Treść zadania

Antek1255

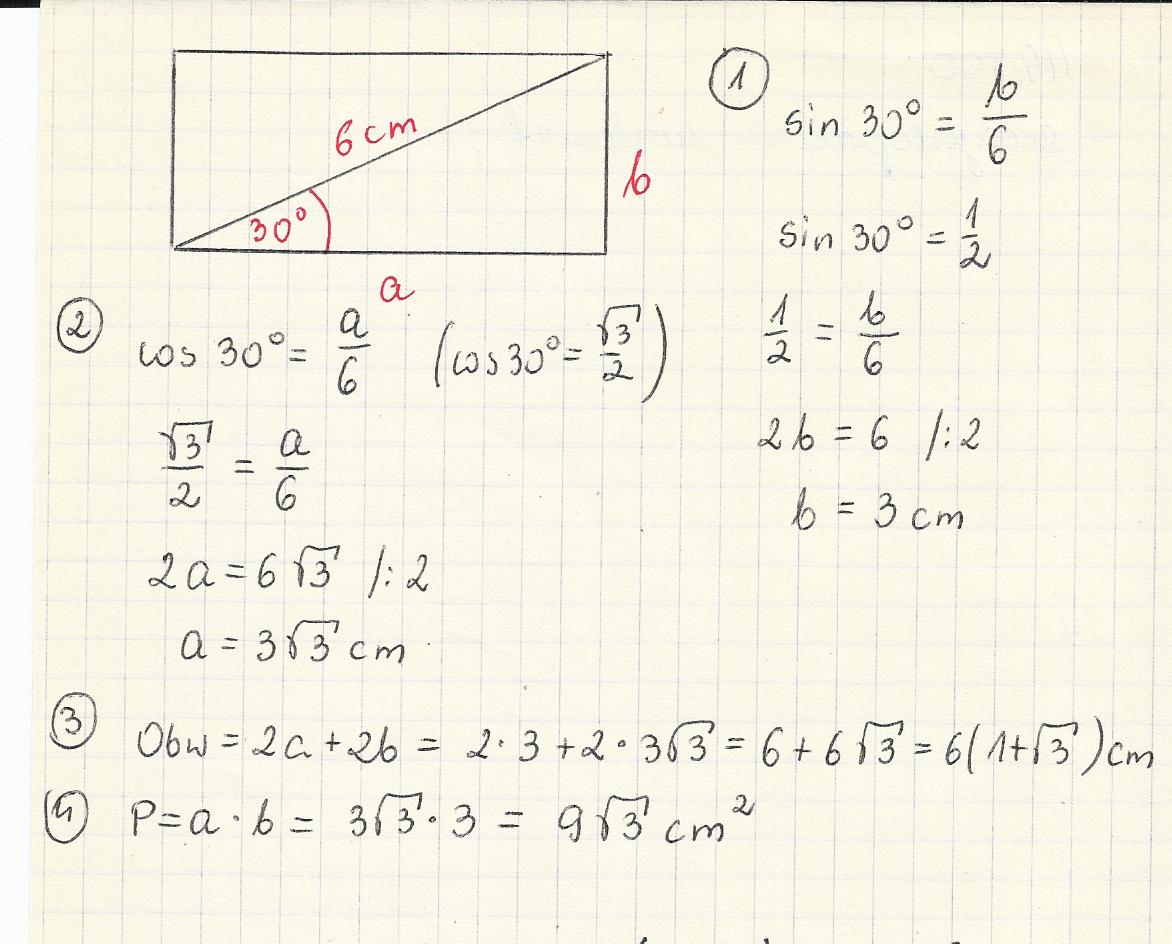
Pomocy w zadanie załączniku

Załączniki do zadania

Zadanie jest zamknięte. Autor zadania wybrał już najlepsze rozwiązanie lub straciło ono ważność.

Najlepsze rozwiązanie

Rozwiązania

Podobne zadania

hmm Badanie trójmianu kwadratowego - zadanie optymalizacyjne. Przedmiot: Matematyka / Liceum 1 rozwiązanie autor: hmm 29.3.2010 (18:21)
lestat919 zadanie - promień okręgu Przedmiot: Matematyka / Liceum 1 rozwiązanie autor: lestat919 6.4.2010 (18:17)
bombecka88 Zadanie matematyka pomocy Przedmiot: Matematyka / Liceum 1 rozwiązanie autor: bombecka88 14.4.2010 (11:45)
mania1408-k1 Zadanie matematyka pomocy-pola trójkątów podobnych. Przedmiot: Matematyka / Liceum 1 rozwiązanie autor: mania1408-k1 14.4.2010 (12:58)
mania1408-k1 Zadanie matematyka pomocy-pola trójkątów podobnych. Przedmiot: Matematyka / Liceum 1 rozwiązanie autor: mania1408-k1 14.4.2010 (13:00)

Podobne materiały

Przydatność 75% Łańcuch pomocy

1. Ocena, zabezpieczenie miejsca wypadku • Rozpoznanie (co się wydarzyło i co może się jeszcze wydarzyć) • Jakie są zagrożenia ( dla ratującego, poszkodowanych i świadków zdarzenia) • Zabezpieczenie m-ca wypadku aby zapobiec kolejnym nieszczęśliwym zdarzeniom • Zebrać informacje od świadków 2. Ocena ilości i stanu poszkodowanych • Ilu jest poszkodowanych...

Przydatność 50% Stowarzyszenia Pomocy

Nazwa: stowarzyszenie Pomocy Nieletnim Narkomanom Siedziba: ul. Szpitalna 276 Piekary Śląskie Teren Działania: ogólnopolski Osoba reprezentująca: psycholog Karolina Nowak (dane fikcjne) Cele działania: -swiadczenie wszechstonnej pomocy młodzieży, która nie potrafi sobie poradzić z "używkami" -pokrywanie w miarę posiadanych środków kosztów leczenia i badać...

Przydatność 55% Analiza Finansowa- zadanie

praca w załącznikach

Przydatność 80% Zadanie z fizy

1.46 Z ciała o masie m1= 11000kg następuje strzał w kierunku poziomym. Masa pocisku wynosi m2= 54kg. Oblicz prędkość, z jaką działo zostaje odrzucone wstecz, jeśli prędkość pocisku wynosi v2= 900 m/s. m1= 11000 kg m2= 54 kg v1 = ? v2 = 900 m/s Po = Pk Po=(m1+m2)* V V= 0 – na początku działo jest w spoczynku 0=m2*v2 – m1*v1 m1*v1 = m2*v2 v1=...

Przydatność 75% Zadanie inspektora BHP

JAK ROZUMIESZ ROLE I ZADANIA INSPEKTORA BHP W TWOIM ZAKŁADZNIE Inspektor BHP w zakładzie pracy pełni role doradcze i kontrolne. Podstawowym zadaniem pełniącej role BHP w zakładzi jest okresowa analiza stanu bezpieczeństwa i higieny pracy. Inspektor slużby BHP jest zobowiązany do sporządzenia i przedstawiania pracodawcy co najmniej raz w roku okresowych analiz stanu...

0 odpowiada - 0 ogląda - 1 rozwiązań

Dodaj zadanie

Zobacz więcej opcji