Treść zadania
Autor: ~Gordon Dodano: 8.12.2013 (09:23)
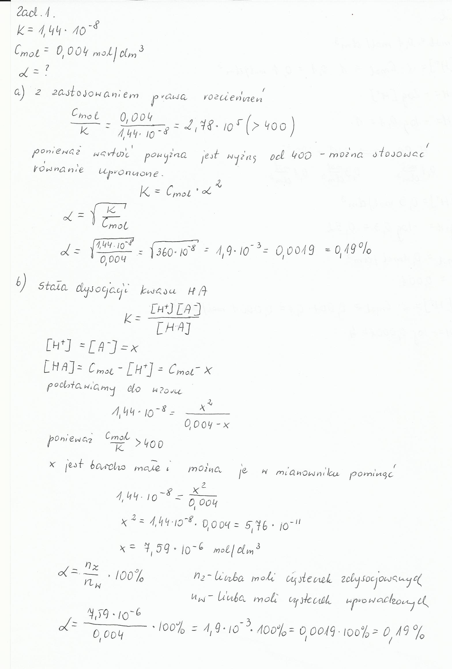
Oblicz stopień dysocjacji słabego kwasu HA, jeśli jego stała dysocjacji wynosi 1,44 x 10 -8 , a stężenie 0,004 mola/dm3 (oblicz z zastosowaniem i bez prawa rozcieńczeń).
Proszę o rozwiązanie, tylko tego jednego zadania mi brakuje. Z góry dziękuję za odpowiedź. Pozdrawiam!
Zadanie jest zamknięte. Autor zadania wybrał już najlepsze rozwiązanie lub straciło ono ważność.
Rozwiązania
Podobne zadania
|
|
1 rozwiązanie | autor: zania344 15.5.2010 (13:14) |
|
|
1 rozwiązanie | autor: paula24 9.6.2010 (14:28) |
|
|
1 rozwiązanie | autor: kasiatorzawa 2.10.2010 (14:43) |
|
|
3 rozwiązania | autor: antania1991 9.10.2010 (17:50) |
|
|
1 rozwiązanie | autor: 1wertyui 14.10.2010 (12:40) |
Podobne materiały
Przydatność 85% Oblicz masę cząsteczkową kwasu siarkowodorowego.
Wzór kwasu siarkowodorowego jest taki: H2S więc trzeba pomnożyć dwa razy masę atomową wodory i dodać masę siarki 2*1u+ 32u = 2u + 32u = 34u Odp. Masa cząsteczkowa H2S wynosi 34u.
Przydatność 50% Prezentacja multimedialna- "Proces dysocjacji"
W załączniku znajduje się prezentacja multimedialna na temat procesu dysocjacji, która może posłużyć jako referat.
Przydatność 65% Oblicze Ojczyzny
(praca z 1 klasy gima) słowa w wierszu "*** (oblicze ojczyzny)" Tadeusza Różewicza "na początku ojczyzna jest blisko, na wyciągnięcie ręki" oznaczają, że gdy jesteśmy jeszcze mali ojczyzna to rodzice, koledzy i koleżanki, to nasz dom, nasze podwórko. ważniejsze jest wtedy dla nas to, że koleżance zaginął kot, a nie że wielu ludzi nie ma pracy i nie ma za co wyżywić...
Przydatność 60% Stopy metali
Stopy metali Stop metali – jest mieszaniną dwóch lub większej ilości metali lub metalu z innymi pierwiastkami niemetalicznymi, doprowadzoną do temperatury powyżej temperatury topnienia, a następnie schłodzoną. Stop najczęściej posiada odmienne charakterystyki od jego elementów składowych. Struktury stopów metali Istnieją trzy sposoby na połączenie różnych...
Przydatność 60% Stopy fundamentowe
Stopy fundamentowe Stosuje się pod pojedyncze słupy lub pod kilka słupów, jeśli są one rozstawione niedaleko od siebie. Mają najczęściej kształt prostopadłościanu o podstawie kwadratu (gdy słup jest osiowo ściskany) lub prostokąta (gdy słup jest dodatkowo zginany). Stopy fundamentowe mogą być betonowe lub - gdy grunt jest słaby albo obciążenia przekazywane przez...
0 odpowiada - 0 ogląda - 1 rozwiązań
2 0
ewka13 8.12.2013 (11:51)
Rozwiązanie w załączniku...
Załączniki
Dodawanie komentarzy zablokowane - Zgłoś nadużycie