Treść zadania

joanna26

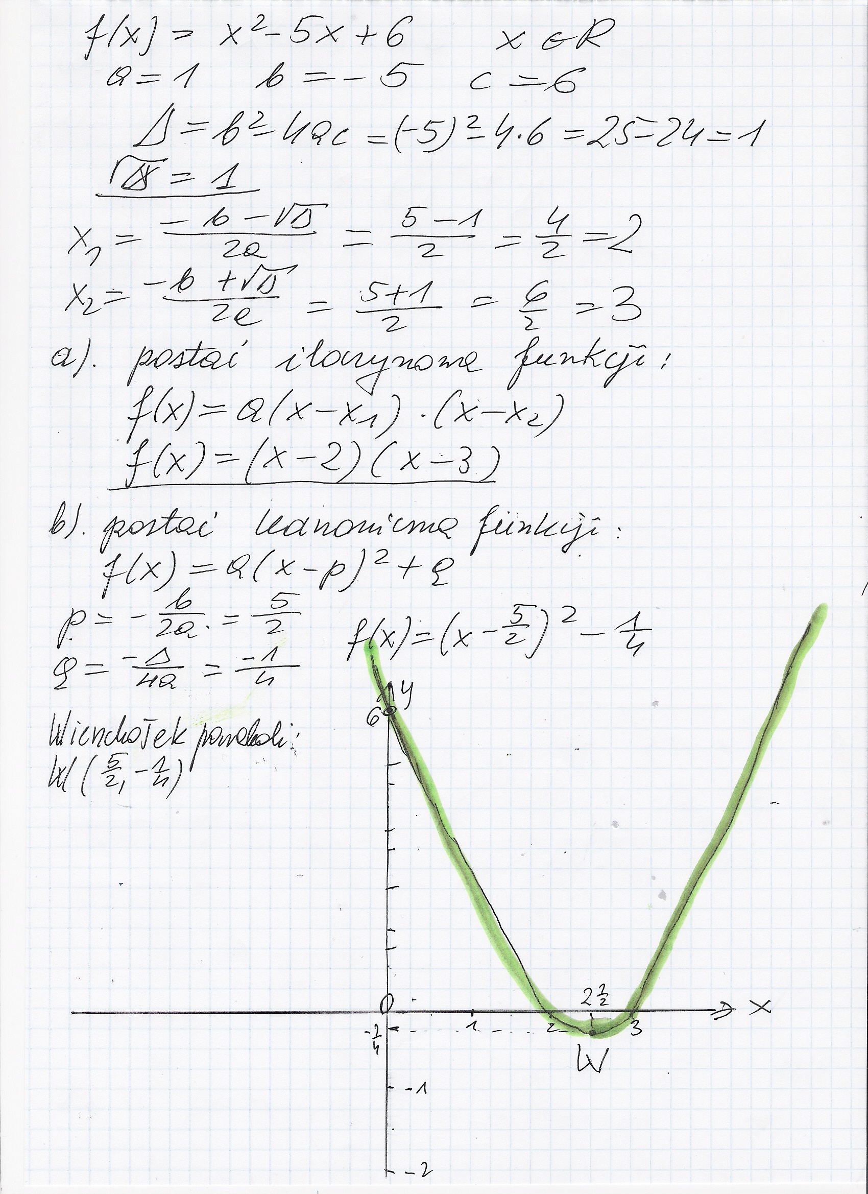
dana jest funkcja f(x)=xkwadrat-5x+6, xeR:
c)zapisz jej wzór w postaci kanonicznej i iloczynowej
d)naszkicuj jej wykres

Zadanie jest zamknięte. Autor zadania wybrał już najlepsze rozwiązanie lub straciło ono ważność.

Najlepsze rozwiązanie

  • 2 0

    szkic rys w załaczniku, zrób rysunek z zachowaniem odległości na osiach,Parabola ma przecinac os OY w punkcie y=6.

    Załączniki

Rozwiązania

  • antekL1

    Rozwiązanie równania kwadratowego f(x) = 0 daje:
    delta = 25 - 4*6 = 1
    x1 = (5-1) / 2 = 2
    x2 = (5+1) / 2 = 3

    Postać iloczynowa:

    f(x) = (x-2)(x-3)

    Postać kanoniczna:

    f(x) = \left(x-\frac{5}{2}\right)^2 - \frac{25}{4}+6 = \left(x-\frac{5}{2}\right)^2 - \frac{1}{4}

    Wykres: Parabola w kształcie litery "U", przecinająca oś OX w (2,0) i (3,0), przecinająca oś OY w punkcie (0,6) i mająca wierzchołek w punkcie (5/2, -1/2).

Podobne zadania

pawel Prosta y=√3x-2 jest nachylona do osi ox. Opisz szczegółowo pod jakim kątem Przedmiot: Matematyka / Liceum 1 rozwiązanie autor: pawel 24.3.2010 (16:28)
MartaGrzeszczak1 Dany jest trójkąt o wierzchołkach A=(-4, 2) B=(0,4) C=(6,-4) a) wyznacz Przedmiot: Matematyka / Liceum 2 rozwiązania autor: MartaGrzeszczak1 29.3.2010 (17:43)
lusi1069 pole przekroju walca płaszczyzną równoległa do podstawy jest równe 49/pi a Przedmiot: Matematyka / Liceum 1 rozwiązanie autor: lusi1069 30.3.2010 (16:42)
Nieznany Funkcja liniowa Przedmiot: Matematyka / Liceum 1 rozwiązanie autor: Konto usunięte 2.4.2010 (19:51)
gosiaczek90 sprawdź korzystając z definicji, czy ciąg o wyrazie ogólnym an jest Przedmiot: Matematyka / Liceum 1 rozwiązanie autor: gosiaczek90 7.4.2010 (19:15)

Podobne materiały

Przydatność 50% Postacie

Banach-matematyk, profesor Uniwesyt Lwows. Beck-polityk,szef gabinetu ministra spraw wojskowych,pracownik Piłsudskiego Beria-szef NKWD,usprawnienie pracy aparatu bezpieczeństwa,powołanie szkoły dla NKWD Budionny-marszałek ZSRR,dowódca Armii Czerwonej,umocnił i zmodernizował siły zbrojne Chamberlain-konserwatywny polityk brytyjski,premier,rzecznik ustępstw przeciw hitlerowcom...

Przydatność 50% Funkcja jeżeli

funkcja jeżeli

Przydatność 55% Funkcja skóry

Funkcja skóry: 1.ochrona przed bakteriami 2.ochrona przed promieniami UV 3.wymiana gazowa 4.funkcja potu: -informacja o dorosłości i stresie -regulacja temperatury ciała 5.funkcja łoju: -elastyczna skóra -ochrona przed bakteriami 6.funkcja paznokcia: -ochrona i zwiększenie dotyku 7.funkcja włosa: -ochrona przed potem i pyłem -regulacja temperatury...

Przydatność 75% Recenzja kontrowersyjnej książki Dana Browna "Kod Leonarda da Vinci".

"Kod Leonarda Da Vinci" został wydany w 2003r. i został okrzyknięty "thrillerem wszechczasów". Dotychczas sprzedano ok. 40 mln egzemplarzy książki. Jej autor Dan Brown jest najbardziej kontrowersyjnym autorem literatury sensacyjnej ostatnich lat. Absolwent Amherst College i Phillips Exeter Academy, przez kilka lat wykładał literaturę angielską i scenopisarstwo. Jego "Kod Leonarda...

Przydatność 50% Czy ubiór może nam powiedzieć, że dana subkultura jest zła??

?Czy być innym, znaczy być gorszym??. Zaobserwowałam, że powiększa się grupa ludzi utwierdzających się w przekonaniu, że na temat subkultur wie prawie wszystko. Są oni często ?szufladkowani? ze względu na ubiór i zachowanie, co niekiedy nie jest w stu procentach trafne. Osoby należące do subkultur są przeważnie bardzo młode, najczęściej to młodzież ze szkół...

0 odpowiada - 0 ogląda - 2 rozwiązań

Dodaj zadanie

Zobacz więcej opcji