Treść zadania

~andzela

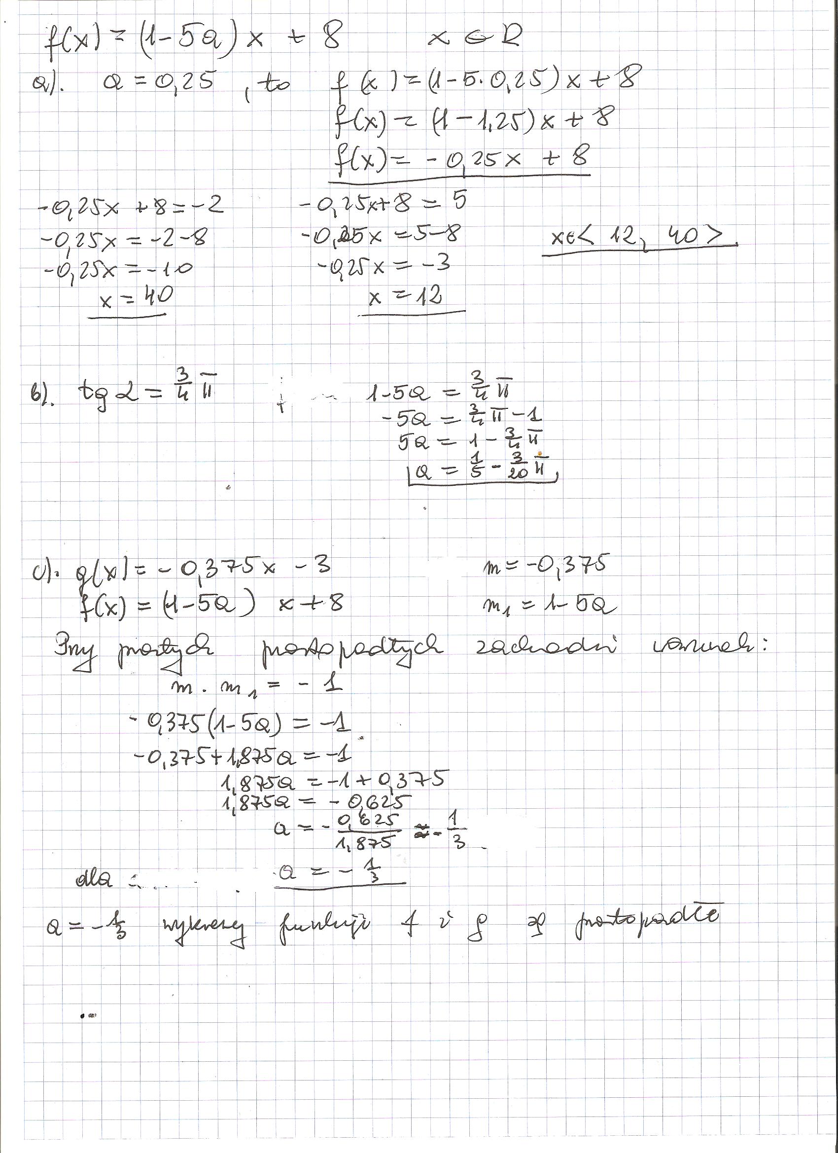
Dana jest funkcja o wzorze f(x) = (1 – 5a)x + 8, xnalezyR.
a) Dla a = 0,25 wyznacz zbiór tych argumentów , dla których funkcja przyjmuje wartości należące do zbioru A = <–2, 5>.
b) Wyznacz a tak, aby kąt nachylenia wykresu funkcji do osi OX wynosił kat alfa = 3pi/4.
c) Dla jakich a wykres funkcji f jest prostopadły do wykresu funkcji g(x) = –0,375x – 3?

Zadanie jest zamknięte. Autor zadania wybrał już najlepsze rozwiązanie lub straciło ono ważność.

Rozwiązania

Podobne zadania

pawel Prosta y=√3x-2 jest nachylona do osi ox. Opisz szczegółowo pod jakim kątem Przedmiot: Matematyka / Liceum 1 rozwiązanie autor: pawel 24.3.2010 (16:28)
MartaGrzeszczak1 Dany jest trójkąt o wierzchołkach A=(-4, 2) B=(0,4) C=(6,-4) a) wyznacz Przedmiot: Matematyka / Liceum 2 rozwiązania autor: MartaGrzeszczak1 29.3.2010 (17:43)
lusi1069 pole przekroju walca płaszczyzną równoległa do podstawy jest równe 49/pi a Przedmiot: Matematyka / Liceum 1 rozwiązanie autor: lusi1069 30.3.2010 (16:42)
Nieznany Funkcja liniowa Przedmiot: Matematyka / Liceum 1 rozwiązanie autor: Konto usunięte 2.4.2010 (19:51)
gosiaczek90 sprawdź korzystając z definicji, czy ciąg o wyrazie ogólnym an jest Przedmiot: Matematyka / Liceum 1 rozwiązanie autor: gosiaczek90 7.4.2010 (19:15)

Podobne materiały

Przydatność 50% Funkcja jeżeli

funkcja jeżeli

Przydatność 55% Funkcja skóry

Funkcja skóry: 1.ochrona przed bakteriami 2.ochrona przed promieniami UV 3.wymiana gazowa 4.funkcja potu: -informacja o dorosłości i stresie -regulacja temperatury ciała 5.funkcja łoju: -elastyczna skóra -ochrona przed bakteriami 6.funkcja paznokcia: -ochrona i zwiększenie dotyku 7.funkcja włosa: -ochrona przed potem i pyłem -regulacja temperatury...

Przydatność 75% Recenzja kontrowersyjnej książki Dana Browna "Kod Leonarda da Vinci".

"Kod Leonarda Da Vinci" został wydany w 2003r. i został okrzyknięty "thrillerem wszechczasów". Dotychczas sprzedano ok. 40 mln egzemplarzy książki. Jej autor Dan Brown jest najbardziej kontrowersyjnym autorem literatury sensacyjnej ostatnich lat. Absolwent Amherst College i Phillips Exeter Academy, przez kilka lat wykładał literaturę angielską i scenopisarstwo. Jego "Kod Leonarda...

Przydatność 50% Czy ubiór może nam powiedzieć, że dana subkultura jest zła??

?Czy być innym, znaczy być gorszym??. Zaobserwowałam, że powiększa się grupa ludzi utwierdzających się w przekonaniu, że na temat subkultur wie prawie wszystko. Są oni często ?szufladkowani? ze względu na ubiór i zachowanie, co niekiedy nie jest w stu procentach trafne. Osoby należące do subkultur są przeważnie bardzo młode, najczęściej to młodzież ze szkół...

Przydatność 55% Funkcja tkanki nabłonkowej

Główną funkcją tkanki nabłonkowej jest osłanianie ciała zwierzęcia od środowiska zewnętrznego lub wewnętrznego ( np. osłania jelito). Tworzy ona pokrycie ciała, wyściela światło jelita i naczyń krwionośnych. Tkanka nabłonkowa tworzy twory rogowe, np. pióra, paznokcie, łuski, rogi. Niektóre komórki nabłonka przekształciły się w komórki gruczołowe zdolne do...

0 odpowiada - 0 ogląda - 1 rozwiązań

Dodaj zadanie

Zobacz więcej opcji