Treść zadania
Autor: endzia Dodano: 9.6.2013 (14:07)
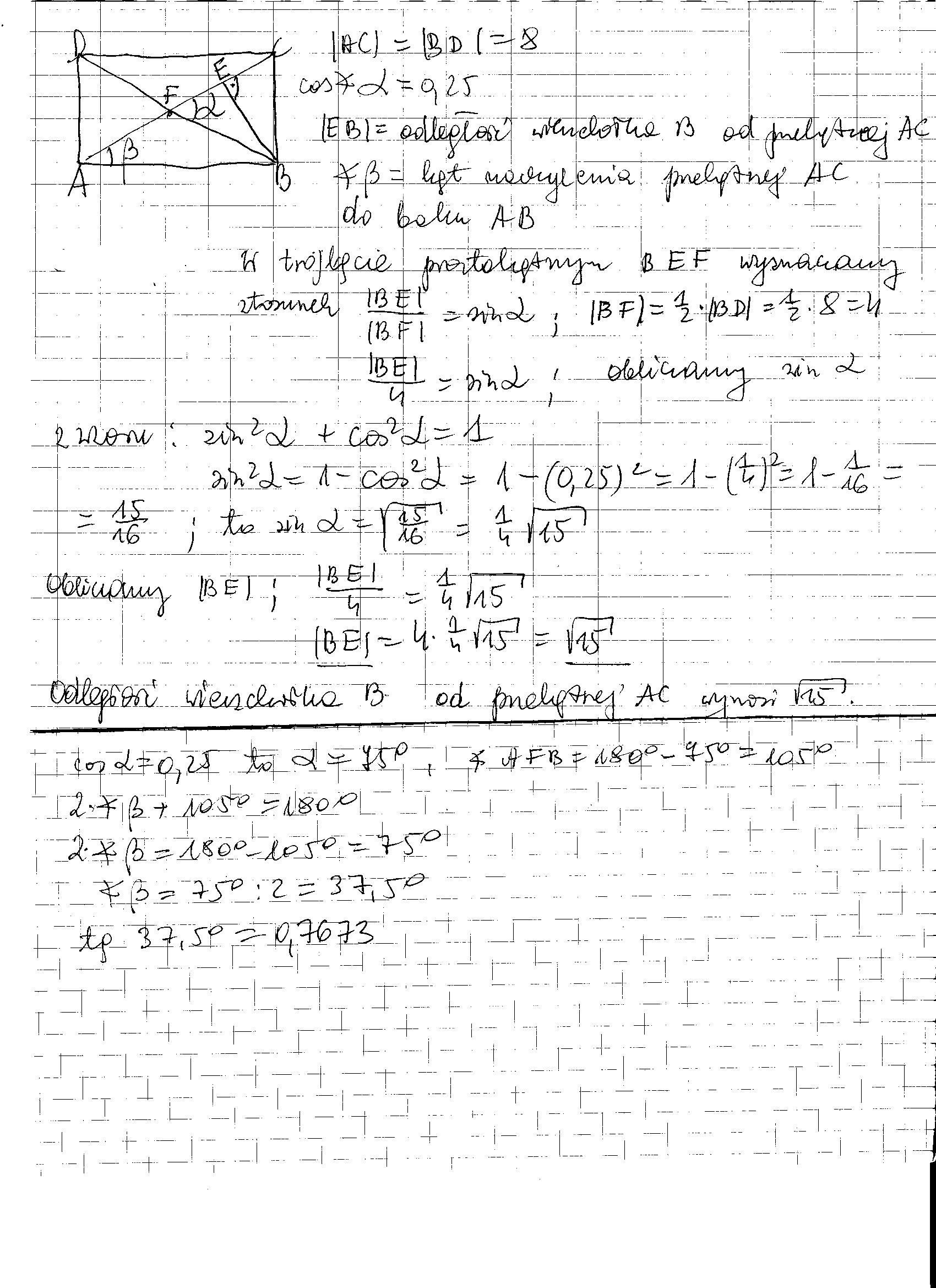
1. W prostokącie ABCD przekątne mają długość 8 cm i przecinają się pod kątek alfa, takim że cos alfa= 0,25
a) oblicz odległóść wierzchołka B do przekątnej AC
b) oblicz tangens kąta nachylenia AC do AB
Zadanie jest zamknięte. Autor zadania wybrał już najlepsze rozwiązanie lub straciło ono ważność.
Rozwiązania
Podobne zadania
|
|
2 rozwiązania | autor: iwona5000 17.4.2010 (11:34) |
|
|
1 rozwiązanie | autor: aluszacedro 12.4.2010 (15:26) |
|
|
1 rozwiązanie | autor: pofor 9.9.2010 (15:17) |
|
|
1 rozwiązanie | autor: pofor 9.9.2010 (17:35) |
|
|
3 rozwiązania | autor: zymonn 21.9.2010 (16:17) |
0 odpowiada - 0 ogląda - 1 rozwiązań
1 0
rybitwa11 9.6.2013 (23:25)
rozw w zał
Załączniki
Dodawanie komentarzy zablokowane - Zgłoś nadużycie