Treść zadania

~sebastian kowal

witam serdecznie proszę o pomoc w matematyce o to zadania na ktore nie znam rozwiazania
Rozwiąż równanie wielomianowe
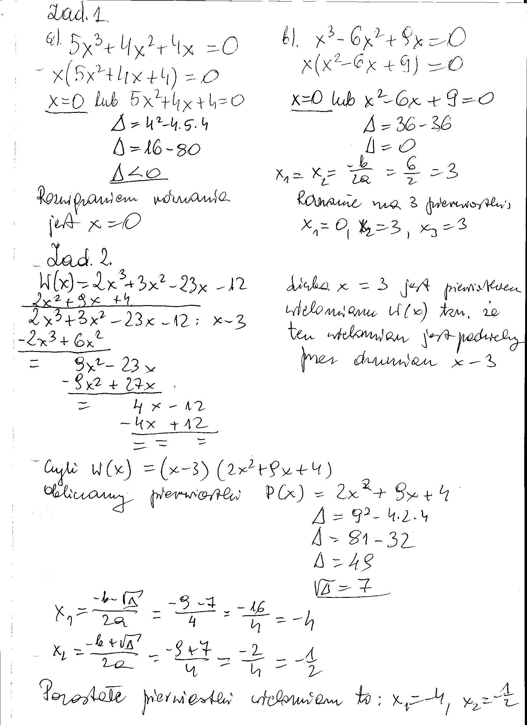
a)5x^3+4x^2+4x =0
b).x^3–6x^2+9x=0

ZADANIE 2 Wiedząc, że liczba x=3 jest pierwiastkiem wielomianu W(x)=2x^3+3x^2–23x−12
znajdź pozostałe pierwiastki wielomianu

ZAD 3
Rozwiąż równanie wymierne i nierówność wymierną
a).3x+2x /x=5
b)2x/2x+3=2x / 2x−3+1
c).
2x−5x/ x−3≤3

zad 4
Prostokąty
ABCD i A' B' C' D'
'są symetryczne względem początku układu współrzędnych. Oblicz pole części wspólnej tych prostokątów, gdy
A=(−3,−2),B=(5,−2),C=(5,3),D=(−3,3)

ZADANIE 5 Dany jest trójkąt ABC,gdzie A=(0,3),B=(2,−1),C=(3,−1)
Narysuj ten trójkąt w układzie współrzędnych oraz jego obraz w symetrii względem
a). osi OX
b). prostej y=2x+1

Odpowiedz na pytania:
a).Na ile sposobów można ustawić w kolejce 7 różnych osób?

b). Ile można utworzyć kodów czteroliterowych, w których mogą występować litery A, B, C,D, E, F, G, H, I
-w taki sposób aby żadna litera się nie powtarzała

c). Ile jest wszystkich liczb czterocyfrowych, w których zapisie mogą występować tylko
cyfry 1,2,3,4 i 5?

d). Wypisz wszystkie kombinacje dwuelementowe ze zbioru {1,2,3,4,5,6,7,8,9}
czekam na odpowiedzi rozwiązania bardzo proszę pomózcie bo to mam w pracy kontrolnej

Zgłoś nadużycie

Komentarze do zadania

  • za duzo podziel to inni tez zrobia

Zadanie jest zamknięte. Autor zadania wybrał już najlepsze rozwiązanie lub straciło ono ważność.

Rozwiązania

Podobne zadania

mania1408-k1 proszę o pomoc zadania na jutro. Przedmiot: Matematyka / Liceum 2 rozwiązania autor: mania1408-k1 13.4.2010 (16:43)
mania1408-k1 proszę o pomoc zadania na jutro. Przedmiot: Matematyka / Liceum 1 rozwiązanie autor: mania1408-k1 13.4.2010 (16:49)
CyborgR Prosze o pomoc, krotkie zadanie. Przedmiot: Matematyka / Liceum 2 rozwiązania autor: CyborgR 17.4.2010 (18:13)
mala53 Bardzo proszę o pomoc! Przedmiot: Matematyka / Liceum 1 rozwiązanie autor: mala53 19.4.2010 (11:00)
mania1408-k1 Pole i wycinek koła.pomocy ! zadania na jutro. Przedmiot: Matematyka / Liceum 1 rozwiązanie autor: mania1408-k1 20.4.2010 (15:12)

Podobne materiały

Przydatność 50% Poczatek maszyn ktore zostaly nazwane komputerami

1981-przedstawienie przez firme IBM maszyny ktora zostala nazwana komputerem. 1983-IBM przedstawienie kompetera ktory zostal nazwany PCXT. 1983-IBM zbudowało komputer nazwany PCXT którego system jest wykorzystywany do tej pory. 1983r.IBM PCXT 8088 1983r.IBM PCAT 80286 80386 80486-486 -486SX...

Przydatność 80% Pierwsza pomoc - pomoc przedmedyczna

Pierwsza Pomoc Przedmedyczna Pierwsza pomoc przedmedyczna to czynności ratownika (osoby udzielającej pierwszą pomoc) prowadzące do zabezpieczenia i utrzymania przy życiu osoby poszkodowanej, do czasu przyjazdu wykwalifikowanych służb. Etapy pierwszej pomocy 1. ocena sytuacji 2. zabezpieczenie miejsca zdarzenia 3. ocena stanu poszkodowanego 4. wezwanie pomocy - 999 ? Pogotowie...

Przydatność 65% Jakie dysfunkcje znajduja sie na terenie jaki osobscie znam

Do najważniejszych typów dysfunkcji zagrażających turystyce w Zakopanym należy zaliczyć: Dysfunkcje społeczne , są to przeważnie konflikty między ludnością zamieszkująca ten region a turystami, turyści często demonstrują zachwiana i postawy , które nie są akceptowane przez ludność miejscowa ; turystom dozwolone są pewne zachowania całkowicie zabronione ludności...

Przydatność 50% Pierwsza pomoc

UDZIEANIE PIERWSZEJ POMOCY POSZKODOWANYM RANY Rany należą do najczęszczych uszkodzeń urazowych i w większości powstają w następstwie nieszczęśliwych wypadków. Niektóre zranienia wymagają natychmiastowego opatrzenia z uwagi na stan zagrożenia życia. Inne natomiast nie zagrażają życiu, wymagają jedynie doraźnej pomocy, co wcale nie znaczy, że można je lekceważyć....

Przydatność 55% Pierwsza pomoc

PIERWSZA POMOC TELEFONY ALARMOWE numer pogotowia ratunkowego: 999numer telefonu alarmowego telefonii komórkowej: 112 Wzywając pogotowie ratunkowe należy podać krótkie i konkretne informacje o stanie chorego. Powinny zawierać informacje takie jak:- krótki opis zdarzenia,- jaki czas minął od zdarzenia,- aktualny stan chorego: a) czy oddycha, b) czy ma tętno na tętnicy szyjnej,...

0 odpowiada - 0 ogląda - 1 rozwiązań

Dodaj zadanie

Zobacz więcej opcji