jego poziom. Bezrobocie jest zjawiskiem, które polega na tym, że część ludzi pozostających w wieku produkcyjnym (kobiety 18-59 lat, męzczyźni 18-64 lat) pozostają bez pracy, mimo że mogliby oni i chcieli ją podjąć. W konsekwencji bezrobocia na rynku pracy...
0 odpowiada - 0 ogląda - 0 rozwiązań
Zgłoś nadużycie
Komentarze do zadania
Julaa8 12.1.2014 (14:54)
Niestety nie pomogę ci a ty mi pomożesz prosze to dla mnie ważne