Treść zadania

Matto

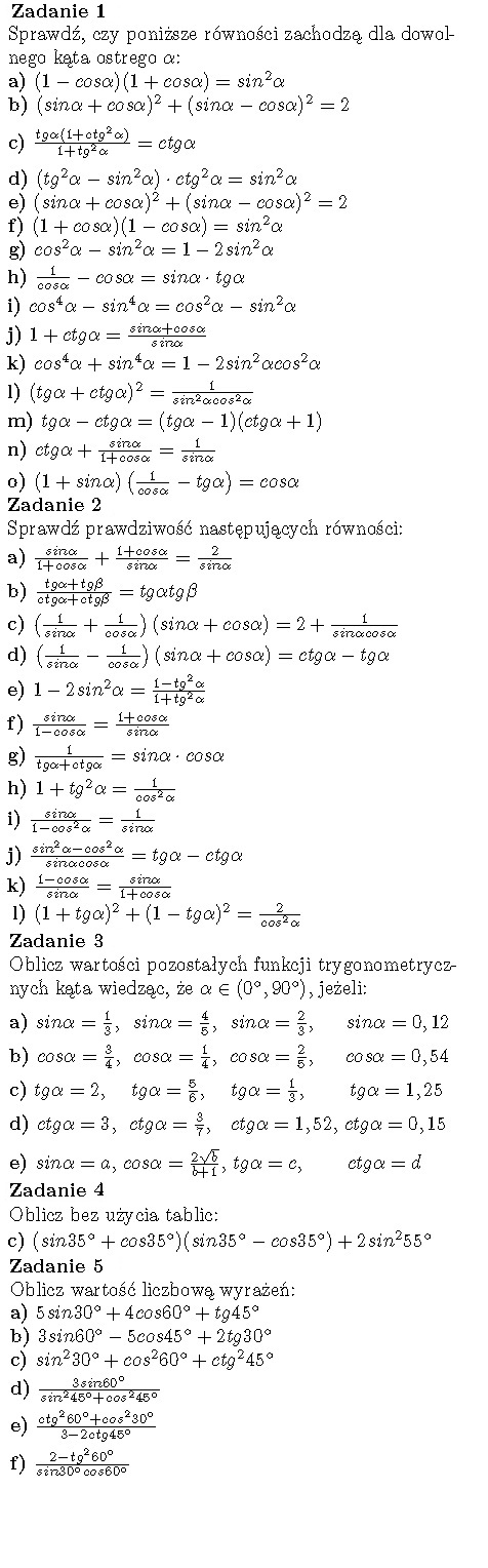
Jeśli ktoś by mi mógł pomóc w tych zadaniach byłbym bardzo wdzięczny, odpowiedzi są mi potrzebne jak najszybciej.

Zadania są w załączniku.

Załączniki do zadania

Zgłoś nadużycie

Komentarze do zadania

  • Podziel to na części po jednym zadaniu, załącznik ten sam, tylko dopisz numer zadania

  • za dużo

Zadanie jest zamknięte. Autor zadania wybrał już najlepsze rozwiązanie lub straciło ono ważność.

Rozwiązania

Podobne zadania

mala53 Bardzo proszę o pomoc! Przedmiot: Matematyka / Liceum 1 rozwiązanie autor: mala53 19.4.2010 (11:00)
malutkaaaa90 bardzo prosze o pomoc Przedmiot: Matematyka / Liceum 2 rozwiązania autor: malutkaaaa90 26.4.2010 (17:52)
bereha Bardzo prosił bym o pomoc :) Przedmiot: Matematyka / Liceum 1 rozwiązanie autor: bereha 6.5.2010 (16:59)
lewy402 Bryły bardzo proszę !!! Przedmiot: Matematyka / Liceum 1 rozwiązanie autor: lewy402 7.5.2010 (11:21)
Aucia6 Prosze o pomoc bardzo mi na tym zalezy.... Przedmiot: Matematyka / Liceum 1 rozwiązanie autor: Aucia6 13.5.2010 (20:37)

Podobne materiały

Przydatność 50% Refleksje o własnej twórczości i zadaniach poety wobec narodu w utworach Juliusza Słowackiego: "Grób Agamemnona" i "Testament mój".

Juliusz Słowacki był, młodszym o 11 lat od Mickiewicza, poetą romantycznym. Także mieszkaniec Litwy, dzieciństwo spędził w Krzemieńcu. W wieku zaledwie 5 lat został osierocony przez ojca - profesora słynnego Liceum Krzemienieckiego. Silny związek uczuciowy łączył poetę z matką, która niezwykle czule opiekowała się nadwrażliwym i nieuleczalnie chorym na gruźlicę Juliuszem....

0 odpowiada - 0 ogląda - 0 rozwiązań

Dodaj zadanie

Zobacz więcej opcji